Энергия


Энергия (гр. energeіa - әсер, әрекет) - материя қозғалысының әртүрлі формасының жалпы өлшеуіші.
Материя қозғалысының әртүрлі формалары бір-біріне айналып (түрленіп) отырады. 19 ғасырдың орта шенінде осы қозғалыстың барлық формалары бір-біріне белгілі бір сандық мөлшерде ғана айтылатындығы анықталды; осы жағдай “энергия” ұғымын енгізуге, яғни қозғалыстың әртүрлі физикалық формаларын бірыңғай өлшеуішпен өлшеуге мүмкіндік берді. “ Энергия” ұғымы сақталу заңына бағынады (қ. Энергияның сақталу заңы, Термодинамика) . Энергия туралы түсінік мәңгілік қозғалтқыш жасаудың мүмкін еместігін дәлелдеуге байланысты пайда болды. Жұмыстың қоршаған ортадағы немесе жүйедегі белгілі бір өзгерістің (отынның жануы, судың құлауы, т. б. ) нәтижесінде ғана орындалатындығы анықталды; дененің бір күйден басқа бір күйге ауысуы кезіндегі белгілі бір жұмыс істеу қабілеті оның энергиясы деп аталды.
Қозғалыстың әртүрлі формасына сәйкес энергияның да бірнеше түрі бар (мысалы, механикалық энергия, химиялық энергия, электромагниттік энергия, гравитациялық энергия, ядролық энергия, т. б. ) Физиканың даму процесінде энергия ұғымы нақтыланып әрі жалпыланып отырды. Энергия туралы ілімнің дамуындағы маңызды бір кезең үздіксіз ортадағы энергия қозғалысы мен “энергия ағыны” туралы ұғымның енгізілуі болды. Энергия ағыны деп энергия тығыздығы мен берілген ортадағы орын ауыстыру жылдамдығының көбейтіндісіне тең векторды айтады.
Кванттық физиканың дамуы энергия ның квантталатындығы жайлы, яғни кейбір жағдайда жүйенің энергиясы тек дискретті (үздікті) мәндерді ғана қабылдайды деген фактіні дәлелдеуге мүмкіндік берді. Мұндай жағдай мысалы, сәуле шығару энергиясына, микробөлшектердің тербеліс және айналу Энергиясына қатысты айтылады. Салыстырмалық теориясында Энергия (Е) мен масса (m) арасындағы байланыстың (Е=mс 2 , мұндағы с - вакуумдегі жарық жылдамдығы) ашылуы физика үшін зор маңызды болды. Бұл қатыс әмбебап қатыс болып есептеледі. Сондықтан ол тіпті өте кішкентай микробөлшектің өзінде де әрқашан қозғалыстың белгілі бір түрі болатындығын көрсетеді. Мұндай қозғалыстың өлшеуіші mс2 өрнегі болады. Әсіресе бұл қатыстың ядр. энергетиканың дамуына байланысты іс жүзіндегі маңызы арта түсті. Энергия бірліктердің халықаралық жүйесінде (СИ) джоульмен, бірліктердің СГС жүйесінде эргпен өлшенеді. Ал ядролық және атомдық физикада энергияның өлшеу бірлігі ретінде электронвольт алынады. [2]
Заводтар мен фабрикалардағы станоктар мен машиналар жұмыс істеу үшін, оларды электр двигатальдері қозғалысқа келтіруі керек, ал электр двигательдері электр энергиясын жұмсайды. Автомобильдер мен самолеттер, тепловоздар мен теплоходтар жанғыш отын энергиясының, гидротурбиналар биіктен құлап аққан судың энергиясын жұмсау арқылы жұмыс істейді. Біз өзіміз өмір сүріп, жұмыс істеу үшін өз энергиямыздың қорын тамақ арқылы ауық- ауық жаңар тып толықтырып отырамыз.
«Энергия» терминін 1807 жылы ағылшын ғалымы Юнг енгізген, грек тілінен аударғанда «қозғалыс» дегенді білдіреді. Энергия - ішкі, жылу, ядролық, механикалық болып бөлінеді. Біз бүгін сіздермен механикалық энергиямен танысамыз. «Энергия» деген сөз күнделікті тұрмыста да жиі қолданылады. Мысалы, көп жұмыс істей алатын адамдарды энергиясы, мол, қайратты адамдар деп атаймыз. Энергия дегеніміз не? Бұл сұраққа жауап беру үшін мысыалдар қарастырайық. Сығылған серіппе жазылғанда жұмыс істей алады, мысалы, жүкті көтералады немесе арбаны итеріп қозғалтады. Жоғары көтеріліп қойылған қозғалмайтын жүк жұмыс істемейді, бірақ егер сол жүк төмен түссе, онда ол жұмыс істейді (мысалы, қазықты жерге қағып жібере алады) . Әрбір қозғалыстағы дененің жұмыс істей алатын қабілеті бар. Мысалы, көлбеу жазықтықтан домалаған А болат шар В ағаш цилиндрге соғылып, оны біраз жерге жылжытады. Бұл жағдайда жұмыс істеледі. Егер бір дене немесе өзара әсерлесетін бірнеше дене жұмыс істей алатын болса, онда оларды, энергиясы бар деп айтылады. Энергия- бір дененің қандай жұмыс істей алатындығын көрсететін физикалық шама. Энергияны да жұмыс бірліктерімен, яғни джоульдармен өлшенеді.
Энергияның екі түрі
Энергия екіге бөлінеді: потенциалдық және кинетикалық энергия. Потенциалдық энергия денелердің немесе дене бөліктерінің өзара алмасуынан пайда болады. Кинетикалық энергия дене қозғалысқа түскенде пайда болады.
Потенциалдық энергия - жүйенің толық механикалық энергиясының бір бөлігі.
Ол жүйені құрайтын материалдық бөлшектердің өзара орналасуына және олардың сыртқы күш өрісіндегі (мысалы, гравитация өрісі) орнына байланысты анықталады. Жүйенің қарастырылып отырған орнындағы потенциалдық энергиясының сандық мәні жүйенің осы орнынан потенциалдық энергиясы шартты түрде нөлге тең (П=0) болатын орынға ауысуы кезінде жүйеге әсер ететін күштердің атқаратын жұмысына тең. Потенциалдық энергия ұғымы тек консервативтік жүйелерге ғана, яғни сырттан әсер етуші күштердің атқаратын жұмысы жүйенің бастапқы және соңғы орындарына ғана тәуелді болатын жүйелерге қолданылады. Мысалы, і - биіктікке көтерілген салмағы Р жүктің потенциалдық энергиясы П=P×і-қа тең (і=0 болғанда П=0) ; серіппеге бекітілген жүк үшін, мұндағы - серіппенің созылуы (сығылуы), k - оның қатаңдық коэфф. болғанда П=0. Бүкіл әлемдік тартылыс заңы бойынша массалары m1 және m2 екі бөлшек үшін П=-G m1m2/r, мұндағы G - гравитациялық тұрақты, r - бөлшектердің ара қашықтығы (r=¥ болғанда П=0) . Нүктелік екі зарядтың потенциалдық энергиясы да осылайша анықталады. [
Потенциалдық энергия - денелердің немесе олардың бөлшектерінің өзара әсерлесуіне байланысты энергия [Дж]
Ол денелердің өзара орналасуына немесе серпімді деформация шамасына тәуелді.
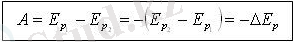
Жерден жоғары көтерілген дененің потенциалдық энергиясы (Ауырлық күшінің жұмысы)


F а ауырлық күшінің жұмысы теріс таңбамен алынған потенциалдық энергияның өзгерісіне тең.
- Дене құлағанда: А > 0; Е р кемиді
- Дене көтерілгенде: А < 0; Е р артады,
- Дене горизонталь қозғалғанда: A=0; Е р = const
Жер бетінен жоғары көтерілген дененің потенциялдық энергиясы

Дененің Жермен өзара
әсерлесу энергиясы

Нөлдік деңгейдің (h=0) сайланып алуына
байланысты болғандықтан потенциялдық
энергия салыстырмалы
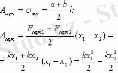
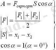
Серпімді деформацияланған дененің потенциалдық энергиясы. Серпімділік күшінің жұмысы.
Гук заңы бойынша:

Графиктік тәсіл:
Серпімділік күші жқмысының
сан мәні F=(х) графигімен
шектелген фигураның ауданына тең

Трапецияның
ауданы
F серп const болғандықтан F серп күшінің орташа мәні алынады





Серпімді деформацияланған дененің потенциалдық энергиясы


дене бөлшектерінің
әрекеттесу энергия
Е р деформацияға тәуелді:
- деформация көп болса Е р ↑
- егер деформацияланбаса Е р =0
Потенциалдық энергия деп әр түрлі денелердің немесе олардың Энергияның екі түрі бар: потенциалдық және кинетикалық энергия. бөлшектерінің өзара орналасуы бойынша анықталатын энергияны айтады. Мысалы, жердің бетімен салыстырғанда жоғары көтерілген дененің потенциалдық энергиясы болады, өйткені дененің энергиясы дене мен Жердің өзара орналасуына және олардың өзара тартылысына байланысты. Жер бетінде жатқан дененің потенциалдық энергиясын нөлге тең деп есептейік. Сонда белгілі бір биіктікке көтерілген дененің потенциалдық энергиясы сол дене Жерге құлап түскенде істелетін жұмыспен өлшенеді. Жұмыс күш пен жолдың көбейтіндісіне тең екенін біз білеміз, яғни A=F*h, мұндағы F - ауырлық күші.
Демек, бұл жағдайда E p потенциалдық энергия мынаған тең:
Е p =Fh немесе E p =gmh
Плотина арқылы жоғары көтерілген өзен суының потенциалдық энергиясы өте мол болады. Одан төмен қарай құлап аққан су, электр станциялардың қуатты турбиналарын жүргізіп жұмыс істейді. Серіппелі есікті ашқанда, серіппені созу үшін жұмыс істеледі. Серіппе қысқарғанда есікті жауып, алған энергиясының есебінен жұмыс істейді. Кез-келген деформацияланған серпінді дененің потенциалдық энергиясы болады. Сығылған газдың потенциалдық энергиясы жылу двигательдерінде, опырма балғаларда жұмыс істеу үшін пайдаланылады. Бұл балғаларды тау-кен өнер-кәсібінде, жол құрылысында, қатты жер қыртысын ойғанда т. с. с. кең түрде қолданылады. Кинетикалық энергия деп денелердің қозғалу салдарынан туындайтын энергияны айтады. Қозғалыстағы су гидроэлектр станциясының турбиналарын айналдырып, өзінің кинетикалық энергиясын шығындап жұмыс істейді. Қозғалыстағы ауаның - желдің де кинетикалық энергиясы болады. Кинетикалық энергия не нәрсеге тәуелді? Тәжірибе қарастырайық. Егер А шарды әр түрлі биіктіктен домалатса, онда мынаны аңғаруға болады: шар домалап түсетін биіктік неғұрлым үлкен болса, оның жылдамдығы соғұрлым үлкен болады және ол жолындағы білеуді соғұрлым әрірек қозғайды, яғни көп жұмыс істейді. Демек, кинетикалық энергия дененің жылдамдығына тәуелді. Атылған оқтың жылдамдығы есебінен кинетикалық энергиясы көп болады. Дененің кинетикалық энергиясы оның массасына тәуелді. Тағыда тәжірибеге оралайық, бірақ көлбеу жазықтықтан басқа - массасы үлкен шарды домалатамыз. В білеу әрірек жылжиды, яғни шарға қарағанда кинетикалық энергиясы да көп болады. Дененің массасы мен қозғалыс жылдамдығы неғұрлым көп болса, онда оның кинетикалық энергиясы соғұрлым көп болады. Денелердің кинетикалық энергиясы техникада пайдаланылады. Плотина арқылы жоғары көтерілген судың жоғарыда айтылғандай, потенциалдық энергиясы өте үлкен болады. Плотинадан құлап аққан су қозғалады, ендеше, оның кинетикалық энергиясы да соншалықты зор болады. Ол электр тогының генераторы жалғасқан турбинаны жүргізеді. Судың кинетикалық энергиясы есебінен электр энергиясы өндіріледі. Құлап аққан судың энергиясы отын энергиясына қарағанда экологиялық жағынан таза энергия көзі болып табылады. Шартты түрде алынған нөлдік мәнге қатысты табиғаттағы барлық денелердің не потенциалдық, не кинетикалық энергиясы болады, бірақ көбінесе осы энергиялардың екеуі де болады. Мысалы, ұшып бара жатқан самолеттің Жермен салыстырғанда әрі кинетикалық, әрі потенциалдық энергиясы бар. Біз механикалық энергияның екі түрімен таныстық. Энергияның басқа түрлері( электр энергиясы, ішкі энергия т. т) физика курсының басқа тарауларында қарастырылады.
Жер қойнауындағы икалық отын қорларының те жылдам азаюы дамзатты қатты алаңдатып отыр. Өйткені жер бетіндегі іршіліктің көзі -энергия.
Сығылған серіппенің кері тебілу барысында денелер қозғалысқа келіп, жұмыс істеледі. Бұдан сығылған серіппенің жұмыс істеуге қабілетті екенін білеміз.
Қозғалыстағы денелердің істеген жұмысы сол денелердің массаларына тәуелді.
Дененің істеген жұмыс сол дененің жылдамдығына да тәуелді.
Дененің жұмыс істеу қабілетін нақты көрсететін физикалық шама энергия деп аталады.
Энергия бірлігі 1 Джоуль=ватт·секунд.
Тұрмыста энергияның өлшем бірлігі ретінде
1 киловатт·сағат=36 Вт·с=36 Дж
Потенциалдық энергия деп әр түрлі денелердің өзара орналасуы бойынша анықталатын энергияны айтады.
Потенциалдық энергия деп әр түрлі денелердің өзара орналасуы бойынша анықталатын энергияны айтады.
Жоғары көтерілген дененің потенциалдық энергиясы сол дененің массасына және көтерілу биіктігіне тәуелді.
Денелердің қозғалу салдарынан туындайтын энергия кинетикалық энергия деп аталады.
Денелердің кинетикалық энергиясы сол денелердің массалары мен жылдамдықтарына тәуелді өзгереді.
Дененің механикалық энергиясының өзгерісі атқарылған жұмыстың шамасына тең:
Кинетикалық энергия (кинема - қозғалыс деген грек сөзінен шыққан) - дене қозғалған кезіндегі энергиясы (дене қозғалысын сипаттайды) Е к [Дж] .
... жалғасы- Іс жүргізу
- Автоматтандыру, Техника
- Алғашқы әскери дайындық
- Астрономия
- Ауыл шаруашылығы
- Банк ісі
- Бизнесті бағалау
- Биология
- Бухгалтерлік іс
- Валеология
- Ветеринария
- География
- Геология, Геофизика, Геодезия
- Дін
- Ет, сүт, шарап өнімдері
- Жалпы тарих
- Жер кадастрі, Жылжымайтын мүлік
- Журналистика
- Информатика
- Кеден ісі
- Маркетинг
- Математика, Геометрия
- Медицина
- Мемлекеттік басқару
- Менеджмент
- Мұнай, Газ
- Мұрағат ісі
- Мәдениеттану
- ОБЖ (Основы безопасности жизнедеятельности)
- Педагогика
- Полиграфия
- Психология
- Салық
- Саясаттану
- Сақтандыру
- Сертификаттау, стандарттау
- Социология, Демография
- Спорт
- Статистика
- Тілтану, Филология
- Тарихи тұлғалар
- Тау-кен ісі
- Транспорт
- Туризм
- Физика
- Философия
- Халықаралық қатынастар
- Химия
- Экология, Қоршаған ортаны қорғау
- Экономика
- Экономикалық география
- Электротехника
- Қазақстан тарихы
- Қаржы
- Құрылыс
- Құқық, Криминалистика
- Әдебиет
- Өнер, музыка
- Өнеркәсіп, Өндіріс
Қазақ тілінде жазылған рефераттар, курстық жұмыстар, дипломдық жұмыстар бойынша біздің қор #1 болып табылады.

Ақпарат
Қосымша
Email: info@stud.kz