Ректификациондық колонналар


МАЗМҰНЫ
КІРІСПЕ
Қазба отындардың әр түрлілігі - көмір, мұнай және газ екендігі адамзатқ тарихынын белгілі. Қазіргі таңға дейн отын ретінде және энергия көзі ретінде қолданып келеді. Әсіресе заманауй экономикалық маңызы бар отынғ мұнай және газ жатады. Мұнай мен газдан алынатын өнімдер өндірістің барлық саласында, көліктің барлық түрінде, әскери және халық тұрмысында, ауыл шаруашылығында, энергетика саласында т. б қолданылады. Соңғы бірнеше он жылдықта мұнай және газдан әр түрлі химиялық заттар, пластмассалар, синтетеикалық талшықтар, каучуктар, лактар, бояғыштар, жуғыш заттар, минералды тыңайтқыштар және де басқа заттар өндіре бастады.
Қазақстан Республикасының мұнай өнімдеріне ішкі қажеттіліктері мұнайды өндіру көлемімен салыстырғанда өте аз мөлшерде, сондықтан республиканың мұнай - газ саласы көбінесе экспортқа бағытталған: сыртқы нарыққа мұнай көлемінің 90% бағытталады. 2013 жылы Қазақстан экспортқа 60, 8 млн тонна мұнайды шығарған, бұл көрсеткіш 2012 жылмен салыстырғанда 6, 5 есе көп.
Осындай көп мөлшердегі мұнай және газ қорына ие болса да, Қазақстан өзінің газға деген ішкі сұранысын қанағаттандыра алмай отыр. Қазіргі кездегі магистралдық газ тасымалдау жүйесі Қазақстанның барлық облыстарын газбен қамтамасыз етуге бейімделмеген, сондықтан инвестициялық модернизацияға мұқтаж.
Оның үстіне отандық мұнай - газ шикізаты бірнеше ерекшеліктерге ие:
- мұнай - газ қорының игеріліп жатқан қорының 50% қиын әдіспен өндіріледі. Оның басым бөлігінің өндірілу мөлшері кемуде;
- мұнай - газ ресурсының негізгі көлемі алынуы қиын болған тұзды қатармен байланысты болып келеді. Каспий маңы ойпатының күрделі коллекторлық қасиеттерге ие болған кеніш орындарының құрамы күкіртті сутегі мен көмірқышқыл газының көлемімен сипатталады;
- көптеген газ кеніштері майда кеніш санатына жатады, олардың жалпы қоры барлық қордың 1, 5% аспайды.
1 Әдеби шолу
1. 1 Жалпы үрдістің жүрүі
Қарапайым және күрде үздікті және үздіксіз жұмыс істейтін колонналарды жүзеге асырылады. Үздікті жұмыс істейтін колонналар аз өнімділікті өндірісте қолданылады керектігіне қарай жоғары айқындылықты бөлу мен үлкен санды фракцияны жүзеге асыруда да қолданылады. Ондай құрылғының классикалықсызбасы 1-суретте көрсетілген.


Шикізат айдағыш куб 1ге жоғарыдан түседі оның диаметрі 2/3, ол жерде бумен жылыту жүреді. Ректификациондық құрылғының бастапқы жұмысы кезінде қоспа компонентінің ұшқыщ заттарын жинап алады, мысалға бензолды головка, сосын айдау температурамын жоғарылатып қайнау температурасы жоғарырақ компоненттерді (бензол, толуол т. б) айдауға кіріседі. Қайнау температурасы одан да жоғары компонент қоспалары кубта кубтық қалдық құрып қалады. Ректификация процессінің аяқталуымен ол ұалдықты суытып сорып алады. Процесстің үздіктілігі жылудың шамадан тыс жұмсалуы мен қондырғының өндіргіштігінің аздығымен түсіндіріледі.
Үздіксіз жұмыс жасайтын құрылғы жаңа айтылған кемшіліктердің бәрінен ажыратылған. Құрылғының принципиальды сызбасы 2суретте көрсетілген. Шикізат жылуалмастырғыш 1 арқылы жылытқышқа 2 түседіодан соң ректификациондық колоннаның 3 әртүрлі деңгейіне өтеді. Төменгі фракциялар жытылқыш 4 те қызып колоннаға лақтырылады. Осы кезде ең ауыр бөлігі қыздырғышқа колоннаның төменгі жағымен түсіп сұйық қалдықпен бірге ары қарай ауыр фракцияның өңделуіне жібіріледі. Ал жеңілфракция конденсатор-тоңазытқышқа 5 түсіп, одан ары аккумуляторға 6 түсіп бөліктерімен суландырушы колоннаға артқа қарай түсіп, қалған бөліктері жеңіл фракцияның өңделуіне жіберіледі.
Ректификациондық колонналар алынатын заттың мөлшеріне қарай қарапайым және күрделі деп бөлінеді. Алғашқысында ректификация кезінде екі өнім алады. Екіншілері үш немесе одан да көп өнім алуға арналған. Олар өз кезегінде бірнеше қарапайым колонналар жиынтығын құрайды, әрбіреуі оған түсетін қоспаға екіден кем болмайды.
Әрбір қарапайым колоннада итергіш және концентрациялық секциялар болады. Итергіш немесе қарсы тұрушы секция шикізат енгізілетін бөліктен төменірек орналасады. Бөлуге арналған шикізат түсетін тарелка, тамақтандырушы тарелка деп аталады. Итергіш секцияның негізгі шикізаты болып сұйық қалдық табылады. Концентрациондық немесе қатаңдатқыш секция тамақтандырушы секцияның астында орналасқан. Осы секцияның негізгі шикізаты ректификат булары болып табылады. Ректификациондық колонналардың дұрыс қалыпты жұмысы үшін конденсациондық секция колоннасынан су келу керек, жылуыды еңгізу арқылы және ыстық су буы арқылы итергіш секцияға түседі.
1. 2. Ректификациондық колонналар
Ректификациондық колонналар тарелкалы, роторлы, насадкалы және т. б. болып бөлінеді. Қысымға тәуелділігіне қарай ректификациондық колонналар қысымы жоғары колонналар атмосфералық және вакуумды болып бөлінеді. Біріншілері мұнай мен бензиннің стабилизациясында, крекинг құрылғыларында газофракционирлеуде, гидрогенизация процесстерінде қолданылады. Атмосфералықжәне вакуумды ректификациондық колонналармұнай, мұнайқалдықтары мен дистилляторларды айдауда қолданылады.
Насадкалы колоннада бу мен сұйықты бірдей мөлшерді таратып орналастыру үшін- 1 (3сурет. ) насадка ретінде - 2 әртүрлі материалдарданшарлар, призмалар, пирамидалар, цилиндрларқолданылады.

Насадканы арнайы тарелкаға шашыраптып орналастырады- 4 онда флегмамен будың өтуіне арналған ойық болады - 3. Насадқаны қолданумақсаты флегмамен соғысу аймағы үлкен болғандықтан оған будың араласып кетпеуі үшін. Осыған байланысты насадқа бірнеше қабаттарға бөлінеді, ал насадкалар орналастырылатын тарелкалар келіп жатқан ағынды бөліп тұрушы арнайы конструкциялы болады. Насадкалы колоннаны қолдану тиімділігі өте жоғары. Кемшіліктері: 1) насадканы ылғи насадканы жауып жұмыс істеуін нашарлататын қалатын шайырлы бөлшектерден тазалап отыру үшін колоннадан алып шығып отырады. 2) бу қысымы мен флегмаға тусушінің санын арнайы мөлшерде қадағалап отыру.

Тарелкалық колонналарда 1 (4сурет ) флегма мен будың әсерлесу аймағын үлкейту үшін арнайы конструкиялы насадкалы тарелка қолданылады. Тарелка өз кезегінде формасын өзгерткен пластинаға ұқсайды 4 және жауып тұрушы қалпақ 3 сілтімен бірге 5 (кесінділері) . патрублар, сақиналы аймақ арқылы 6 және тесіктер арқылы тарелкаға сұйық қабаты арқылы өткізіледі. Сұйық қабатының тұрақтылығын жерасты аралықпен тұрақты етеді(перегорордок) 7. Артық салмақты ағып кететін станканмен т-мен жатқан тарелкаға салады. Тарелкалы колоннаның жұмыс істеу негізі флегма мен газдың бірге байытылуымен тығыз бацланысты, газ қысым астында жүреді соның өтуі арқасында жоғарыдан төменгі қабатқа әрбір тарелкаға флегма өтеді. Соның арқасында бу флегмадан кішкентай көпіршік болып бумен сұйықтың араласу аймағына өтеді.
Тарелкалардың конструкциясыәрқилы. Сеткалы, решеткалы, каскадты, клапанды, инжекционды және комбинирленген тарелкалар қолданылады.
Өндірісте ректификациондық колоннаның күрделі құрылғылары қолданылады, ол әртүлі колонналар мен әрқилы типтерді біріктіреді.
Колонналардың қосылу мүмкіндігі бар:
Соңғысы алдыңғы колоннадағы ауыр шикізатты алып отырады ол өз кезегінде оның алдындағы колонна ұшін флегма қызметін атқарады. Ілініп тұрған колонна көмекші, оған әр колоннадан алынған дистилятор түсіп ұосымша тазалауға түсіреді.
Көмекші колонналардың қалдықтары артқа қарай негізгі колоннаға лақтырылады. Бір біріне көмектесуші колонналардың қосылуы мүмкін, ол уақыт колоннаның бірінде негізгі шикізат шықса( төменгі орналасқан цикл бойынша) ал екіншісі флегма қызметін атқарады (цикл бойынша жоғары да орналасқан) . Көмекші колонналар әртүрлі концтрукцияға ие бола алады, әртүрлі тарелка типтері де болады, технологиялық шарттары (қысым, температура) т. бәртүрлі болады.
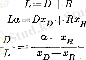
1. 3. Қарапайым колонна үшін материалдық баланс
Қарапайым колонна үшін материалдық баланс режимі келесідей болады:
Мұндағы L және α - аз қайнайтын компонентті шикізат үшін концентрация мен шикізат мөлшері (АЕК) ; D және x D - АЕК колоннаның жоғары жағынан келетін ректификат концентрациясы; Rжәне x R - колоннаның төменгі жағынан келетін қалдық мөлшері мен оның концентрациясы;
Ректификационды колоннаны қорғашан ортадан алыстады, сондықтан ортаға жылудың шығып кетуі аз осы арқылы жылулық балансты азайтуға болады. Барлық ректификациондық колонна үшін жылулық баланс теңдеуі бірдей, келесідей өрнектеледі:
Мұндағы L-колоннаға түсетун шикізат мөлшері, кг; е- ібулы фазада температура кезіндегі шикізат бөлігі t 0 ; q п t0 - температураны колоннаға еңгізу кезіндегі булар энтальпиясы t 0 , ккал/кг; (1-е) - сұйық фаза бөлігі; q ж t0 - температуре кезіндегі сұйық энтальпиясы t 0 , ккал/кг; Q R -қыздырғыш арқасындағы еңгізілетін жылу мөлшері ккал; Dq п tD -температура кезіндегі ректификатқа бумен енген жылу мөлшері t D , ккал; Rq ж iR -белгілі температура кезіндегі еңгізілген сұйықтың жылу мөлшері t R , ккал; Q D - сумен тазаланып алынған жулы мөлшері, ккал.
Бұл теңдеу бойынша Q D табуға немесе керісінше Q R табуға болады. Егер колонна қыздырғышсыз жүмыс істесе, онда Q R =0.
Температуралық режим процесстің негізгі параметрі болып табылады, ол заттың ректификациясымен реттеліп отырады. Ең маңызды температуралық нүкте болып еғгізілетін шикізат пен ректификация өнімінің температуарсы табылады. Ректификациондық колоннаның температуралық режимін біртекті булану кезіндегі қисықтар көмегімен анықтауға болады.
Айдалатын мұнай жеңіл болған сайын, қисық тұзу емес, ал буландырғыштағы қысым аз болған сайын мұнайдың шығатын жеріндегі температура аз болады. Мұнайды атмосфералық қсым кезінде айдаукезінде шикізат температурасы (ректификациондық колоннаға шикізат енер кезде) 320-360 0 С болады. Жанындағы нүктелердің температурасы нольдікке келеді ол парциальды қысымға тең. Алынатын заттың фракциондық құрамы және енгізілетін су буы жанындағы нүктедегі температуралары мынағын тең: лигроинды дистиллятта 135-165 0 С, керосиндіде 165-225 0 С, дизельдіде 210-265 0 С, веретендіде 245-270 0 С, машиналыда 270-290 0 С, жеңіл цилиндрде 290-320 0 С, ауыр цилиндрде 320-360 0 С. Мұнайлы будың температурасын100%-дық қисық бойынша анықтайды сонымен қатар қоспының парциальды қысымы су буымен қосқандағына да пайызбен анықтайды. Колоннадағы қалдық температурасы су буымен жұмыс істесе ондағы температура 20-40 0 С Мұнай мен оныңқалдықтарын фракциондау кезінде дистилляттың үлкен мәнін алады. Мұнай бөлулер үшін азколонналы жүйе қолданылады.
АВТ ның күрделі колонналары келесі түрлерге бөлінеді: вакуум колонналар, бу айдаушы колонналар. Бу айдаушы колонналарда жеңіл фракцияларды су буымен айдау жүреді. Конструктивті айдаушы колонналар ректификациондық колонналардың ішінде орналастырылуы мүмкін немесе арнайы жеке колонкаларда болуы мүмкін. Ішкі айдағыш колонналар өзіне орта есеппен 2-3 қақпалы тарелка, бір саңырау мойындықты болуы мүмкін. Осы мойындықпен мұнай булары төменгі секциялан жоғарысына арапылады. Төзімді айдаушы колонналар бірсекциялы немесе көп секциялы болады. Жандық итеру айдауға сәйкес үстіңгі тарелка арқылы ағып өтеді. Қажетті шартына қарай төзімді колнналар4 пен 8 аралығында тарелкаға ие бола алады.

Вакуумды колонналар өте жоғары температурада терең вакуумда қайнау температурасы жоғары көмірсутектер ректификациясында қолданылады(5сурет) . Тарелка саны айдау кезіндегі тура бөлу санының туралығына тәуелді. Шикізат ретінде майлы дистиляттарды бөлуде олардың саны 8-14, ал май өндірісі үшін - 38-42. Шикізат еңгізбес бұрын колоннаға қарсы тұрушы тарелкалар орналастырылады. Тарелка флегмамен суланады. Ол көбіктенуге қарсы қолданылады, сосын шикізатпен бірге пештен силикон ретінде шығарылады.
Дәріс материалдарын игергеннен кейін білуге қажетті негізгі түсініктер:ректификалық колоналардың құрылысы. Ректификациялық колонналардың классификациясы. Ректификациялық колоналардың материлдық және жылулық баланстары, колонналардың температуралық режимдері, АВТ колоналардың күрделі қондырғылары
2. Үрдістің физика- химиялық негізіМұнай құрамында парафинді, нафтенді, ароматы көмірсутктер бар қайнау температурасы әртүрлі болатын заттардан құралған күрделі қосылыс. Сонымен қатар мұнайда күкірті, оттекті, азотты органикалық қосылыстардан тұрады. Әр түрлі мақсатта қолданылатын заттар алу үшін мұнайдан керек шикізат көзін фраксияға, көмірсу топтарына бөлу арқылы алынад.
Заманауи МӨЗ-да бұл үрдістер фракцияға бөлу және айдау арқылы жүзеге асырылады
2. 1. Қондырғының технологиялық сызбанұсқасының сипаттамасы
Бензиндіекіншілік айдау және тұрақтану блогы. Бензинденген және атмосфералық бағанның жоғарғы жағынан алынған тура айдалатын бензиндерде, еріген көмірсутекті газдар болады (С 1 -С 4 ) . Сондықтан олар алдымен құрғақ (С 1 -С 2 ) және сығылған (С 2 -С 4 ) газдар бөліне отырып тұрақтануға ұшырайды.
Тұра айдалатын бензиндер алдын ала тұрақтанғаннан кейін тауарлық ретінде қолданыла алмайды, олардың төменгі детонациялық тұрақтылығы төмен болғандықтан. Пускті қасиетін және тауарлық автобензиндердің буының серпімділігін реттеу үшін көбінше қ. б - 62(85) % болатын бензин фракциясы қолданылады ол сонымен қатар оның детонациялық тұрақтылығы біршама жоғары.
Одан ары өңдеу үшін тұрақтанған бензиндер фракцияларға екіншілік өңдеуге ұшырайды, яғни каталитикалық риформинг процесінің шикізаты ретінде автобензиннің жоғары октанды компонентін алу мақсатында немесе жекелеген ароматты көмірсутектер бензолдар, туолуолдар, ксилолдар алуға. Тура айдалатын бензиндерді отындық бағытқа өңдегенде оны екі фракцияға бөлсе жеткілікті: Қ. Б - 85°С және 85-180°С. Ароматты көмірсутектер өндірісінде бастапқы бензинді келесі фракцияларға бөледі: 62-85°С (бензолды), 85-105°С (120) (толуолды) және 150-(120) -140°С (ксилолды) . Бензинді екіншілік айдау және тұрақтану блогының принциптік кескінімен танысайық (6-сурет) .
6- сурет. ЭЛОУ-АВТ-6 бензинді екіншілік айдау мен тұрақтандыру блогының принципиалды кескіні:
1- тұрақтандырубағаны; 2-5- екіншілікайдаубағаны; I - тұрақтанбаған бензин; II - фракциялар С5 - 62ºС; III-фракциялар 65-105ºС; IV - фракциялар 62-85ºС; V - фракциялар 85-105ºС; VI - фракциялар 105-140ºС; VI I - фракциялар 140-180ºС; VIII - С 2 -С 4 сығылған фракциясы; ІХ - құрғақ газ (С 1 -С 4 ) ; Х - су буы
АТ блогынан шыққан тұрақтанбаған бензин жылу алмастырғышта қызғаннан кейін тұрақтану бағанына 1 түседі. Осы бағанның жоғарғы жағынан сығылған газды алады С 2 -С 4 , ол конденсатор-мұздатқыш арқылы өтіп, газосепараторға түседі. Конденсат бөлігін 1 бағанға өткір орошения ретінде қолданып, балансты мөлшерін қондырғыдан шығарады. Газсыздандыру бағанасына жылу төменгі жағына жылукелтіруді пеште тұрақты бензиннің қызған ағынымен жүзеге асырады. Тұрақтыбензиннен 2 бағанда С 5 - 105°С фракцияларыналады. Осы фракция буы ауамен суыту аппаратында конденсирленеді. Конденсат бөлігін өткір орошения ретінде 2 қайтарады да, балансты бөлігін 3 бағанғабағыттайды. Одан басқа жоғарғы бу бөлігін 2 конденсациясыз 3 бағанға жібереді. 3 жоғарғы жағынан С 5 - 62°Сфракцитясын, төменгіжағынан - 62-105°С алады, оны қондырғыдан мақсатты шығаруға болады немесе 4 бағанға бензолды (62-85°С) және толуолды (85-105°С) бөлу үшін бағыт тайды.
Мұнайды біріншілік айдағанда алынған өнімдер тауарлық болмайды және қайтадан байытуға жіберіледі (ГТ, депарафининдену) немесе одан ары екіншілік процестерді одан ары қайта өңдеужолымен.
3. Қондырғының материалдық балансы3. 1 ЭЛОУ-АВТ атмосфера-вакуумдық қондырғының материалдық баланысы
Қондырғының қуаттылығы 5000 000 тонна жылына.
Жұмыс күндері:
340 тәулік ≈ 8160 сағ.
Өнімділік сағатына:
(1. 1)
1-кесте - К-1мұнайдан бензин бөлгіш колоннаның материалдық баланысы
2 - кесте - К-2 атмосфералық колоннаның материалдық
3 - кесте - С-1 сепараторлы колоннанаың материалдық баланысы
4-кесте - К-4 тура айдалған бензинді тұрақтандырғыш колоннаның материалдық баланысы
5-кесте - С-2 тұрақтандырғыш колонна сеператорының материлдық балансы
Сұйытылған
газ (С 2 -С 4 )
6-кесте - К-5 мазутты вакуумдық айдау колоннасының материалдық балансы
7-кесте - Мұнайды атмосфера-вакуумдық қондырғысының жалпы материлдық балансы
3. 2 ЭЛОУ- АВТ бензинді екіншілік айдау қондырғысының тұрақтандыру блогының материалдық балансы
8-кесте - К-4 тура айдалған бензинді тұрақтандырғыш колоннаның материалдық баланысы
9-кесте - К-5 екіншілік айдау колоннасының материалдық балансы
- Іс жүргізу
- Автоматтандыру, Техника
- Алғашқы әскери дайындық
- Астрономия
- Ауыл шаруашылығы
- Банк ісі
- Бизнесті бағалау
- Биология
- Бухгалтерлік іс
- Валеология
- Ветеринария
- География
- Геология, Геофизика, Геодезия
- Дін
- Ет, сүт, шарап өнімдері
- Жалпы тарих
- Жер кадастрі, Жылжымайтын мүлік
- Журналистика
- Информатика
- Кеден ісі
- Маркетинг
- Математика, Геометрия
- Медицина
- Мемлекеттік басқару
- Менеджмент
- Мұнай, Газ
- Мұрағат ісі
- Мәдениеттану
- ОБЖ (Основы безопасности жизнедеятельности)
- Педагогика
- Полиграфия
- Психология
- Салық
- Саясаттану
- Сақтандыру
- Сертификаттау, стандарттау
- Социология, Демография
- Спорт
- Статистика
- Тілтану, Филология
- Тарихи тұлғалар
- Тау-кен ісі
- Транспорт
- Туризм
- Физика
- Философия
- Халықаралық қатынастар
- Химия
- Экология, Қоршаған ортаны қорғау
- Экономика
- Экономикалық география
- Электротехника
- Қазақстан тарихы
- Қаржы
- Құрылыс
- Құқық, Криминалистика
- Әдебиет
- Өнер, музыка
- Өнеркәсіп, Өндіріс
Қазақ тілінде жазылған рефераттар, курстық жұмыстар, дипломдық жұмыстар бойынша біздің қор #1 болып табылады.

Ақпарат
Қосымша
Email: info@stud.kz