Математикалық талдау


Тақырып № 1
1. Математикалық талдауға кіріспе
Нақты санның геометриялық бейнесі-сандар өсіндегі нүкте және керісінше, сандар өсіндегі әрбір нүкте нақты санды анықтайды. Сондықтан «нақты сан», «сандар өсіндегі нүкте» терминдері бір мағыналы, яғни синонимді сөздер ретінде қолданылады.
Нақты сандар жиыны
рационал
және
иррационал
сандар жиындарының біріктірілуінен тұрады.
Рационал
сан деп екі бүтін санның қатнасы ретінде өрнектелетін санды айтады. Бұл сан шекті ондық бөлшек немесе периодты шексіз ондық бөлшек түріне келтіріледі. Иррационал сан периодты емес шексіз ондық бөлшек түрінде өрнектеледі. Егер сандар өсіндегі нүктенің координат басына дейінгі қашықтығы бірлік кесіндімен (масштабпен) өлшемдес болса, онда бұл нүкте рационал санның, өлшемдес болмаса иррационал санның бейнесі болады. Рационал сандар жиыны
, иррационал сандар жиыны
, ал нақты сандар жиыны
әріпімен белгіленеді және
болады.
«Нақты сандар жиыны» мен «нақты сандар өсіндегі нүктелер жиыны» туралы ұғымдар бір мағынада қолданылады да, қысқаша «сандар жиыны» немесе «нүктелер жиыны» деп айтылады.
Екі санмен шектелген нүктелер жиыны
аралық
деп аталады да
деп белгіленеді. Егер аралықты шектейтін нүктелер осы жиынға енсе, онда бұл аралық
сегмент
деп аталады да
деп, ал енбесе
интервал
делінеді де,
деп белгіленеді; осы нүктелердің біреуі еніп екіншісі енбесе, онда аралық
жартылай интервал
немесе
жартысегмент
деп аталады да
немесе
деп белгіленеді. Интервал өзіне енетін кез келген нүктенің
маңайы
деп аталады. Центрі
нүктесінде болатын ұзындығы
-ге тең интервал осы нүктенің
-маңайы деп аталды да
деп белгіленеді.
Нақты сандар жиынының негізгі қасиеті-оның үзіліссіздігі. Бұл қасиет төмендегі теорема түрінде айтылады:
Теорема 1 Ұзындықтары нөлге ұмтылатын, бірінің ішінде бірі орналасқан сегменттердің бәріне ортақ тек қана бір нүкте бар болады.
Төмендегі суретте осы теореманың геометриялық нұсқасы көрсетілген.
.
Мұндағы
және
сегментінің ұзындығы
нөлге ұмтылатын шама, ал
осы сегменттердің бәріне ортақ нүкте.
Өлшеу процесін қолдануға болатын әрбір объектің сандық мәні шама деп аталады. Табиғатты зерттейтін ғылым саласының тек өзіне тән шамалары болады. Атап айтқанда: физикада−салмақ, масса, жылу сыйымдылығы т. с. с. ; химияда-атомдық салмақ, валенттілік, т. т. ; геометрияда−кесіндінің ұзындығы, фигураның ауданы, дененің көлемі т. с. с.
Белгілі бір сандық мәнін сақтайтын
шама тұрақты
деп аталады. Әр түрлі сандық мәндер қабылдай алатын шама
айнымалы
делінеді. Әдетте, тұрақты шама латын алфавитінің алғашқы әріптерімен
айнымалы шама соңғы әріптерімен
белгіленеді.
2. Функция түсінігі
2. 1Функцияның анықтамасы.
Айталық, бізге нақты сандардан тұратын
және
жиындары берілсін.
Анықтама.
Егер белгілі бір ереже немесе заң бойынша
жиынының әрбір элементі
-ке
жиынының тек қана бір элементі
сәйкес келсе, онда
жиынында бір мәнді
функциясы анықталған дейді. Бұл ережені немесе заңды
жиынын
жиынына бейнелеу деп те атайды.
Осы анықтамадағы
жиынын
функциясының анықталу облысы, ал
жиынын
функциясы мәндерінің жиыны немесе функцияның өзгеру облысы деп,
- ты тәуелсіз айнымалы немесе аргумент деп, ал
- ті тәуелді айнымалы немесе функциясы деп атайды.
Тәуелсіз айнымалы
- тың кейбір
мәніне сәйкес тәуелді айнымалы (функция)
-тің мәнін функцияның
болғандағы (немесе
нүктесіндегі) мәні деп атайды және
символымен белгілейді.
Мысалы,
функциясы берілсе, оның
нүктесіндегі мәні
.
Егер
сан осінің бойында жатқан жиын болса, онда
функциясының анықталу облысы не интервал
, не сегмент
, не жартылай түзулер
немесе бүкіл сан осі
болуы мүмкін. Сонымен қатар функцияның анықталу облысы бірнеше аралықтың бірігуі болуы мүмкін.
Мысалы,
функциясын қарастырайық. Бұл функция айнымалы
- тың мына
теңсіздігін қанағаттандыратын мәндерінде анықталған. Сонда бұл теңсіздіктен
немесе
теңсіздігі шығады. Демек, берілген функцияның анықталу облысы екі аралықтан тұрады:
және
. Яғни,
.
Бір
жиынында берілген
және
функцияларына қосу
, азайту
, көбейту
, бөлу
амалдарын қолдануға болады, сонда осы амалдар орындалғаннан кейін шығатын функциялардың да анықталу облысы
немесе оның бөлігі болуға тиіс.
Мысалы, мына
формуламен берілген функцияны қарастырайық. Бұл функция екі функцияның қосындысынан тұрады. Олардың біреуі
, ал екіншісі
. Бірінші функцияның анықталу облысы
, яғни
. Екінші функцияның анықталу облысы
, немесе
. Сонда осы екі функцияның қосындысы болып табылатын бастапқы
функциясының анықталу облысы (қосылғыш функциялардың анықталу облыстарының көбейтіндісі) жартылай интервал
болады.
функциясының графигі
деп, координаттары берілген функционалдық тәуелділікті қанағаттандыратын, жазықтықтағы нүктелер жиынын айтады,
нүктелер жиыны.
Функциялардың графиктері көбінесе қисық сызықтар немесе түзулер болады.
2. 2Функцияның берілу тәсілдері .
Функцияның берілуінің бірнеше тәсілдері бар. Солардың негізгілері - аналитикалық, таблица түрінде, графикпен және сөзбен берілу тәсілдері.
Айнымалылар арасындағы сәйкестік формуламен берілсе, онда функция аналитикалық түрде берілді дейді.
Мысалы,
.
Аналитикалық тәсілмен берілген функцияның ықшамдығы оның зерттеулерде қолданылуының қолайлығын арттырады және берілген функцияны зерттегенде математиканың аппаратымен пайдалануға өте жақсы бейімделген.
Функцияның таблицалық әдіспен берілу тәсілі эксперименттік жұмыстарда қолданылады. Мұның артықшылығы аргументтің әрбір мәніне сәйкес функцияның мәні тікелей табылатындығында. Сонымен бірге аргументтің өзгеруіне байланысты функцияның өзгеру заңдылығы таблицадан байқалмайды және математикалық амалдар қолдануға өте ыңғайсыз.
Функцияның графикпен берілу тәсілі көп тараған әдіс. Оның басқалардан артықшылығы - оның көрнектілігінде. өйткені аргументтің өзгеруіне байланысты функцияның өзгеруінің бағыттарын тыңғылықты байқап отыруға болады.
2. 3Функциялардың классификациясы.
Негізгі элементар функциялар
деп келесі функцияларды айтады: тұрақты функция
, дәрежелік функция
(
- кез келген сан), көрсеткіштік функция
, логарифмдік функция
, тригонометриялық функциялар:
және кері тригонометриялық функциялар:
.
Алгебралық амалдарды, тиісті композицияларды қолданып жоғарыда аталған негізгі элементар функциялар тобынан құрылған күрделі функцияларды
элементар функциялар
деп атайды. Мысалы,
.
Барлық элементар функциялар алгебралық және трансценденттік функциялар болып екі класқа бөлінеді. Алгебралық функцияларға бүтін-рационал, бөлшек-рационал, иррационал функциялар жатады.
Кез келген иррационал емес функция трансценденттік функция болып табылады. Мысалы,
және т. с. с.
Мысалы,
- алгебралық, ал
т. б, - трансценденттік функциялар.
Айқындалған және айқындалмаған функциялар .
түрінде берілген функция айқындалған деп аталады. Мысалы,
,
- айқындалған функциялар.
түрінде берілген функция айқындылмаған деп аталады, мысалы,
- айқындалмаған функциялар.
Бір мәнді және көп мәнді функциялар.
- бір мәнді, ал
- көп мәнді функциялар.
Кері функция. Берілген функцияға кері функцияның болу шарты:
Егер
функциясы
аралығында бірсарынды және бір мәнді болып, осы аралықта
аралығында бейнелесе, онда кері функция
бар болады және
аралығында бір мәнді және бірсарынды функция болады.
Мысалы
сандар өсінде анықталған және осы аралықта өспелі функция. Сондықтан
аралығында анықталған
кері функция бір мәнді және бірсарынды. Осы функциядағы аргументі мен функцияның әдеттегідей
деп белгілесек, бұл функция,
түрінде жазылады. Демек,
пен
- функциялары өзара кері болады.
Дәл сол сияқты
және
функциялары өзара кері.
Күрделі функция.
функциясы
аралығында анықталып өзгеру облысы
болсын және
аралығында
функциясы анықталсын. Соңғы теңдіктегі
- ті оның мәнімен ауыстырып,
функциясына келеміз. Бұл жаңа функция
аралығында анықталған. Осы функцияны функциядан функция алу әдісімен анықталған
күрделі функция
деп атайды. (Функциялар суперпозициясы) .
Мысалы:
,
, деп алып,
- күрделі функциясын кұрамыз.
Тақырып № 2
Тізбек және тізбектің шегі
Натурал сандар жиынында анықталған
функциясының мәндерін сан тізбегі немесе тізбек деп атайды.
Егер
тізбегі берілсе, оны
символымен белгілейді немесе былай жазады:
Анықтама 1
. Егер кез келген
үшін
теңсіздігі орындалса, онда
тізбегін өспелі дейді.
Анықтама 2
. егер кез келген
үшін
теңсіздігі орындалса, онда
тізбегін кемімелі дейді.
Анықтама 3
. егер кез келген
үшін
теңсіздігін қанағаттандыратындай оң
саны табылса, онда
тізбегін шектелген деп атайды.
Анықтама.
Егер әрбір алдын ала берілген
санына сәйкес
натурал саны табылса және кез келген
нөмірлері үшін
теңсіздігі орындалса, онда
санын
тізбегінің шегі деп атайды. Жазылуы:
немесе
ұмтылғанда
деп жазады.
Мысалы,
тізбектің шегін табу керек.
Шешімі.
болады.
Анықтама. Шегі бар тізбекті жинақты деп, шегі жоқ тізбекті жинақсыз деп атайды. Егер тізбектің шегі бар болса, онда тізбек шектелген болады. Жинақты тізбектің бір ғана шегі бар. Жоғары (төменгі) жағынан шектелген өспелі (кемімелі) тізбектің шегі бар.
Анықтама . Егер тізбектің шегі нөльге тең болса, онда мұндай тізбекті шексіз аз деп атайды.
Теорема 1 . Екі шексіз аз тізбектердің қосындысы шексіз аз болады.
Теорема 2 . Шектелген тізбектің шексіз аз тізбекке көбейтіндісі шексіз аз тізбек болады.
Анықтама
. Егер кез келген
саны үшін
нөмірі табылып, барлық
үшін
теңсіздігі орындалса, онда
тізбегін шексіз үлкен шама дейді және былай жазады:
.
Теорема 3
. Егер
тізбегі,
шексіз үлкен болса, онда
тізбегі шексіз аз және керісінше
тізбегі шексіз аз болса, онда
тізбегі шексіз үлкен.
Теорема 4.
Егер
және
тізбектері жинақты болса, онда
1)
;
2)
;
3)
;
4)
.
Егер
, онда
Анықталмаған өрнектер. Ақырлы шегі бар шамаларға арифметикалық амалдар қолдану нәтижесінде шекке көшкенде ешбір мазмұны жоқ, анықталмаған өрнекте деп аталатын, өрнектер шығуы мүмкін. Ондай жағдайларда айнымалы шаманың шектік мәнін табуға көшпес бұрын шыққан өрнектерді түрлендіру керек.
1) берілген айнымалылар
мен
үшін
және
болсын. Онда олардың қатынасының
шегі
түріндегі анықталмағандық болады. Себебі бұл екі айнымалының өзгеру заңына байланысты, бұл шек неше түрлі мәнге ие болуы мүмкін немесе шектің болмауы да мүмкін.
Мысалы, егер
,
болса, олардың қатынасының
шегін табу керек.
,
. Сонда
яғни
түріндегі анықталмағандық шығады. Бірақ,
. Демек,
.
Ақырсыз аз шамаларды салыстыру. Ақырсыз аз
және
шамалары берілсін
. Осы шамаларды салыстыру денеміз
қатнасының шегін табу. Бұл қатынас
түріндегі анықталмағандық деп аталады.
Анықтама 5
Егер ақырсыз
және
шамалары үшін:
а)
болса, онда
шамасы
-мен салыстырғанда
жоғарғы ретті ақырсыз аз шама
деп аталады, ал
шамасы
-мен салыстырғанда
төменгі ретті ақырсыз аз шама
деп аталады.
б)
,
болса, онда
мен
бір ретті ақырсыз аз шамалар
деп аталады.
в)
болса, онда
мен
эквивалентті
ақырсыз аз шамалар деп аталады.
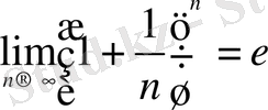
Жиі қолданылатын шектер
- бірінші тамаша шек.
− екінші тамаша шек.
тізбегі үшін
теңсіздігі орындалады. Сондықтан
жоғарыдан шенелген өспелі тізбек.
шегі бар болады.
санының жуық мәні
болатыны дәлелденген. Бұл сан Непер саны деп аталады.
Тақырып № 3
Функцияның шегі.
функциясы
нүктесінің манайында (мүмкін сол нүктенің өзінен басқа) анықталсын.
Анықтама
Егер кішкене
саны үшін, осы саннан тәуелді
санын
теңсіздігін қанағаттандыратын барлық
нүктелерінде
теңсіздігі
орындалатындай етіп табуға болса, онда
саны
-тің
нүктесіндегі шегі деп аталадыда
деп белгілінеді. Аталған шек
түрінде де жазылады.
Мысалы,
екенін дәлелдейік. Кез келген
саны үшін
деп алып,
болатынын көреміз. Демек,
Яғни,
болса,
болады.
Анықтама
Бізге Е жиынындағы сандардан құралған кез келген
тізбегі, яғни
берілсін. Ол тізбек
нүктесіне жинақталатын (шегі бар) тізбек болсын, яғни
(
- кез келген натурал сан) . Сонда, егер осы
тізбегінің мәндеріне сәйкес берілген функция мәндерінің тізбегі
әрқашан да бір А санына жинақталатын болса, онда
функциясы А санына ұмтылады дейді де, А санын
функциясының
нүктесіндегі
шегі деп атайды. Оны былай жазады:
.
Бұл екі анықтама эквивалентті анықтамалар.
Шектер туралы теоремалар және оларды шешу тәсілдері :
Теорема 1
. Қосындының шегі шектердің қосындысына тең.
Теорема 2
. Көбейтіндінің шегі шектердің көбейтіндісіне тең.
Теорема 3
,
. Егер
болса, онда бөлшектің шегі алымының шегін бөлімнің шегіне бөлгенге тең.
Теорема 4
. Тұрақты шаманың шегі сол шаманың өзіне тең.
Теорема 5
. Тұрақты шаманы шектің сыртына шығаруға болады.
Шектерді есептеу мысалдар:
Мысал 1 Шек астындағы бөлшекті (х-2) -ге қысқартып
Мысал 2
Мысал 3
Мұндағы
(бірінші тамаша шек)
Мысал 4
Бесінші және алтыншы мысалдардағы шектер бізге белгілі
немесе
(екінші тамаша шек) теңсіздіктерін қолдану арқылы есептеледі.
Мысал 5
Мысал 6
Ескерту
:
шегі
анықталмағандығын, ал
және
шектері
анықталмағандығын айқындайды.
Анықтама
функциясының
болып
х
-тің
-ге ұмтылғандағы
-ге тең шегі осы функцияның
сол жақты шегі
деп аталады да
деп белгіленеді, ал
болып
х
-тің
-ге ұмтылғандығы
-ге тең шегі функцияның
оң
жақты шегі
деп аталады да,
деп белгіленеді.
Егер
функциясы
нүктесінде және осы нүктенің маңайында анықталып,
теңдігі орындалса, онда
функциясы
нүктесінде үзіліссіз болады.
Егер осы екі теңдіктің ең кемінде біреуі орындалмаса, онда
үзіліс нүктесі деп аталады. Үзілістің екі түрі бар:
1. Секірме үзіліс, егер
болып
немесе
немесе
нүктесінде
анықталмаса.
2. Шексіз үзіліс.
Мысал 1
функциясы үшін
теңдіктері орындалады, демек
- секірме үзіліс нүктесі; секіріс
-ге тең.
У
3
2
1
-1 0 1 х
Сурет 1.
Мысал 2
функциясын
нүктесінде функцияны үзіліссіздікке зерттейік.
теңдіктері орындалады, демек
шексіз үзіліс нүктесі. (Сурет-2)
у
0 π х
Сурет 2.
Тақырып № 5
Функцияның нүктедегі туындысы мен дифференциалы
8. 1 Туындының анықтамасы. Туындының механикалық мағынасы.
8. 2 Туындының геометриялық мағынасы
8. 3 Функцияның дифференциалдануы
8. 4 Функцияның дифференциалы
8. 5 Жоғары ретті туындылар мен дифференциалдар. Лейбниц формуласы.
8. 6 Дифференциалданатын функциялардың негізгі теоремалары. Лопиталь ережесі.
8. 7 Туынды арқылы функцияның зерттеу.
5. 1 Туындының анықтамасы. Туындының механикалық мағынасы.
Түзу сызықты қозғалыстың жылдамдығын қарастырайық. Дене түзу сызық бойымен және
уақыт ішінде
жолын жүрсін, яғни
қашықтық
уақыттың функциясы берілсін:
. Бұл қозғалыс теңдеуі.
Дене қозғалысын уақыттың
мезгілінен
мезгіліне дейін, яғни
интервалында қарастырамыз. Дене
уақытта
жол жүреді.
қатынасын дене қозғалысының
уақыты ішіндегі
орта жылдамдығы
деп аталады және белгілеуі:
.
Шекке көшеміз:
.
Анықтама.
Жол өсімшесінің уақыт өсімшесіне қатынасының уақыт өсімшесі нөльге ұмтылғандағы шегі:
теңдігімен анықталатын
шамасын дене қозғалысының
мезгіліндегі
лездік жылдамдығы
деп аталады.
Айталық,
аралығында
функциясы анықталсын. Бұл аралықтан
нүктесін алып, оған
өсімшесін берейік. Сонда
функциясы да өсімше қабылдайды:
, мұнда
.
Анықтама.
Егер
нөльге ұмтылғанда функция өсімшесі мен аргумент өсімшесі қатынасының шегі бар болса, онда бұл шек берілген функцияның
нүктесіндегі
туындысы
деп аталады:
.
Туындыны табу амалын функцияны дифференциалдау деп атайды. Жоғарыда қарастырылған физикалық есепте айнымалы жылдамдық жүрген жолдың туындысына тең:
. Бұл есеп туындының механикалық мағынасын анықтайды.
5. 2 Туындының геометриялық мағынасы
қисық сызықтың бойынан екі нүкте
және
алайық және сол нүктелер арқылы қиюшы жүргізейік.
нүктесін қозғалмайды деп есептеп,
нүктесін
қисығы бойымен
нүктесіне дейін жүргізейік. Егер
, онда
түзуі
-ға ұмтылады.
Анықтама.
нүктесі
нүктесіне ұмтылғанда қиюшы
мен түзу
арасындағы
бұрыш нөльге ұмтылса, онда
түзуін
қисық сызықтың
нүктесіндегі
жанамасы
деп атайды.
Айталық,
-тың
нүктесіндегі туындысы
. Қиюшы
осімен
бұрыш жасайды. Сонда
немесе
. Егер
, онда
1)
;
2)
;
3)
, онда
.
, онда
.
Сонымен, туынды
функцияның
нүктесіне жүргізілген жанама мен
осінің оң бағытының арасындағы бұрыштың тангенсін кескіндейді.
Онда жанаманың теңдеуі:
.
Осы нүктедегі жанамаға перпендикуляр түзуді
нормаль түзу
деп атайды; оның теңдеуі:
.
5. 3 Функцияның дифференциалдануы
Функцияның туындысын табу амалын дифференциалдау деп, ал туындысы бар функцияны дифференциалданатын функция деп атайды.
Егер
функциясының
нүктесінде туындысы бар болса, онда
функциясы осы нүктеде үздіксіз болады, ал үзіліс функцияның
нүктеде туындысы болмайды.
Арифметикалық амалдардың дифференциалдау ережелері:
Айталық,,
және
үздіксіз функциялары берілсін. Екі функцияның алгебралық қосындысының, көбейтіндісінің және қатынасының туындылары бар болады да мына формулалар бойынша табылады:
;
;
Егер көбейтіндіде көбейткіштің біреуі тұрақты шама болса, онда
, өйткені тұрақты шаманың туындысы нөльге тең.
Күрделі функцияның дифференциалдануы:
Егер
функциясының
нүктесінде, ал
функциясының сол
-ке сәйкес
нүктесінде туындылары бар болса, онда сол
нүктесінде күрделі
функциясының да туындысы бар болады және мынаған тең:
.
Мысалы:
.
Кері функцияның дифференциалдануы:
Егер
функциясының
нүктесінде нөльге тең емес
туындысы бар болса, онда сол
-ке сәйкес
нүктесінде щған кері
функциясының туындысы бар болады және
.
Мысалы:
. Осы функцияға кері функция:
және
. Олай болса,
.
Дәрежелік функцияның туындысы:
.
Тригонометриялық функциялардың туындысы:
;
;
;
Кері тригонометриялық функциялардың туындысы:
;
;
;
Логарифмдік және көрсеткіштік функциялардың туындылары:
;
;
Логарифмдік дифференциалдау тәсілі:
көрсеткішті-дәрежелік функцияның туындысын анықтайық. Ол үшін берілген функцияны логарифмдеп, содан кейін логарифмдеу нәтижесінде шыққан функцияға дифференциалдау ережелерін қолданамыз.
Сонымен
функциясын логарифмдесек
болады. Осы өрнектен күрделі функцияның туындысының формуласы бойынша:
;
;
;
Мысалы:
функциясының туындысын табу керек.
,
,
.
Айқындалмаған функциялардың туындылары:
Айталық,
-тің айқындалмаған функциясы, яғни
тәуелсіз айнымалыны
функциясымен байланыстыратын,
-ке қатысты шешілмейтін, қандай да бір теңдеу арқылы беріледі. Онда
функциясы
-тен тәуелді екенін есепке ала тұра, бұл теңдеуді
бойынша дифференциалдаймыз.
Мысалы:
теңдеуімен берілген
функциясының туындысын табу керек.
,
,
.
Параметр арқылы берілген функцияның туындысы:
Айталық, функция
-тің аргументі
-тен тәуелділігі параметр
арқылы берілсін:
және
,
функциялардың туындылары бар болсын. Бұл тәуелділікті былай түсінуге болады: егер
функцияның кері функциясы
бар болса және
, онда бір формуладан тұратын теңдікке келуге болады:
. Енді күрделі функцияны дифференциалдау ережесін пайдаланамыз:
. Осыдан
.
Екінші ретті туынды:
және үшінші ретті туынды:
.
5. 4 Функцияның дифференциалы
Айталық,
функциясының шектелген туындысы бар болсын, онда
, демек
,
,
- шексіз аз шама.
Онда функцияның өсімшесі:
. Осы теңдікте екінші қосылғыш жоғары ретті шексіз аз шама болғандықтан, бірінші қосылғыш функция өсімшесіне эквивалентті болады.
Анықтама.
Функцияның туындысы мен аргумент өсімшесінің көбейтіндісі
дифференциал
деп аталады және мына түрде жазады:
.
Онда жоғарыда берілген теңдіктің бірінші қосылғышы дифференциал болады. Дербес жағдайда, егер
болса, онда
, яғни
және осыны пайдаланып дифференциалдың формуласын келесі түрде жазуға болады:
.
Осыдан
, яғни туынды функция дифференциалының аргумент дифференциалына бөлінген мәніне тең.
Дифференциалдың қасиеттері:
Негізігі элементар функциялардың туындыларын біле тұрып, біз еш қиындықсыз осы функциялардың дифференциалдарының кестесін құрастыра аламыз.
Айталық,
,
, т. с. с.
Арифметикалық амалдар нәтижелерінің дифференциалдары:
;
;
.
Күрделі функцияның дифференциалы:
Айталық,
және
- үзіліссіз функциялар және олардың туынддылары:
,
. Егер
белгілесек, онда
. Екі жағын
-ке көбейтеміз:
, ал
, олай болса,
.
Функцияның дифференциалдануы.
Анықтама.
функциясы
нүктесінде дифференциалданады, егер оның осы нүктеде дифференциалы болса.
Егер
функциясы дифференциалданатын болса, онда ол міндетті түрде үзіліссіз болады.
Дифференциалды жуықтап есептеулерге пайдалану.
. Соңғы жуықталған теңдік ең алдымен тәжірибелік тұрғыдан қарағанда келесі есепті шешу үшін қолданады:
мәндері белгілі;
-тің жуық мәнін есептеу керек. Сонда төменгі формула анықталады:
.
Мысалы:
мәнін табу керек:
,
,
, демек
. Ал
,
. Сонда
.
5. 5 Жоғары ретті туындылар мен дифференциалдар. Лейбниц формуласы.
Егер
функциясының туындысы бар болса, онда оны
деп белгілеп, бірінші ретті туынды деп атаймыз. Осы 1-ші ретті туындыны бөлек функция деп қарастырайық, онда оның туындысы бар болуы мүмкін және
екінші ретті туынды деп аталады. Сол сияқты функцияның
-ші ретті туындысын жазуға болады:
немесе
.
Мысалдар:
.
Егер
және
дифференциалданатын функциялар болса, онда сызықты комбинация үшін келесі формула орынды:
, ал олардың көбейтіндісі үшін:
Бұл формула Лейбниц формуласы деп аталады.
Мұнда
;
- бином коэффициенттері.
Жоғары ретті дифференциалдар
Функцияның бірінші ретті дифференциалы келесі формуламен анықталады:
, ал екінші ретті дифференциалы:
,
.
Сол сияқты
-ші ретті дифференциал мына формуламен анықталады:
. Бұл формуладан:
-ші ретті туынды шығады.
Тақырып № 6
... жалғасы- Іс жүргізу
- Автоматтандыру, Техника
- Алғашқы әскери дайындық
- Астрономия
- Ауыл шаруашылығы
- Банк ісі
- Бизнесті бағалау
- Биология
- Бухгалтерлік іс
- Валеология
- Ветеринария
- География
- Геология, Геофизика, Геодезия
- Дін
- Ет, сүт, шарап өнімдері
- Жалпы тарих
- Жер кадастрі, Жылжымайтын мүлік
- Журналистика
- Информатика
- Кеден ісі
- Маркетинг
- Математика, Геометрия
- Медицина
- Мемлекеттік басқару
- Менеджмент
- Мұнай, Газ
- Мұрағат ісі
- Мәдениеттану
- ОБЖ (Основы безопасности жизнедеятельности)
- Педагогика
- Полиграфия
- Психология
- Салық
- Саясаттану
- Сақтандыру
- Сертификаттау, стандарттау
- Социология, Демография
- Спорт
- Статистика
- Тілтану, Филология
- Тарихи тұлғалар
- Тау-кен ісі
- Транспорт
- Туризм
- Физика
- Философия
- Халықаралық қатынастар
- Химия
- Экология, Қоршаған ортаны қорғау
- Экономика
- Экономикалық география
- Электротехника
- Қазақстан тарихы
- Қаржы
- Құрылыс
- Құқық, Криминалистика
- Әдебиет
- Өнер, музыка
- Өнеркәсіп, Өндіріс
Қазақ тілінде жазылған рефераттар, курстық жұмыстар, дипломдық жұмыстар бойынша біздің қор #1 болып табылады.

Ақпарат
Қосымша
Email: info@stud.kz