Вариациялық есептеулер пәні

 
    
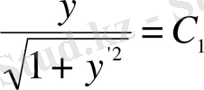
вариациялық есептеулер пәні.
№ 1 Лекция
Кіріспе.
 Белгілі бір
  функциясының экстремал мәндерін (min, max) анықтауды қажет ететін есептермен қатар, жаратылыстану ғылымдарында функционал деп аталатын ерекше бір шамалардың экстремал мәндерін анықтау қажеттілігі туады.
 
  Функционал
 
 деп, мәндері бір немесе бірнеше функцияларды таңдау арқылы анықталатын, айнымалы шамаларды айтады.
 функциясының экстремал мәндерін (min, max) анықтауды қажет ететін есептермен қатар, жаратылыстану ғылымдарында функционал деп аталатын ерекше бір шамалардың экстремал мәндерін анықтау қажеттілігі туады.
 
  Функционал
 
 деп, мәндері бір немесе бірнеше функцияларды таңдау арқылы анықталатын, айнымалы шамаларды айтады.
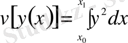
 Мысалы, жазықтықта берілген
  және
 және
  нүктелерінің арасын қосатын кез келген қисықтың
 нүктелерінің арасын қосатын кез келген қисықтың
  ұзындығы функционал болады. Егер қисықтың теңдеуі
 ұзындығы функционал болады. Егер қисықтың теңдеуі
  түрінде берілген болса, онда
 түрінде берілген болса, онда
  ұзындығы былайша анықталады:
 ұзындығы былайша анықталады:
 .
 .
 Сол сияқты, кеңістіктегі кез келген
  беттің
 беттің
  ауданы да функционал. Себебі,
 ауданы да функционал. Себебі,
  ауданының шамасы беттің
 ауданының шамасы беттің
  теңдеуіндегі
 теңдеуіндегі
  функциясының түріне тәуелді:
 функциясының түріне тәуелді:
.
 Бұл жерде,
  - қарастырылып отырған
 - қарастырылып отырған
  бетінің
 бетінің
  жазықтығына проекциясы.
 жазықтығына проекциясы.
Функционалға мысал ретінде, механика ғылымында қолданылатын инерция моменттері, статикалық моменттер, кеңістіктегі қисықтың немесе беттің ауырлық орталығының координаталары сияқты шамаларды айтуға болады.
Варияциялық есептеулер ғылымы
Вариациялық есептеулер ғылымы функционалдардың экстремумдарын ( min немесе max ) табудың әдістерін зерттейді. Ал функционалдардың min немесе max- ын іздеуді қажет ететін есептер вариациялық есептер деп аталады.
Вариациялық есептер, механика және физика ғылымдарында зерттелетін көптеген процестерде белгілі бір функционалмен сипатталатын шамалардың min немесе max- ға тең болуын талап ететін заңдардан туындайды. Осылайша сипатталған заңдар вариациялық принциптер деп аталады. Вариациялық принциптерге : энергияның сақталу заңы, импульстің сақталу заңы, қозғалыс мөлшерінің моментінің сақталу заңы және т. б жатады. Сонымен қатар, вариациялық принциптерге - оптикада Ферма принципін, серпімділік теориясында Кастилиано принципін және т. б. атауға болады.
Шеткі нүктелері қозғалмайтын есептерге вариация әдісін қолдану.
Вариация және оның қасиеттері.
   Анықтама:
  
 Егер белгілі бір
  класынан алынған әрбір
 класынан алынған әрбір
  функциясына нақты бір
 функциясына нақты бір
  мәні сәйкес келетін болса, онда бұл айнымалы
 мәні сәйкес келетін болса, онда бұл айнымалы
  шамасы
 
  функционал
 
 деп аталады да, былайша белгіленеді:
 шамасы
 
  функционал
 
 деп аталады да, былайша белгіленеді:
  .
 .
Бірнеше функцияға тәуелді, немесе, бірнеше айнымалының функциясына тәуелді функционалдар да осылайша анықталады.
Функционалға мысалдар:

.
 Вариациялық есептеулер теориясында
  функционалының
 функционалының
  аргументінің
 
  өсіндісі
 
 немесе
 
  варияциясы
 
 деп екі функцияның
 аргументінің
 
  өсіндісі
 
 немесе
 
  варияциясы
 
 деп екі функцияның
  айырымын айтады. Бұл жердегі
 айырымын айтады. Бұл жердегі
  функциясы функциялардың белгілі бір класында еркін өзгереді деп есептеледі. Егер
 функциясы функциялардың белгілі бір класында еркін өзгереді деп есептеледі. Егер
  функциясының шағын өзгеруіне
 функциясының шағын өзгеруіне
  функционалының шағын өзгеруі сәйкес келсе, онда бұл функционал
 
  үздіксіз функционал
 
 деп аталады.
 функционалының шағын өзгеруі сәйкес келсе, онда бұл функционал
 
  үздіксіз функционал
 
 деп аталады.
 Енді функционалдың
  және
 және
  аргументтерінің
 аргументтерінің
  айырымы арқылы функциялардың өзара жақындық деңгейін бағалайық.
 айырымы арқылы функциялардың өзара жақындық деңгейін бағалайық.
 Егер
  айырымының модулі
 айырымының модулі
  -тың барлық мәндері үшін кіші сан болатын болса, онда бұл функциялардың ординаталары өзара жақын мәнді сандар болады да
 -тың барлық мәндері үшін кіші сан болатын болса, онда бұл функциялардың ординаталары өзара жақын мәнді сандар болады да
  және
 және
  функциялары өзара
 
  жақын функциялар
 
 деп аталады.
 функциялары өзара
 
  жақын функциялар
 
 деп аталады.
 Бірақ, кейбір жағдайларда, әсіресе
  функционалын қарастырған кезде
 функционалын қарастырған кезде
  пен
 пен
  функцияларының ординаталары өзара жақын болғанымен, олардың, белгілі бір
 функцияларының ординаталары өзара жақын болғанымен, олардың, белгілі бір
  нүктесіндегі
 нүктесіндегі
  және
 және
  жанамаларының айырымы өте үлкен болуы мүмкін.
 жанамаларының айырымы өте үлкен болуы мүмкін.
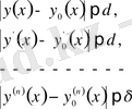
 Сондықтан, екі функцияны өзара жақын деп айту үшін олардың ординаталарының айырымымен қатар олардың жанамаларынының айырымының да кіші болуын талап ету қажет. Демек, жалпы жағдайда,
  пен
 пен
  қисықтарын өзара жақын деп есептеу үшін
 қисықтарын өзара жақын деп есептеу үшін
айрымдарының бәрінің де модульдері кіші сандар болуы керек. Осыған байланысты мынадай анықтама енгіземіз.
   Анықтама
  
 : Егер
  айырымының модулі кіші сан болса, онда
 айырымының модулі кіші сан болса, онда
  және
 және
  қисықтары нолдік реттегі өзара жақын функциялар деп аталады. Ал егер
 қисықтары нолдік реттегі өзара жақын функциялар деп аталады. Ал егер
  ординаталар айырымы мен
 ординаталар айырымы мен
  жанамалар айырымының модулдері кіші сан болса, онда
 жанамалар айырымының модулдері кіші сан болса, онда
  және
 және
  функцияларының жақындығы бірінші ретті деп аталады.
 функцияларының жақындығы бірінші ретті деп аталады.
Жалпы жағдайда
 айырымдарының модулдері кіші сан болса, онда бұл функциялар өзара
  ретті жақын функциялар деп аталады.
 ретті жақын функциялар деп аталады.
Келесі суретте өзара нолдік реттегі жақын функциялар көрсетілген. Бірақ оның жақындығы бірінші ретке жетпейді. Себебі жанамалардың айырымы кіші сан емес.
 
Осы айтылғандарды қорыта келе функционалдың үздіксіздігіне жаңаша анықтама берейік.
   Анықтама
  
 : Егер
  саны үшін
 саны үшін
  теңсіздігі орындалса және осы теңсіздік үшін келесі:
 теңсіздігі орындалса және осы теңсіздік үшін келесі:
 теңсіздіктер орындалатындай
  санын таңдауға болатын болса, онда
 санын таңдауға болатын болса, онда
  функционалы
 функционалы
  ретті үздіксіз функционал деп аталады.
 ретті үздіксіз функционал деп аталады.
№ 2 Лекция
Сызықтық функционал
   Анықтама:
  
 шартына бағынатын
 шартына бағынатын
  функционалы
 
  сызықтық функционал
 
 деп аталады. Бұл жерде
 функционалы
 
  сызықтық функционал
 
 деп аталады. Бұл жерде
  кез келген тұрақты шама, және ол үшін
 кез келген тұрақты шама, және ол үшін
теңдігі орындалады.
Мысалы:
функционалын қарастырсақ, онда
болуы керек.
 Егер функционалдың
  өсіндісін
 өсіндісін
 түріне келтіру мүмкін болса, онда бұл өсіндінің сызықтық бөлігі, демек,
  шамасы функционалдың вариациясы деп аталып,
 шамасы функционалдың вариациясы деп аталып,
  - арқылы белгіленеді. Бұл жерде, вариация үшін
 - арқылы белгіленеді. Бұл жерде, вариация үшін
  болған кезде
 болған кезде
  шарты орындалады да,
 шарты орындалады да,
  функционалының варияциясы нолге теңеседі:
 функционалының варияциясы нолге теңеседі:
.
 Бұл жерде
  параметрі өте кіші сан.
 параметрі өте кіші сан.
   Анықтама
  
 : Егер
  функционалының мәні ешқашан
 функционалының мәні ешқашан
  функционалының мәнінен артық болмайтын болса, басқаша айтқанда,
 функционалының мәнінен артық болмайтын болса, басқаша айтқанда,
  болса, онда
 болса, онда
  функционалы
 функционалы
  қисығында өзінің максимумына жетеді.
 қисығында өзінің максимумына жетеді.
 Егер
  болса, және тек
 болса, және тек
  болғанда ғана
 болғанда ғана
  шарты орындалса, онда
 шарты орындалса, онда
  қисығында функционал өзінің қатаң максимумына жетеді.
 қисығында функционал өзінің қатаң максимумына жетеді.
Эйлер теңдеуі
   Теорема:
  
 Егер
  функционалы
 функционалы
  қисығында өзінің максимумына немесе минимумына жететін болса, онда оның
 қисығында өзінің максимумына немесе минимумына жететін болса, онда оның
  қисығындағы варияциясы нолге тең:
 қисығындағы варияциясы нолге тең:
  .
 .
 Демек, белгілі бір
  және
 және
  шамалары үшін
 шамалары үшін
  
 өрнегі еркін таңдалған
  параметрінің функциясы болады да,
 параметрінің функциясы болады да,
  болғанда функционал өзінің максимумы немесе минимумына (экстремумға) жетеді. Олай болса, функционалдың экстремумға жету шарты
 болғанда функционал өзінің максимумы немесе минимумына (экстремумға) жетеді. Олай болса, функционалдың экстремумға жету шарты
  , немесе,
 , немесе,
  түрінде жазылады.
 түрінде жазылады.
Қорыта келгенде, өзінің экстремумын беретін қисықтың бойында функционалдың варияциясы әрқашан нолге тең болады .
 Бұл теореманы былайша қолдануға болады:
 
   Функционалға экстремум беретін
  
 қисығын іздеу есебін функционалдың варияциясы 0-ге тең болу шартымен, басқаша айтқанда,
   қисығын іздеу есебін функционалдың варияциясы 0-ге тең болу шартымен, басқаша айтқанда,
  
 теңдеуін шешу есебімен айырбастауға болады.
   теңдеуін шешу есебімен айырбастауға болады.
  
 Енді
  функционалын экстремумға зерттейік. Бұл жерде функционалдың анықталу аймағының екі шеткі нүктесі қатаң бекітілген деп қабылданған. Олай болса, функционалға экстремум беретін
 функционалын экстремумға зерттейік. Бұл жерде функционалдың анықталу аймағының екі шеткі нүктесі қатаң бекітілген деп қабылданған. Олай болса, функционалға экстремум беретін
  қисығы екі шеткі нүктеден басқа жердің бәрінде еркін өзгеруі мүмкін, тек, сол өзгеру жағдайларының ішінде бір ғана жағдай функционалға экстремум береді. Функционалдың бұл түрі бір айнымалыға тәуелді бір функцияның және оның, тәуелсіз айнымалы бойынша, бірінші туындысының функционалы деп аталады. Бұл жерде
 қисығы екі шеткі нүктеден басқа жердің бәрінде еркін өзгеруі мүмкін, тек, сол өзгеру жағдайларының ішінде бір ғана жағдай функционалға экстремум береді. Функционалдың бұл түрі бір айнымалыға тәуелді бір функцияның және оның, тәуелсіз айнымалы бойынша, бірінші туындысының функционалы деп аталады. Бұл жерде
  функциясының үш рет дифференциялдануы шарт. Енді
 функциясының үш рет дифференциялдануы шарт. Енді
  қисығында функционал өзінің экстремумына жетеді деп болжайық. Егер
 қисығында функционал өзінің экстремумына жетеді деп болжайық. Егер
  қисығына жақын орналасқан
 қисығына жақын орналасқан
  қисығын алып, кез келген
 қисығын алып, кез келген
  параметрінің көмегімен
 параметрінің көмегімен
  өрнегін құрастырсақ, онда
 өрнегін құрастырсақ, онда
  параметріне тәуелді қисықтар жиынын аламыз және
 параметріне тәуелді қисықтар жиынын аламыз және
  болған кезде өрнектің мәні
 болған кезде өрнектің мәні
  болады, ал
 болады, ал
  болған кезде
 болған кезде
  . Бұл жерде
 . Бұл жерде
  салыстыру қисығы
 
 деп аталады. Ал
  салыстыру қисығы
 
 деп аталады. Ал
  айрымы
 айрымы
  функциясының варияциясы деп аталып
 функциясының варияциясы деп аталып
  арқылы белгіленеді және ол
 арқылы белгіленеді және ол
  -тың функциясы болады. Бұл функция
 -тың функциясы болады. Бұл функция
  бойынша бірнеше рет дифференциялданады және оның туындылары былайша есептеледі:
 бойынша бірнеше рет дифференциялданады және оның туындылары былайша есептеледі:
 Енді, жоғарыда аталған
  қисықтар жиынын қарастырайық. Егер
 қисықтар жиынын қарастырайық. Егер
  кезінде
 кезінде
  болса, ал
 болса, ал
  кезінде
 кезінде
  болса, онда
 болса, онда
  параметрін енгізу арқылы
 параметрін енгізу арқылы
  функционалын
 функционалын
  параметрінің
 параметрінің
  функциясына айналдырамыз. Осылайша анықталған
 функциясына айналдырамыз. Осылайша анықталған
  функциясы
 функциясы
  болған кезде өзінің экстремумына жетеді. Демек, оның экстремумының қажетті шарты
 болған кезде өзінің экстремумына жетеді. Демек, оның экстремумының қажетті шарты
  түрінде жазылады. Енді, осылайша анықталған
 түрінде жазылады. Енді, осылайша анықталған
  функциясының
 функциясының
  параметрі бойынша туындысын
 параметрі бойынша туындысын
түрінде анықтайық. Бұл жерде
 ,
 ,
 ,
 ,
 ,
 ,
 ,
 ,
 ,
 ,
 .
 .
 Функционалдың экстремумының
  шарты
 шарты
  функционалы үшін енді былайша жазылады
 функционалы үшін енді былайша жазылады
(*)
 Интеграл астындағы екінші қосындыны бөлектеп интегралдасақ және
  екенін ескерсек, онда
 екенін ескерсек, онда
  . Бірақ
 . Бірақ
 ,
 ,
  болады. Себебі функционалдың анықталу аймағының екі басы қатаң бекітілген болғандықтан функционалдың ол нүктелердегі варияциялары 0-ге тең:
 болады. Себебі функционалдың анықталу аймағының екі басы қатаң бекітілген болғандықтан функционалдың ол нүктелердегі варияциялары 0-ге тең:
  . Олай болса
 . Олай болса
.
 Бұл функционалдың варияциясын есептеу формуласы. Демек, экстремумның қажетті
  шарты енді былайша жазылады:
 шарты енді былайша жазылады:
.
 Интеграл астындағы бірінші
  көбейткіші берілген үзіліссіз функция, ал екінші
 көбейткіші берілген үзіліссіз функция, ал екінші
  көбейткіш кез келген үзіліссіз шама, себебі
 көбейткіш кез келген үзіліссіз шама, себебі
  салыстыру қисығы еркін таңдалады. Оның үстіне
 салыстыру қисығы еркін таңдалады. Оның үстіне
  вариациясы функционалдың анықталу аймағының шекаралық
 вариациясы функционалдың анықталу аймағының шекаралық
  және
 және
  нүктелерінде 0-ге тең. Алынған нәтижені қарапайым түрге келтіру үшін келесі лемманы қолданамыз.
 нүктелерінде 0-ге тең. Алынған нәтижені қарапайым түрге келтіру үшін келесі лемманы қолданамыз.
Вариациялық есептеулердің негізгі леммасы:
   Егер әрбір үздіксіз
  
 функциясы үшін
   функциясы үшін
  
   шарты орындалса, онда,
  
 аралығында үздіксіз
   аралығында үздіксіз
  
 функциясы әрқашан
   функциясы әрқашан
  
 
болады.
Енді осы лемманы жоғарыда алынған функционалдың экстремумға жетуінің
шартына қолдансақ, онда, әрқашан
(**)
 болуы керек екенін көреміз. Шынында, жоғарыда келтіріліген шарттарды
  көбейткіші қанағаттандырады.
 көбейткіші қанағаттандырады.
Функционалдың экстремумға жету шартының
 түрі
 
  Эйлер теңдеуі
 
 деп аталып,
  бойынша туынды алынғаннан кейін, екінші ретті кәдуілгі диффренциалдық теңдеу түрінде былайша ашылады:
 бойынша туынды алынғаннан кейін, екінші ретті кәдуілгі диффренциалдық теңдеу түрінде былайша ашылады:
.
№ 3 лекция.
  Қарапайым
 
 функционалдардың
  функционалдардың
 
жекелеген түрлері.
 Енді,
  функционалына сәйкес алынған
 функционалына сәйкес алынған
  Эйлер теңдеуінің
 Эйлер теңдеуінің
  шекаралық шарттарды қанағаттандыратын шешімі барлық кезде табыла бермейтінін, ал, табылған кездің өзінде, шешімнің жалғыз болмауы мүмкін екенін ескерейік. Ол үшін функционалдың интеграл астындағы
 шекаралық шарттарды қанағаттандыратын шешімі барлық кезде табыла бермейтінін, ал, табылған кездің өзінде, шешімнің жалғыз болмауы мүмкін екенін ескерейік. Ол үшін функционалдың интеграл астындағы
  функциясының түріне байланысты аталған шекаралық есептің шешімі әр түрлі болатынына мысалдар келтірейік.
 функциясының түріне байланысты аталған шекаралық есептің шешімі әр түрлі болатынына мысалдар келтірейік.
  Мысал:
 
 Шекаралық шарттары
  түрінде берілген
 түрінде берілген
  функционалының экстремалын іздейік. Бұл жерде интеграл астындағы функция
 функционалының экстремалын іздейік. Бұл жерде интеграл астындағы функция
  
 түрінде берілген. Енді Эйлер теңдеуінің құрамындағы шамаларды есептейік:
 түрінде берілген. Енді Эйлер теңдеуінің құрамындағы шамаларды есептейік:
 
 
 
 
 
 Алынған шамаларды Эйлер теңдеуінің ашылып жазылған
  формуласына қойсақ, онда
 формуласына қойсақ, онда
  түріндегі екінші ретті, кәдуілгі сызықтық дифференциалдық теңдеу аламыз. Бұл теңдеудің жалпы шешімі
 түріндегі екінші ретті, кәдуілгі сызықтық дифференциалдық теңдеу аламыз. Бұл теңдеудің жалпы шешімі
  болады. Шекаралық шарттардан
 болады. Шекаралық шарттардан
  екенін анықтаймыз. Олай болса, берілген функционал тек
 екенін анықтаймыз. Олай болса, берілген функционал тек
  қисығында ғана өзінің экстремумына жетеді.
 қисығында ғана өзінің экстремумына жетеді.
  1)
 
 жағдайы.
  жағдайы.
 
 Енді функционалдың
  туындысына тәуелсіз болатын кезін қарастырайық. Бұл кезде интегралдың астындағы функция
 туындысына тәуелсіз болатын кезін қарастырайық. Бұл кезде интегралдың астындағы функция
  түрінде жазылады да, сәйкес Эйлер теңдеуі
 түрінде жазылады да, сәйкес Эйлер теңдеуі
  болғандықтан
 болғандықтан
  түрінде алынады. Бұл теңдеу дифференциалдық теңдеу болмағандықтан, оның құрамында интегралдау кезінде пайда болатын белгісіз
 түрінде алынады. Бұл теңдеу дифференциалдық теңдеу болмағандықтан, оның құрамында интегралдау кезінде пайда болатын белгісіз
  коэффициенттері болмайды. Сол себептен мұндай вариациялық есептің жалпы жағдайда шешімі болмайды. Тек
 коэффициенттері болмайды. Сол себептен мұндай вариациялық есептің жалпы жағдайда шешімі болмайды. Тек
  қисығы шекаралық
 қисығы шекаралық
  нүктелері арқылы өткен кезде ғана функционалға экстремум беретін қисық табылуы мүмкін.
 нүктелері арқылы өткен кезде ғана функционалға экстремум беретін қисық табылуы мүмкін.
  Мысал:
 
 ;
 ;
  вариациялық есебінің Эйлер теңдеуі
 вариациялық есебінің Эйлер теңдеуі
  немесе
 немесе
  түрінде жазылады. Бұл қисық
 түрінде жазылады. Бұл қисық
  болған кезде ғана шекаралық
 болған кезде ғана шекаралық
  нүктелері арқылы өтеді. Қалған
 нүктелері арқылы өтеді. Қалған
  жағдайлардың бәрінде де экстремалдық қисықтың теңдеуін үзіліссіз функциялар класынан табу мүмкін емес.
 жағдайлардың бәрінде де экстремалдық қисықтың теңдеуін үзіліссіз функциялар класынан табу мүмкін емес.
  2)
 
 функциясы
  функциясы
 
 -қа сызықты түрде тәуелді.
  -қа сызықты түрде тәуелді.
 
 Бұл жағдайды жалпы түрде былайша жазамыз:
  . Демек, енді функционал былайша
 . Демек, енді функционал былайша
 
жазылады да, Эйлер теңдеуі
түрінде, немесе
түрінде, немесе
 түрінде алынады. Тағы да, алдыңғы жағдай сияқты, Эйлер теңдеуі дифференциалдық түрде емес, шекті түрде алынды. Демек, шекаралық шарттар арқылы анықталатын белгісіз
  коэффиенттері болмағандықтан
 коэффиенттері болмағандықтан
  қисығы жалпы жағдайда шекаралық шарттарды қанағаттандырмайды да, вариациялық есептің үзіліссіз функциялар класында шешімі болмайды. Ал егер
 қисығы жалпы жағдайда шекаралық шарттарды қанағаттандырмайды да, вариациялық есептің үзіліссіз функциялар класында шешімі болмайды. Ал егер
  болса, онда
 болса, онда
  өрнегі толық дифференциал болады да
 өрнегі толық дифференциал болады да
функционалының мәні интегралдау жолына тәуелсіз болып қалып, вариациялық есеп мағынасын жоғалтады.
Мысал:
Вариациялық есеп
;

 түрінде берілсін. Олай болса Эйлер теңдеуі
  немесе
 немесе
  түрінде алынады. Бұл кезде бірінші
 түрінде алынады. Бұл кезде бірінші
  шекаралық шарт орындалады, ал екінші
 шекаралық шарт орындалады, ал екінші
  шекаралық шарт тек
 шекаралық шарт тек
  болса ғана орындалады да, қалған
 болса ғана орындалады да, қалған
  жағдайдың бәрінде шекаралық шарттарды қанағаттандыратын экстремал табылмайды.
 жағдайдың бәрінде шекаралық шарттарды қанағаттандыратын экстремал табылмайды.
№ 4 лекция.
  Қарапайым
 
 функционалының
  функционалының
 
жекелеген түрлері (жалғасы) .
  3)
 
 жағдайы.
 жағдайы.
 Бұл кезде интеграл астындағы
  функциясы тек
 функциясы тек
  туындысына ғана тәуелді. Демек, Эйлер теңдеуі
 туындысына ғана тәуелді. Демек, Эйлер теңдеуі
  болғандықтан
 болғандықтан
  түрінде алынады. Осыдан, егер
 түрінде алынады. Осыдан, егер
  болса, онда оның
 болса, онда оның
  шешімі екіпараметрлік түзу сызықтар жинағын береді. Ал, егер
 шешімі екіпараметрлік түзу сызықтар жинағын береді. Ал, егер
  болса, онда бұл теңдеудің
 болса, онда бұл теңдеудің
  немесе
 немесе
  түріндегі бір, немесе бірнеше шешімі, құрамында, жоғарыда алынған,
 түріндегі бір, немесе бірнеше шешімі, құрамында, жоғарыда алынған,
  шешімі бар, бірпараметрлік түзу сызықтар жинағын береді. Демек,
 шешімі бар, бірпараметрлік түзу сызықтар жинағын береді. Демек,
  жағдайында функционалдың экстремалдары жалпы жағдайда
 жағдайында функционалдың экстремалдары жалпы жағдайда
  түрінде алынады.
 түрінде алынады.
  4)
 
 жағдайы.
  жағдайы.
 
 Бұл кезде Эйлер теңдеуі
  түрінде жазылады да, оның бірінше интегралы
 түрінде жазылады да, оның бірінше интегралы
  теңдеуін береді. Бұл теңдеудің құрамында да
 теңдеуін береді. Бұл теңдеудің құрамында да
  айнымалысы болмайды. Бұл теңдеуді
 айнымалысы болмайды. Бұл теңдеуді
  туындысына қатысты тікелей шешіп алып интегралдауға, немесе, қосымша көмекші параметр енгізу арқылы интегралдауға болады.
 туындысына қатысты тікелей шешіп алып интегралдауға, немесе, қосымша көмекші параметр енгізу арқылы интегралдауға болады.
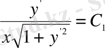
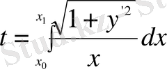
Мысал.
 түрінде функционал берілсін. Бұл функционал арқылы жазықтықтағы
 түрінде функционал берілсін. Бұл функционал арқылы жазықтықтағы
  қисығы бойымен бір нүктеден екінші нүктеге жету уақыты анықталады.
 қисығы бойымен бір нүктеден екінші нүктеге жету уақыты анықталады.
 Шынында да, жазықтықтағы
  қисығының доғасының ұзындығы
 қисығының доғасының ұзындығы
  интегралы арқылы анықталатыны белгілі. Егер
 интегралы арқылы анықталатыны белгілі. Егер
  деп алсақ, онда
 деп алсақ, онда
  болады. Демек,
 болады. Демек,
  . Бұл функционал үшін Эйлер теңдеуінің бірінші интегралы
 . Бұл функционал үшін Эйлер теңдеуінің бірінші интегралы
  немесе
 немесе
  түрінде алынады. Енді
 түрінде алынады. Енді
  түрінде жаңа параметр енгізсек, онда
 түрінде жаңа параметр енгізсек, онда
  немесе
 немесе
  болады. Бұл жерде
 болады. Бұл жерде
  . Келесі
 . Келесі
  түрлендірулер арқылы дифференциалдық
 түрлендірулер арқылы дифференциалдық
 теңдеуін аламыз. Интегралдау арқылы
  алынады.
 алынады.
 Демек,
  ,
 ,
  . Осыдан
 . Осыдан
  параметрін шығарып тастасақ:
 параметрін шығарып тастасақ:
.
Демек, вариациялық есептің шешімі орталығы ордината осінде орналасқан шеңберлер жинағының теңдеулері.
  4)
 
 жағдайы.
  жағдайы.
 
 Бұл кезде интеграл астындағы
  функциясы
 функциясы
  функциясы мен оның
 функциясы мен оның
  туындысына тәуелді. Демек, Эйлер теңдеуі
 туындысына тәуелді. Демек, Эйлер теңдеуі
  түрінде жазылады. Егер осы теңдеудің барлық мүшелерін
 түрінде жазылады. Егер осы теңдеудің барлық мүшелерін
  шамасына көбейтсек, алынған нәтиже
 шамасына көбейтсек, алынған нәтиже
  толық туындысына тең болатынын көреміз.
 толық туындысына тең болатынын көреміз.
Шынында да:
 
 Олай болса Эйлер теңдеуінің бірінші интегралы
  теңдеуін береді. Бұл теңдеу
 теңдеуін береді. Бұл теңдеу
  айнымалысына айқын түрде тәуелді болмағандықтан, оны
 айнымалысына айқын түрде тәуелді болмағандықтан, оны
  туындысына қатысты тікелей шешіп алып интегралдауға, немесе, қосымша көмекші параметр енгізу арқылы интегралдауға болады.
 туындысына қатысты тікелей шешіп алып интегралдауға, немесе, қосымша көмекші параметр енгізу арқылы интегралдауға болады.
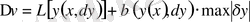
Мысал. Абсцисса осі бойымен айналғанда ауданы ең кіші бет туындататын, екі басы қатаң бекітілген қисықтың теңдеуін табу қажет болсын.
 Қисық сызықтың айналуынан туатын беттің ауданы
  формуласымен анықталады. Бұл жерде интеграл астындағы
 формуласымен анықталады. Бұл жерде интеграл астындағы
  функциясы тек
 функциясы тек
  функциясы мен оның
 функциясы мен оның
  туындысына тәуелді. Демек, Эйлер теңдеуінің бірінші интегралы
 туындысына тәуелді. Демек, Эйлер теңдеуінің бірінші интегралы
  түрінде алынады. Берілген есеп жағдайында
 түрінде алынады. Берілген есеп жағдайында
  және Эйлер теңдеуі
 және Эйлер теңдеуі
  түрінде жазылады. Түрлендірулерден кейін
 түрінде жазылады. Түрлендірулерден кейін
  теңдеуін аламыз. Бұл теңдеуді
 теңдеуін аламыз. Бұл теңдеуді
  алмастыруларын қолданып интегралдаймыз. Келесі
 алмастыруларын қолданып интегралдаймыз. Келесі
  түрлендірулерді қолданып
 түрлендірулерді қолданып
  және
 және
  шешімін аламыз. Алынған нәтижеден
 шешімін аламыз. Алынған нәтижеден
  параметрін шығарып тастасақ, онда
 параметрін шығарып тастасақ, онда
  шешімін аламыз.
 шешімін аламыз.
 Алынған шешім
 
  шынжырлық сызықтардың
 
 жинағын береді. Ал олардың абсцисса осі бойымен айналуынан туатын беттер
 
  катеноидтар
 
 деп аталады. Белгісіз
  мен
 мен
  параметрлері табылған қисықтың шекаралық нүктелерден өту шарттарынан табылады.
 параметрлері табылған қисықтың шекаралық нүктелерден өту шарттарынан табылады.
 
Шекаралық нүктелердің кеңістікте орналасуына байланысты бұл есептің бір, екі шешімі, немесе, бір де бір шешімі болмауы мүмкін.
№ 5 Лекция.
Бір айнымалыға тәуелді бірнеше функцияның және олардың бірінші туындыларының
 функционалдары.
  функционалдары.
 
Құрамындағы барлық функциялардың шекаралық шарттары
түрінде берілген
 функционалының экстремалын алудың қажетті шарттарын табу үшін белгісіз функциялардың кез келген
  біреуін ғана вариациялаймыз да, қалғандарын өзгеріссіз қалдырамыз. Бұл кезде
 біреуін ғана вариациялаймыз да, қалғандарын өзгеріссіз қалдырамыз. Бұл кезде
  функционалы вариацияланатын бір ғана
 функционалы вариацияланатын бір ғана
  функциясының
 функциясының
  функционалына айналады. Демек, экстремум беретін
 функционалына айналады. Демек, экстремум беретін
  функциясы Эйлердің
 функциясы Эйлердің
  теңдеуін қанағаттандыруы тиіс. Бұл жерде
 теңдеуін қанағаттандыруы тиіс. Бұл жерде
  индексі 1 мен
 индексі 1 мен
  аралығында кез келген мән қабылдайтын болғандықтан, жалпы жағдайда
 аралығында кез келген мән қабылдайтын болғандықтан, жалпы жағдайда
  кеңістіктігінде берілген вариациялық есептің экстремалдар жинағын анықтайтын
 кеңістіктігінде берілген вариациялық есептің экстремалдар жинағын анықтайтын
  параметрлік интегралдық қисықтар жиыны Эйлердің
 параметрлік интегралдық қисықтар жиыны Эйлердің
  дифференциалдық теңдеулер жүйесінің шешімі болады.
 дифференциалдық теңдеулер жүйесінің шешімі болады.
 Жекелеген жағдайда, егер функционал тек
  пен
 пен
  функцияларына ғана тәуелді болса, онда вариациялық есеп
 функцияларына ғана тәуелді болса, онда вариациялық есеп
функционалының
 шекаралық шарттарын қанағаттандыратын экстремалын табуға қойылады (1-ші сурет) .
 шекаралық шарттарын қанағаттандыратын экстремалын табуға қойылады (1-ші сурет) .
 
1-ші сурет
 Бұл кезде алдымен
  функциясы тұрақты деп алынады да,
 функциясы тұрақты деп алынады да,
  функциясы проекциясы
 функциясы проекциясы
  жазықтығында өзгермейтіндей етіп вариацияланады.
 жазықтығында өзгермейтіндей етіп вариацияланады.
 
2-ші сурет
 Демек, вариацияланатын қисық әрқашан
  цилиндрінің бетінде қалып отырады. Келесі кезекте, дәл осылайша,
 цилиндрінің бетінде қалып отырады. Келесі кезекте, дәл осылайша,
  функциясы тұрақты деп алынып,
 функциясы тұрақты деп алынып,
  функциясы проекциясы
 функциясы проекциясы
  жазықтығында өзгермейтіндей етіп вариацияланады. Нәтижесінде Эйлер теңдеулерінің келесі жүйесін аламыз:
 жазықтығында өзгермейтіндей етіп вариацияланады. Нәтижесінде Эйлер теңдеулерінің келесі жүйесін аламыз:
Мысал.
 
вариациялық есебін шешу керек.
Эйлер теңдеулері былайша жазылады:
 .
 .
 Жүйеден
  функциясын шығарып тастасақ
 функциясын шығарып тастасақ
  теңдеуін аламыз. Төртінші ретті бұл дифференциалдық теңдеудің жалпы шешімі
 теңдеуін аламыз. Төртінші ретті бұл дифференциалдық теңдеудің жалпы шешімі
 түрінде алынады. Шекаралық шарттардан
  екенін анықтаймыз. Демек, функционалға экстремум беретін кеңістіктегі функциялар
 екенін анықтаймыз. Демек, функционалға экстремум беретін кеңістіктегі функциялар
  түрінде табылады.
 түрінде табылады.
№ 6 лекция.
Жоғарғы ретті туындыларға тәуелді функционалдар
 Енді
  =
 =
  түрінде берілген функционалды зерттейік. Бұл жерде
 түрінде берілген функционалды зерттейік. Бұл жерде
  функциясы барлық аргументтері бойынша
 функциясы барлық аргументтері бойынша
  рет дифференциалданатын болсын және шекаралық шарттар мынадай түрде берілсін:
 рет дифференциалданатын болсын және шекаралық шарттар мынадай түрде берілсін:
 
 Функционал өзінің экстремумына
  рет дифференциалданатын
 рет дифференциалданатын
  қисығында жетеді деп болжайық. Салыстыру қисығы деп аталатын
 қисығында жетеді деп болжайық. Салыстыру қисығы деп аталатын
  
 қисығы да
 қисығы да
  рет дифференциалданатын болсын.
 рет дифференциалданатын болсын.
Функциялардың бір параметрлік
жинағын қарастырайық.
 Егер функционал өзінің
  экстремумына тек қана
 экстремумына тек қана
  жинағының қисықтарында жететін болса, онда бұл функционал
 жинағының қисықтарында жететін болса, онда бұл функционал
  параметрінің функциясына айналады да, өзінің экстремумына функционалдың
 параметрінің функциясына айналады да, өзінің экстремумына функционалдың
  бойынша туындысының
 бойынша туындысының
  мәнінде жетеді. Демек, экстремумға жетудің қажетті шарты
 мәнінде жетеді. Демек, экстремумға жетудің қажетті шарты
  түрінде жазылатын болады. Бұл туынды функционалдың вариациясы деп аталады да,
 түрінде жазылатын болады. Бұл туынды функционалдың вариациясы деп аталады да,
  арқылы белгіленеді:
 арқылы белгіленеді:
Соңғы интегралды 2-ші қосылғыштан бастап бөлшектеп интегралдсақ, онда 2-ші қосылғыш былайша түрленеді:
 
Дәл осылайша 3-қосылғышты екі рет бөліктеп интегралдасақ мынадай нәтиже шығады
 
 Осы ретпен соңғы
  -ші қосылғышты
 -ші қосылғышты
  рет бөліктеп интегралдасақ:
 рет бөліктеп интегралдасақ:
 
 Шекаралық шарттар бойынша функционалдың анықталу аймағының шеткі нүктелерінде
  функциясы мен оның туындыларының вариациялары нольге тең:
 функциясы мен оның туындыларының вариациялары нольге тең:
  . Демек, функционалдың вариациясы былайша анықталады:
 . Демек, функционалдың вариациясы былайша анықталады:
 
 Функционалға экстремум беретін
  функциясында функционалдың вариациясы
 функциясында функционалдың вариациясы
  болатыны белгілі. Олай болса, негізгі лемманы қолданып мына тепе-теңдікті аламыз:
 болатыны белгілі. Олай болса, негізгі лемманы қолданып мына тепе-теңдікті аламыз:
 .
 .
 Демек, экстремум беретін
  функциясы мына теңдеудің шешімі болады:
 функциясы мына теңдеудің шешімі болады:
 .
 .
  
Бұл дифференциалдық теңдеу Эйлер-Пуассон теңдеуі деп аталады. Ал, оның интегралдық қисықтары вариациялық есептің экстремалдары деп аталады.
Мысал.
 Equation. 3 функционалының экстремалы
 Equation. 3 функционалының экстремалы
шекаралық шарттардан анықталсын.
 Эйлер-Пуассон теңдеуі
  түрінде жазылып,
 түрінде жазылып,
  түрге келеді. Алынған
 түрге келеді. Алынған
  дифференциалдық теңдеудің жалпы шешімі
 дифференциалдық теңдеудің жалпы шешімі
  түрде алынады. Шекаралық шарттардан белгісіз тұрақтылардың
 түрде алынады. Шекаралық шарттардан белгісіз тұрақтылардың
  болатынын анықтаймыз. Демек, дифференциалдық теңдеудің шешімі
 болатынын анықтаймыз. Демек, дифференциалдық теңдеудің шешімі
  түзуі түрінде алынады.
 түзуі түрінде алынады.
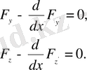
Екі функция мен олардың жоғары ретті туындыларына тәуелді функционалдар
 Егер функционал
  түрінде берілсе, онда
 түрінде берілсе, онда
  функциясын өзгеріссіз қалдырып
 функциясын өзгеріссіз қалдырып
  функциясын вариациялаймыз. Бұл кезде функционалға экстремум беретін
 функциясын вариациялаймыз. Бұл кезде функционалға экстремум беретін
  және
 және
  функциялары келесі Пуассон теңдеуін қанағаттандыруы керек:
 функциялары келесі Пуассон теңдеуін қанағаттандыруы керек:
 Сол сияқты,
  функциясын тұрақты сақтап,
 функциясын тұрақты сақтап,
  функциясын вариацияласақ, Эйлер-Пуассон теңдеуі былайша жазылады.
 функциясын вариацияласақ, Эйлер-Пуассон теңдеуі былайша жазылады.
 .
 .
 Осылайша алынған теңдеулер жүйесін шешу арқылы экстремалдық беттен
  өрнектерін аламыз.
 өрнектерін аламыз.
Жалпы жағдайда, функциялар саны екіден көп болса
 
 функционалының экстремумын табу үшін кез-келген
  функциясын вариациялап, қалған функцияларды өзгертпей қалдыру арқылы Эйлер-Пуассон теңдеулерінің келесі жүйесін аламыз:
 функциясын вариациялап, қалған функцияларды өзгертпей қалдыру арқылы Эйлер-Пуассон теңдеулерінің келесі жүйесін аламыз:
 
 .
 .
№ 7 лекция.
Бірнеше тәуелсіз айнымалылардың функцияларының
функционалдары.
 
 функционалын экстремумға зерттейік. Вариациялық есепте
 функционалын экстремумға зерттейік. Вариациялық есепте
  
 функциясының
 функциясының
  аймағының
 аймағының
  шекарасындағы мәндері, демек, барлық мүмкін беттер өтетін кеңістіктегі
 шекарасындағы мәндері, демек, барлық мүмкін беттер өтетін кеңістіктегі
  контуры берілген. Жазбаларды қысқарту үшін мынадай
 контуры берілген. Жазбаларды қысқарту үшін мынадай
  белгілеулерді енгізейік. Интеграл астындағы
 белгілеулерді енгізейік. Интеграл астындағы
  функциясы үш рет, ал экстремум беретін беттің
 функциясы үш рет, ал экстремум беретін беттің
  функциясы екі рет дифференциялданатын болсын. Енді, тағы да бір параметрлік
 функциясы екі рет дифференциялданатын болсын. Енді, тағы да бір параметрлік
  беттер жинағын қарастырамыз. Бұл жерде
 беттер жинағын қарастырамыз. Бұл жерде
  , ал
 , ал
  функциясы
 функциясы
  параметрінің
 параметрінің
  мәнінде экстремум беретін
 мәнінде экстремум беретін
  функциясын, ал
 функциясын, ал
  мәнінде кез келген бір
 мәнінде кез келген бір
  салыстыру бетін береді. Демек,
 салыстыру бетін береді. Демек,
  жинағында функционал
 жинағында функционал
  параметрінің функциясына айналады. Бұл функцияның
 параметрінің функциясына айналады. Бұл функцияның
  болғанда экстремумға жету шарты былайша жазылады:
 болғанда экстремумға жету шарты былайша жазылады:
.
 Бұл туындыны
  функционалының вариациясы деп атап,
 функционалының вариациясы деп атап,
  арқылы белгілейді. Туындыны ашып жазсақ:
 арқылы белгілейді. Туындыны ашып жазсақ:
 
Бұл жерде
,
,
.
Бірақ
,
 
болғандықтан, алынған нәтижені өзара қосып интегралдасақ
 
 Бұл жерде
  шамалары
 шамалары
  пен
 пен
  бойынша алынған толық дербес туындылар деп аталады. Мысалы:
 бойынша алынған толық дербес туындылар деп аталады. Мысалы:
  есептелінгенде
 есептелінгенде
  тұрақты деп есептеліп,
 тұрақты деп есептеліп,
  бойынша туынды алынады:
 бойынша туынды алынады:
.
 Енді
  тұрақты деп есепеп,
 тұрақты деп есепеп,
  бойынша туынды алсақ:
 бойынша туынды алсақ:
.
 Енді белгілі
  Грин формуласын қолдансақ
 Грин формуласын қолдансақ
 теңдігін аламыз.
 теңдігін аламыз.
 Соңғы интеграл нолге теңеседі, себебі барлық мүмкін беттер кеңістіктегі
  контуры арқылы өтетін болғандықтан
 контуры арқылы өтетін болғандықтан
  контурында функционалдың вариациясы нолге тең болады. Демек,
 контурында функционалдың вариациясы нолге тең болады. Демек,
  болады да, соңғы интеграл нолге айналып кетеді. Олай болса
 болады да, соңғы интеграл нолге айналып кетеді. Олай болса
 .
 .
Сонымен, функционалдың вариациясының
шарты енді былайша түрге енеді
.
 Экстремалдык беттің
  варияциясы еркін таңдалады, оған тек үздіксіз болу, дифференциялдану және
 варияциясы еркін таңдалады, оған тек үздіксіз болу, дифференциялдану және
  контурында нолге айналу шарттары қойылады. Ал, бірінші көбейткішке вариациялық есептеудің негізгі леммасын қолдансақ
 контурында нолге айналу шарттары қойылады. Ал, бірінші көбейткішке вариациялық есептеудің негізгі леммасын қолдансақ
болуы керек.
 Демек, экстремалдық
  функциясы дербес туындылы, екінші ретті дифференциалдық теңдеудің шешімі болады. Бұл теңдеу
 
  Остроградский теңдеуі
 
 деп аталады.
 функциясы дербес туындылы, екінші ретті дифференциалдық теңдеудің шешімі болады. Бұл теңдеу
 
  Остроградский теңдеуі
 
 деп аталады.
1-ші мысал:
 
 функционалы үшін Остроградский теңдеуін алайық. Функционалға экстремум беретін
  функциясының
 функциясының
  аймағының
 аймағының
  контурындағы мәні
 контурындағы мәні
  белгілі. Бұл жерде интеграл астындағы функция
 белгілі. Бұл жерде интеграл астындағы функция
  түрінде берілген. Енді Остроградский теңдеуінің құрамындағы шамаларды есептейік:
 түрінде берілген. Енді Остроградский теңдеуінің құрамындағы шамаларды есептейік:
Алынған мәндерді Остроградский теңдеуіне қойсақ, дербес туындылы, екінші ретті біртекті дифференциалдық теңдеу аламыз:
.
 Бұл теңдеу
 
  Лаплас теңдеуі
 
 деп аталады. Лаплас теңдеуінің
  контурындағы шекаралық шартқа сәйкес болатын үздіксіз шешімін табу математикалық физика ғылымындағы негізгі есептердің бірі. Бұл есеп
 
  Дирихле есебі
 
 деп аталады.
 контурындағы шекаралық шартқа сәйкес болатын үздіксіз шешімін табу математикалық физика ғылымындағы негізгі есептердің бірі. Бұл есеп
 
  Дирихле есебі
 
 деп аталады.
2 -ші мысал:
Енді функционал
 
 түрінде берілсін. Функционалға экстремум беретін
  функциясының
 функциясының
  аймағының
 аймағының
  контурындағы мәні
 контурындағы мәні
  белгілі. Бұл жерде интеграл астындағы функция
 белгілі. Бұл жерде интеграл астындағы функция
  түрінде берілген. Бұл кезде Остроградский теңдеуі
 түрінде берілген. Бұл кезде Остроградский теңдеуі
түрінде алынады да, Пуассон теңдеуі деп аталады. Пуассон теңдеуі де математикалық физика есептерінде жиі қолданылады.
№ 8 лекция.
Бірнеше айнымалыға тәуелді функцияның және оның
туындыларының функционалдары
 
- Іс жүргізу
- Автоматтандыру, Техника
- Алғашқы әскери дайындық
- Астрономия
- Ауыл шаруашылығы
- Банк ісі
- Бизнесті бағалау
- Биология
- Бухгалтерлік іс
- Валеология
- Ветеринария
- География
- Геология, Геофизика, Геодезия
- Дін
- Ет, сүт, шарап өнімдері
- Жалпы тарих
- Жер кадастрі, Жылжымайтын мүлік
- Журналистика
- Информатика
- Кеден ісі
- Маркетинг
- Математика, Геометрия
- Медицина
- Мемлекеттік басқару
- Менеджмент
- Мұнай, Газ
- Мұрағат ісі
- Мәдениеттану
- ОБЖ (Основы безопасности жизнедеятельности)
- Педагогика
- Полиграфия
- Психология
- Салық
- Саясаттану
- Сақтандыру
- Сертификаттау, стандарттау
- Социология, Демография
- Спорт
- Статистика
- Тілтану, Филология
- Тарихи тұлғалар
- Тау-кен ісі
- Транспорт
- Туризм
- Физика
- Философия
- Халықаралық қатынастар
- Химия
- Экология, Қоршаған ортаны қорғау
- Экономика
- Экономикалық география
- Электротехника
- Қазақстан тарихы
- Қаржы
- Құрылыс
- Құқық, Криминалистика
- Әдебиет
- Өнер, музыка
- Өнеркәсіп, Өндіріс
Қазақ тілінде жазылған рефераттар, курстық жұмыстар, дипломдық жұмыстар бойынша біздің қор #1 болып табылады.
 
            
                Ақпарат
Қосымша
Email: info@stud.kz
 
 
 
 
 
 
 
 
 
 
 
 
 
 
 
 
 
 
 
 
 
 
 
 
 
 
 
 
 
 
 
 
 
