Математикалық функциялар жайлы


ЖҰП ЖӘНЕ ТАҚ ФУНКЦИЯЛАР
Анықтама. Егер М жиынының құрамына кез келген х санымен бірге оған симметриялық - х саны да кірсе, ол М жиыны симметриялық жиын деп аталады.
Симметриялық жиындарға мысалдар: барлық бүтін сандар жиыны, [-5, +5] сегментіндегі барлық сандардың жиыны, (-b, +b) интервалындағы барлық сандардың жиыны.
Анықтама. Егер f(х) симметриялық облыста берілсе және сол облыстағы аргумент x-тін, кез келген мәні үшін
f(-x) =f(x) (1)
теңдігі орындалса, f (х) сол симметриялық облыста жұп функция деп аталады.
Басқаша айтқанда: егер аргументтің мәні х-ті -х - ке ауыстырғанда f(x) -тің мәні өзгермейтін болса, f( х) -ті жұп функция деп атайды.
М ы с а л ы: у = sес x;
у = х
2n
(бұндағы
n
- натурал сан),
у = 2х
4
- 5х
2
-
3;
у = 2 -
sіn
2
х;
функциялары
интервалында жүп функциялар.
Енді f (х) = ln(1- х) + ln (1 +х) функциясы өзінің анықталу облысында жұп функция екенін көрсетелік.
Шынында, берілген f (х) функциясы (-1, +1) интервалында анықталған.
F(-x) =ln[1-(-x) ] +ln[1+(-x) ] =ln(1+x) +ln(1-x) =f(x) .
Демек, f (-х) =f(х) болады, яғни берілген функция (-1, + 1) интервалында жұп функция.
Жұп функцияның графигі ординаталар осіне симметриялық түрде орналасатындығын f( -х) =f(х) теңдігінен көруге болады.
Анықтама. Егер f( х) симметриялық облыста беріліп, облыстағы аргумент x-тің кез келген мәні үшін
f (-х) = - f(х) . (2)
теңдігі орындалса, яғни аргументтің таңбасы кері таңбаға ауысқанда функцияның да таңбасы кері таңбаға ауысса, f(x) сол облыста тақ функция деп аталады.
М ы с а л ы: у=х 3 ; у=7х 5 - 2х 3 + х; у=сosес х; у=х 2n-1
(бұндағы n -натурал сан) ; y=
Equation. 3 ; у=
х
x ;
у = сtgх
функциялары тақ функциялар.
Енді g
(х)
=ln
Equation. 3 өзінің анықталу облысында тақ функция екенін көрсетелік.
Шынында: бұл функцияның анықталу облысы (-1, + 1) интервалы. Ал
g(-x) =ln
Equation. 3 =ln
Equation. 3 =ln(1-x) -ln(1+x) =
=- [ln(1+x) -ln(1-x) ] =-ln
Equation. 3 =-g(x),
яғни g (-х) = -g(х) . Демек, берілген функция g(x) (-1, +1) интервалында тақ функция болады. Тақ функцияның графигі координаталар системасының бас нүктесіне симметриялық түрде орналасады.
Сөйтіп, егер тақ функция х=0 нүктесінде анықталған болса, функцияның ол нүктедегі мәні нольге тең. Бұдан х = 0 нүктесінде анықталған тақ функцияның графигі міндетті түрде координаталар системасының бас нүктесі арқылы өтетіндігіне көзіміз жетеді.
Периодты функциялар
Анықтама. Егер f(х) функциясының анықталу облысындағы аргумент х-тің әрбір мәні үшін f(x+L) =f(x) (1)
теңдігі орындалатын нольге тең емес L саны табылатын болса, f(х) - периодты функция, L саны - f(х) -тің периоды деп аталады.
Егер (1) теңдікті х + l нүктесі үшін қолдансақ,
f[( х+l) +l] =f(x+l) =f(x), немесе
f(x+2l) =f(x)
болар еді. Бұл процесті соза берсек, мына теңдіктер орындалар еді:
F(х+3l) =f(х) .
f(х+4l) =f(х),
F(х+nl) =fх)
. .,
Сонымен, егер периодты f(
х)
функциясының анықталу облысында
х
болса,
х + nl
сандары да
(n
- кез келген натурал сан) f(х) -тің анықталу облысында болады және
nl
сандары f(x) -тің периодтары болады. Периоды L-ге тең функция
f(х)
үшін
f(х) =f[(х-I) +l]
теңдігі де орындалатын болғандықтан, ( -L) саны да
f(х) -тің
периоды болады. Сондай-ақ жоғарыдағыша байымдап тек
саны ғана емес, -
2l, -3l,
. . . ,
-nl
сандарының да
f(х)
үшін периодтар болатындығын байқау қиын емес.
Сөйтіп, егер
f(х)
-периодты функция болып, оның периоды
болса, k
l
(бұндағы k
-
кез келген нольге тең емес бүтін сан,
k=±1, ±2\
. . . ;
±nl)
сандары да f(x) -тің периодтары болатыны айқындалады.
Демек, егер
f(х) (-
, +
) интервалында периодты функция болса, ол функцияның міндетті түрде оң периоды болуға тиіс, өйткені
және
сандарының бірі оң сан болатыны анық. Сондықтан да (-
, +
) интервалындағы периодты функцияның оң периодтары сансыз көп. Оң периодтарының жиынында ең кіші
ω
саны болуы мүмкін. Бұл санды ең кіші период немесе негізгі период деп атаймыз.
Периодты функцияларға мысалдар келтірейік.
1) Тригонометриялық функциялар:
sinx, cosx, tgx, ctgx.
sinx пен соsx-тің ең кіші (немесе негізгі) периоды 2π, ал tgx пен сtgх-тің периоды π .
2) f
(х) =х-Е (х)
функциясы (-
, +
) интервалында - периодты функция және оның негізгі периоды 1.
Ш ы н ы н д а:
f(x+1) ) =x+1-E(x+1) =x+1-[E(x) +
] = x-E(x) =f(x),
яғни
f(x+1) =f(x) .
Элементар функциялар. Кері функция. Күрделі функция.
Параметрлі түрде берілген функция.
Бір аргументті функциялардың ішінде элементарлық функциялар деп аталатындары әдейі бір топқа бөлінеді. Олардын, бұлай аталуының себебі: олар басқа элементарлық емес функциялардан тарихта бұрын шықкан, жан-жакты зерттелген, кұрылысы біркелкі қарапайым болып келеді, және жиі колданылады.
Элементарлык. емес функцияларды көбінесе арнаулы ф у н к ц и я л а р деп атап жүр. Бұл функциялар математика ғылымының дамуындағы соңғы дәуірлерде кұбылыстардың математикалық жактарын зерттеу мәселелері элементарлық функциялардың мүмкіншіліктері шеңберіне симаумен байланысты пайда болды.
Элементарлык функцияларға төмендегі функциялар жатады:
- Дәрежелікфункцияf (х) =ха(бұндағыа- кез келгеннақты сан) ;
- Көрсеткіштікфункцияф(х) =ах(бұнда а>0) ;
- Логарифмдікфункцияф(х) =lgах(бұнда а>0) ;
- sіnx:, соsх, tgх, сіgх, sесх, соsесх;
5. Кері тригонометриялық функциялар агсsіпх, агссоsх,
агссtgx, агсsесх, агссоsесx
Ескерте кететін бір нәрсе мынау: элементарлық функцияларға алты алгебралық амалды (қосу, азайту, көбейту, бө-лу, бутін оң дәрежеге шуғару және түбірлеу) қолдану.
Барлық элементарлық функцияларды екі типке бөлуге болады:
- Алгебр алық функциялар.
- Трансценденттік функциялар.
Элементарлық алгебралық функциялар мынадай кластарға бөлінеді:
- Рационалдық функциялар.
а) Бүтін рационалдық функциялар.
б) Бөлшек рационалдық функциялар.
2. Иррационалдық функциялар.
Анықтама
. Егер
функциясы дәреже көрсеткіші терім емес бүтін сан болатын және коэффициенттері нақты сандар ғана болып келетін айнымалы
тің дәрежелерінің қосындысы
түріне келтірілетін болса,
- бүтін рационалдық функция деп аталады.
Анықтама
. Егер
функциясыекі бүтін рационалдық функцияның қатынасы түріне келтірілетін болса, ол бөлшек рационалдық деп аталады.
Демек, бөлшек рационалдық функцияның жалпы түрі мынадай болатын болды:
Бұдан
Бөлшек рационалдық функцияларға мысалдар:
,
.
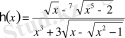
Егер рационалдық функцияларға түбірлеу амалын колдансақ, иррационалдық функция пайда болады; оған мын а төмендегі мысалдарды келтіре кетейік:
,
,
Анықтама. Егер у=f (х) функциясы
- Іс жүргізу
- Автоматтандыру, Техника
- Алғашқы әскери дайындық
- Астрономия
- Ауыл шаруашылығы
- Банк ісі
- Бизнесті бағалау
- Биология
- Бухгалтерлік іс
- Валеология
- Ветеринария
- География
- Геология, Геофизика, Геодезия
- Дін
- Ет, сүт, шарап өнімдері
- Жалпы тарих
- Жер кадастрі, Жылжымайтын мүлік
- Журналистика
- Информатика
- Кеден ісі
- Маркетинг
- Математика, Геометрия
- Медицина
- Мемлекеттік басқару
- Менеджмент
- Мұнай, Газ
- Мұрағат ісі
- Мәдениеттану
- ОБЖ (Основы безопасности жизнедеятельности)
- Педагогика
- Полиграфия
- Психология
- Салық
- Саясаттану
- Сақтандыру
- Сертификаттау, стандарттау
- Социология, Демография
- Спорт
- Статистика
- Тілтану, Филология
- Тарихи тұлғалар
- Тау-кен ісі
- Транспорт
- Туризм
- Физика
- Философия
- Халықаралық қатынастар
- Химия
- Экология, Қоршаған ортаны қорғау
- Экономика
- Экономикалық география
- Электротехника
- Қазақстан тарихы
- Қаржы
- Құрылыс
- Құқық, Криминалистика
- Әдебиет
- Өнер, музыка
- Өнеркәсіп, Өндіріс
Қазақ тілінде жазылған рефераттар, курстық жұмыстар, дипломдық жұмыстар бойынша біздің қор #1 болып табылады.

Ақпарат
Қосымша
Email: info@stud.kz