Көрсеткіштік функция, оның қасиеттері және графигі


Көрсеткіштік функция, оның қасиеттері және графигі
Дәреже, дәреженің негізі мен көрсеткіші, функция, функцияның қасиеттері, функцияның графигі.
Тақырыпты игере отырып, көрсеткіштік функциясының не екенін, көрсеткіштік функцияның қасиеттері мен графигін білетін боласыңдар, көрсеткіштік функцияның қасиеттерін қолданып есептер шығаруға және графигін салуды үйренесіңдер.
Ғылым мен техниканың көптеген салалырында әр түрлі құбылыстар мен процестердің қарастырылғанда, процестерді сипаттайтын екі айнымалы шаманың арасындағы функционалдық тәуелділік байқалады. Осыған бірнеше мысалдар келтірейік:
1) теңіз деңгейімен салыстырғанда һ биіктіктің артуына қарай р атмосфералық қысым p=p 0 a h заңы бойынша өзгереді, мұндағы р 0 - теңіз деңгейіндегі қысым, а - тұрақты шама;
2) ағаш А=А 0 а rt заңдылығына сәйкес өседі, мұндағы t - уақыт, А 0 - ағаштың бастапқы саны, А - уақыт өтуіне қарай м 3 - пен өрнектелетін ағаш санының өзгерісі;
3) радийдың ыдырауы x=x 0 a rt заңдылығына сәйкес өтеді, мұндағы х 0
саны t = 0 болғандағы радий атомдарының бастапқы саны, а және R - тұрақты сандар.
Келтірілген мысалдардағы процестер органикалық өсу процесіне жатады. Органикалық өсу процесін сипаттайтын айнымалылардың физикалық мағынасынан ауытқып, оларды х және у әріптерімен белгілесек, онда кез келген органикалық өсу мына функцияны береді:
Осындай функцияның С = R = 1 болғандағы қарапайым түрін y= a x функциясын қарастырайық.
Анықтама.
түрінде берілген функция көрсеткіштік функция деп аталады.
Анықтаманың тұжырымдамасында берілген төмендегі ұйғарымдарға назар аудару қажет:
1) а негізгі 1 санына тең болмауы керек
өйткені a = 1 болғанда, а
х
дәрежесінің мәні 1 санына тең болып, х айнымалысына тәуелді болмайды;
45-сурет
2) а негізі оң сан болуы керек (а > 0), себебі а < 0 болғанда, х-тің кез келген мәні үшін дәрежесі нақты сан болмайды. Мысалы,
а =
-3 және
болғанда,
а
х
дәрежесі мына түрге келеді:
, ал бұл нақты сан емес;
3) а негізі бөлшек болған жағдайда а х дәрежесі қандай да бір дәрежедегі түбірді білдіреді, онда түбір мәндерінің ішінен тек қ ана арифметикалық түбір алынады.
Көрсеткіштік функцияның қасиеттері мен графигін қарастырайық.
Анықтама
бойынша
және
а >
0, онда х-тің кез келген нақты мәнінде
а
х
>
0, сондықтан көрсеткіштік функиияның графигі абсцисса осінің жоғарғы бөлігінде орналасқан. Осыған көз жеткізу үшін
функциясының графигін
және 0
<а<
1 жағдайлары үшін қарастыруға болады.
- а >1 болғанда, а= 2жәнеа =10 деп алып, у = 2Хжәнеу =10хфункцияларының графиктерін салайық (45. 1-сурет) .
- 0 <а<1 болғанда, жәнедеп алайық және
және
функцияларының графиктерін салайық (45. 2-сурет) .
Осы графиктерден көрсеткіштік функциялардың келесі қасиеттерін көруге болады:
- у=ах, а>0 функциясының анықталу облысы барлықнақты сандар жиыны;
- барлықу=а" (а > 1 немесе0 <а <1 екеніне тәуелсіз) графиктері (0; 1) нүктесінен өтеді;
- а> 1 болғанда, көрсеткіштік функция барлық нақты сандаржиынында өспелі жәнех >0 болса, ондаах> 1, алх <0 болса, онда ах<1;
0 < а < 1 болғанда, көрсеткіштік функция барлық нақты сандар жиынынла кемімелі және х < 0 болса, оида а х > 1, ал х > 0 болса, онда а х < 1;
46-сурет
4) егер а > 1 болса, онда а-ның артуына байланысты у = а х функциясының графигі тез өседі (у = 2' жөне у = 10 х функцияла рының графиктерін салыстырыңдар) ;
егер 0 < а <1 болса, онда а-ның кемуіңе байланысты у =а х
функциясының графигі тез кемиді
функция-
ларынын графиктерін салыстырындар) .
және
функцияларының графиктерін салыстырыңдар) .
а > 1 және 0 < а < 1 жағдайлары үшін у = а 1 " функциясы графиктерінің жалпы түрі 46. 1, 2-суретте берілген.
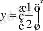
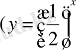
1-мысал.
функциясының анықталу облысын табайық-
Ш е ш у і. у = а х көрсеткіштік функциясы Е барлық нақты сандар
жиынында анықталатыны белгілі. Бірақ берілген жағдайла дәреже
көрсеткішіның бөлімі нөлге тең болуы мүмкін емес. Сондықтан
функциясының анықталу облысы екі аралықтын бірігуі
болып табылады:
.
Жауабы:
. 2-м ы с а л. Көрсеткіштік функцияның бірсарындылық қасиетін
пайдаланып
теңсіздігінің дұрыс екенін анықтайық.
Шешуі. Берілген теңсіздік дұрыс, себебі
жағдайында
у = а х көрсеткіштік функциясының мәні аргументтің мәні өскен сайын кемиді.
3-мысал. у = 3 х және у = х + 2 функцияларының графиктері неше нүктеде қиылысатынын анықтайық.
Шешуі. Бір координаталық жазықттық у = 3 х және у = х + 2 функцияларының графиктерін салайық (47-сурет) . Суреттен көріп отырғанымыздай, берілген функциялардың графиктері А және В нүктелерінде қиылысады.
... жалғасыЖауабы: екі нүктеде қиылысады.
- Іс жүргізу
- Автоматтандыру, Техника
- Алғашқы әскери дайындық
- Астрономия
- Ауыл шаруашылығы
- Банк ісі
- Бизнесті бағалау
- Биология
- Бухгалтерлік іс
- Валеология
- Ветеринария
- География
- Геология, Геофизика, Геодезия
- Дін
- Ет, сүт, шарап өнімдері
- Жалпы тарих
- Жер кадастрі, Жылжымайтын мүлік
- Журналистика
- Информатика
- Кеден ісі
- Маркетинг
- Математика, Геометрия
- Медицина
- Мемлекеттік басқару
- Менеджмент
- Мұнай, Газ
- Мұрағат ісі
- Мәдениеттану
- ОБЖ (Основы безопасности жизнедеятельности)
- Педагогика
- Полиграфия
- Психология
- Салық
- Саясаттану
- Сақтандыру
- Сертификаттау, стандарттау
- Социология, Демография
- Спорт
- Статистика
- Тілтану, Филология
- Тарихи тұлғалар
- Тау-кен ісі
- Транспорт
- Туризм
- Физика
- Философия
- Халықаралық қатынастар
- Химия
- Экология, Қоршаған ортаны қорғау
- Экономика
- Экономикалық география
- Электротехника
- Қазақстан тарихы
- Қаржы
- Құрылыс
- Құқық, Криминалистика
- Әдебиет
- Өнер, музыка
- Өнеркәсіп, Өндіріс
Қазақ тілінде жазылған рефераттар, курстық жұмыстар, дипломдық жұмыстар бойынша біздің қор #1 болып табылады.

Ақпарат
Қосымша
Email: info@stud.kz