Жасанды жер серіктерінің қозғалыс орбиталары


Жоспар
I Кіріспе
II Негізгі бөлім
- Жердің жасанды серігі
- Жердің жасанды серіктерінің қозғалысы
- Байқоңыр ғарыш алаңы
- Байқоңырдан алғашқы жер серігінің ұшырылуы
III Қорытынды
IV Пайдаланылған әдебиеттер
Кіріспе
Жердің жасанды серігі - аспан кеңістігінде өзінің белгіленген орбитасы бойымен қозғала ұшатын ғарыш аппараты.
Әдетте, жасанды серіктер жерді эллипс пішіндегі орбита арқылы айнала ұшып жүреді. Орбитаның мұндай түрі ғылыми тілде геоцентрлік орбита деп аталады.
“Жердің жасанды серігі” мен “Жердің серігі” деген атаулар мүлдем бөлек. Алғашқысы адам қолымен жасалатын ғарыш аппараты болса, екіншісі - Жер планетасының табиғи серігі - Ай.
Жердің жасанды серіктері ғылыми-зерттеу жұмыстарына, әскери мақсаттарға, коммерциялық мақсаттарға (телекоммуникациялық қызметтер) кеңінен пайдаланылады. Рас, әуесқой мамандардың немесе студенттердің жасаған тәжірибелік мақсаттағы аппараттары да бар. Бірақ ондай Жердің жасанды серіктері айтарлықтай маңызды тапсырмаларды орындамайды.
Адамзат тарихындағы ең алғашқы жасанды жер серігі КСРО-да жасалған “Спутник-1″ ғарыш аппараты болды. Ол 1957 жылы 4 қазанда қазақ жерінде орналасқан “Байқоңыр” ғарыш айлағынан “Спутник” зымыранына (ракета) тиеліп ұшырылды.
Ең алғашқы жердің жасанды серігі
Геостационарлық орбита бойынша Жердің жасанды серігінің қозғалысы
1. 1 Жердің жасанды серігі
Жердің жасанды серігі (ЖЖС) - Жер төңірегіндегі орбитаға шығарылып, әр түрлі ғылыми және қолданбалы мәселелерді шешуге арналған ғарыштық аппарат. Дүние жүзіндегі ең тұңғыш ЖЖС КСРО-да 1957 жылы 4 қазанда ұшырылды. 1958 жылы 1 ақпанда орбитаға тұңғыш америкалық ЖЖС - “Эксплорер-1” шығарылды. Кейінірек өз ЖЖС-терін басқа елдер: 26. 11. 1965 - Франция (“А-1” серігі), 11. 2. 1970 - Жапония (“Осуми”), 24. 4. 1970 - Қытай (“4 айна-1”), 28. 10. 1971 - Ұлыбритания (“Просперо”), 18. 7. 1980 - Үндістан (“Рохини”) ұшыра бастады. Канада, Франция, Италия, Ұлыбритания, т. б. елдерде жасалған кейбір серіктер 1962 жылдан бастап америкалық тасығыш ракеталардың көмегімен ұшырылды. Кеңестік тасығыш ракеталардың көмегімен Үндістан, Франция, Чехословакия, т. б. елдердің ЖЖС-тері орбитаға шығарылды. ЖЖС-ті тасығыш ракетаның көмегімен орбитаға шығару үшін оған бірінші ғарыштық жылдамдыққа тең (қ. [Ғарыштық ЖылдамдықтарҒарыштық жылдамдықтар) немесе одан артық (бірақ 1, 4 еседен асып кетпейтін) жылдамдық берілуі тиіс. ЖЖС-тің ұшуының төменгі биіктігі (орбитаның перигейінде) 140 - 150 км (атмосферада жылдам тежелуден сақтану үшін), жоғарғы биіктігі (орбитаның апогейінде) бірнеше жүздеген мың км-ге дейін. ЖЖС-тің жерді бір айналып шығу уақыты оның ұшу орбитасының орташа биіктігіне байланысты және 1, 5 сағаттан бірнеше тәулікке созылады. Экватор жазықтығына жақын жатқан экваторлық орбитаға шығарылған ЖЖС экваториалдық ЖЖС, ал Жердің полюстері маңынан өтетін полярлық (немесе поляр маңындағы) орбитадағы ЖЖС полярлық ЖЖС деп аталады. Жер бетінен 35800 км қашықтықтағы экваториалдық орбитаға шығарылып, Жердің айналу бағытымен қозғалатын ЖЖС Жер бетінің бір нүктесінің үстінде “қалқып” тұрады (геостационарлық орбита) . Мұндай ЖЖС-тер стационарлық деп аталады. ЖЖС-тердің ерекше типіне ғарыштық кемелер және герметикалық кабинасында адам өмір сүретін орбиталық стансалар жатады. Халықаралық келісімге сәйкес, егер ғарыштық аппарат Жерді кем дегенде бір рет айналып ұшса, ол ЖЖС деп аталады. Бұл шарт сақталмаған жағдайда ғарыштық аппарат баллистикалық траектория бойымен өлшеулер жүргізген зондылау ракетасы болып саналады және ЖЖС ретінде тіркелмейді. Орбитаға шығар кезінде ЖЖС-тен бөлініп қалатын тасығыш ракетаның соңғы сатылары, бас бөлігіндегі ауа ақтырғыш, т. б. қосалқы орбиталық нысандар болып есептеледі; бұл нысандар Жер төңірегіндегі орбитамен қозғалады; олар бірқатар жағдайларда ғыл. мақсат үшін бақыланатын нысан қызметін атқарғанымен, әдетте, оларды ЖЖС деп атамайды. ЖЖС-тер көмегі арқылы шешілетін мәселелерге байланысты олар ғыл. -зерт. ЖЖС-тері және қолданбалы ЖЖС-тер болып бөлінеді. Егер ЖЖС-те радиотаратқыштар, қандай да бір өлшеуіш аппаратура, жарық сигналдарын беретін импульстық шамдар, т. б. орнатылса оны активті ЖЖС деп атайды. Аталған жабдықтардың ешқайсысы жоқ, тек кейбір ғыл. мәселелерді шешу үшін жерден бақыланатындары (мұндай ЖЖС-тер қатарына диаметрі бірнеше ондаған м-ге жететін ЖЖС-баллондар жатады) пассивті деп аталады. ұылыми-зерттеу ЖЖС-тері Жерді, басқа аспан денелерін, ғарыштық кеңістікті зерттеуге, ғарыштық кеңістікте биологиялық, т. б. зерттеулер жүргізу үшін қызмет атқарады. ЖЖС-тің бортында орналастырылған аппаратура, сондай-ақ, ЖЖС-ті жер бетіндегі станциялардан бақылау астрономиялық, геодезиялық, биологиялық, геофизикалық және арнайы зерттеулер жүргізуге мүмкіндік береді. ұыл. -зерт. ЖЖС-теріне алғашқы кеңестік “Электрон”, “Протон”, “Космос” сериялы ЖЖС-тер, америкалық “Авангард”, “Эксплорер”, “ОГО”, “ОСО”, “ОАО” (геофизикалық, күндік, астрономиялық обсерваториялар) сериялы ЖЖС-тер; ағылшын ЖЖС-і - “Ариэль”, француз ЖЖС-і - “Диадем”, т. б. жатады.
- Жердің жасанды серіктерінің қозғалысы
Жасанды серіктердің қозғалысы
- Бүгінгі таңда бірнеше мыңдаған жасанды серіктер Жерді айналуда. Зымырандардың көмегімен белгілі бір орбитаға шығарылған серіктер сол алған жылдамдығы есебінен орбиталар бойымен қозғалады. Жасанды серіктердің қозғалысы денелердің ауырлық күші әрекетінен қозғалуының маңызды әрі ерекше жағдайы болып табылады. Денелердің ауырлық күшінің әрекетінен қозғалуының қарапайым түрі - денелердің Жер бетіне вертикаль бағытта нөлге тең бастапқы жылдамдыкпен еркін түсуі. Бұл кезде дене Жердің центріне қарай
g
еркін түсу үдеуімен қозғалады. Егер дененің бастапқы жылдамдығы нөлден үлкен болса және Жер бетіне жанама бойымен бағытталса, онда дене қисық траектория бойымен қозғалады. Бастапқы жылдамдықтың белгілі бір мәнінде Жер бетіне жанама бойымен лақтырылған дене
(атмосфера болмаған жағдайда)
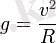
, ауырлық күшінің әрекетінен Жерді айнала дөңгелек орбита бойымен қозғала алады. Бүкіләлемдік тартылыс күші әрекетінен дененің дөңгелек орбита бойымен қозғалысы жүзеге асатын жылдамдық бірінші ғарыштық жылдамдық деп аталады. Жерден ұшатын дене үшін бірінші ғарыштық жылдамдықты аныктайық. Ауырлық күшінің әрекетінен дене Жер айналасында радиусы
R
шеңбер бойымен қозғалсын. Бұл кездегі еркін түсу үдеуі центрге тартқыш үдеу болады, яғни
. Ал бұдан
немесе
Бұл - бірінші ғарыштық жылдамдықтың формуласы. Жердің радиусын 6400 км, ал g = 9, 8 м/c
2
деп алып, осы жылдамдықты есептейік:
Жердің жасанды серіктеріне мұндай жылдамдықты тек қуатты ғарыш зымырандары ғана бере алады.
Егер Жердің жасанды серігінің Жерден
һ
биіктігін ескермеуге болмаса,
һ
биіктіктегі еркін түсу үдеуі
формуласымен анықталады.
Бұл жағдайда бірінші ғарыштық жылдамдықты есептеуге арналған
формула
немесе
түріне ие болады.
формула бойынша кез келген планета серігінің бірінші ғарыштың жылдамдығын есептеуге болады. Мұнда Жер радиусы мен массасы мәндерінің орнына берілген планетаның сәйкес шамаларының мәндері қойылады.
Параболалық траекторияға сәйкес келетін жылдамдық екінші ғарыштық жылдамдық деп аталады.
Жерден ұшатын дене үшін екінші ғарыштық жылдамдықтың мәнін қорытып шығармай аламыз:
Серік мұндай жылдамдықпен парабола бойымен қозғала отырып, Күннің немесе басқа планетаның жасанды серігіне айналады.
мен
арасындағы аралық жылдамдық (
) кезінде серік Жерді созылыңқы эллипс бойымен айнала қозғалады.
Жердің алғашқы жасанды серігі 1957 жылдың 4 қарашасында ұшырылған болатын. Ол жұлдыздардың арасында жылдам қозғалып бара жатқан кішкене жұлдыз сияқты еді. Бүгінгі таңда жасанды серіктердің көмегімен көптеген пайдалы жұмыстар атқарылады, мысалы, Жер төңірегі кеңістігіндегі ғылыми зерттеулер, астрономиялық бақылаулар, байланыс (радио, теледидар), ауа райын болжау, Жердің табиғи қорларын зерттеу және т. б. Планетааралық станциялар Марс пен Шолпанды, Меркурий мен Юпитерді зерттеді. Қазіргі кезде бір станцияның көмегімен бірнеше планеталарды зерттеу жүзеге асырыла бастады. Қазіргі кезде Жерден 36000 км қашықтықтағы экваторлық орбитаға жаңа байланыс серіктері ұшырылады. Мұндай серіктердің Жерді айналу периоды 24 сағатка тең, яғни серік әр уақытта Жер бетінің белгілі бір нүктесінің үстінде болады. Мұндай серіктер телекоммуникацияда (телефондық байланыс, теледидар), дөл уақытты анықтау қызметінде кеңінен қолданылып отыр
- Байқоңыр ғарыш алаңы
«Байқоңыр» ғарыш алаңы Қазақстан Республикасының Қызылорда облысы аумағында орналасқан.
1950-ші жылдары ғарыш алаңын құру алғашқы кеңестік құрлықаралық Р-7 баллистикалық ракетасын жасап шығару қажеттілігімен белгіленген болатын. Оның ұшу қашықтығы 8000 км асып кетті, соған байланысты Кеңес Одағының тұтастай азия бөлігі арқылы шығыс бағытында өтетін жаңа трассаны жабдықтау қажеттігі туындады. Қалдық сатылардың түуі үшін жаңа аумақтар мен жаңа өлшеу пуктілері қажеттігі туындады. Осы ракеталады ұшыру үшін жаңа полигон қажет болды. Осы мәселелерді шешу мақсатында 1950-ші жылдардың басында комиссия құрылды, жаңа полигонға қойылатын талаптар әзірленді және оны құруға елдегі қолайлы аудандар аталды, оның ішінде Калмыкия мен Дагестан да болды. Нәтижесінде жаңа полигонды Қазақстанда, Арал теңізіне жақын, Қазақ КСР Қызылорда облысының Төре-Тамтеміржол бекеті аумағына орналастыру нұсқасы таңдалды. 1955 ж. 12, ақпанда полигон салу туралы КСРО Министрлер Кеңесінің № 292-181 қаулысы қабылданды.
Ғарыш алаңы ауданы 6717 км² және солтүстіктен оңтүстікке дейін ұзындығы - 75 км, батыстан шығысқа дейін - 90 км аумақты алып жатыр. Құрлықаралық екісатылы баллистикалық ракета 8К71 № 5Л -Р-7 типіндегі ракеталар тобының прототипі «Союз» алғашқы ұшыру 1957 ж. 15 мамырында жүзеге асырылды. 8К71 № 6 ракетасын алғашқы сәтті ұшыру 1957 ж. 21 тамызында жүзеге асырылды, ал сол жылдың 4 қазанында ғарыш алаңынан Жердің алғашқы жасанды серігі «ПС-1» алып шыққан 8К71 ПС ракета-тасушысыұшырылды, 1961 жылдың 12 сәуірінде планетамыздың бірінші ғарышкері Ю. А. Гагарин ғарыш кемесімен ғарышқа ұшты. Одан кейінгі жылдары полигонда жеңіл («Циклон-М»), орташа («Союз», «Молния», «Зенит»), ауыр («Протон») және ең ауыр («Энергия») класты ракета-тасушыларды қолданумен ҒА дайындау және ұшыру үшін ұшыру және техникалық кешендер құрылды, сондай-ақ полигонды қамтамасыз ететін инфрақұрылым дами бастады. «Союз» РТ бірінші ұшыру құрылғысы 1957 жылы пайдалануға берілді. Екіншісі, оған ұқсас құрылғы - 1961 жылы берілді. «Циклон-М» РТ екі ұшыру құрылғысы 1967 жылы пайдалануға берілді. «Протон» РТ алғашқы ұшыру құрылғысы 1965 жылы, екіншісі - 1966 жылы және тағы екеуі - 1979 жылы пайдалануға енгізілді. Байқоңырда «Энергия-Буран» кешенін құрумен қатар бір уақытта жерге таяу тірек орбитасына салмағы 15 т пайдалы жүк алып шығуға қабілетті жаңа буынның орташа кластағы «Зенит» ракета-тасушыларынаарналған жер үсті кешені салынды. «Зенит» кешенінің ерекшелігі РТ ұшыруға дайындық процесстерін барынша автоматтандыру болып табылады. «Зенит» РТ ұшыру кешенін бас конструктор В. П. Собольевтің жетекшілік етуімен Көліктік машинажасау конструкторлық бюросы жасап шығарды. ҒА шығару үшін «Рокот» және «Днепр» РТ қайта жабдықталған шахталық ұшыру қондырғылары пайдаланылады. «Рокот» РТ бірінші ұшырылуы 1994 жылы, ал «Днепр» РТ - 2000 жылы жүзеге асырылды. . «Байқоңыр» ғарыш алаңы «МИР» жобасын жүзеге асыруда айтарлықтай рөл атқарды. «МИР» жобасына шамамен 220 ұйым және 80 ғылыми-зерттеу мекемелері қатысты. «Мир» станциясында 104 адам болып қайтты, оның ішінде - 62 шетелдік азамат болды; медицина, биология, техника және астрофизика салаларында 31000 астам тәжірибе жүргізілді, «Прогресс» ғарыштық жүк кемелерімен 64 түйісу, 31 - «Союз» кемелерімен жанасу, ал МИР НАСА 9 бағдарламасы шеңберінде американдық «Шатлдармен» жанасу орындалды. Станцияға 170 тонна түрлі жүктер жеткізілді және Жерге тәжірибе нәтижелерімен 4700 кг астам жүк қайтып оралды. «Энергия-Буран» бағдарламасы бойынша ғарыш алаңында «Энергия» РТ ұшыру үшін ұшыру кешендері құрылды. Бұл 1987 ж. 15 мамырында ғарыш алаңынан «Энергия» жаңа аса қуатты ракета-тасушысын сәтті сынақтық ұшыруға мүмкіндік берді, ал 1988 ж. 15 қарашасында бұл ракета-тасушы ұшқышсыз басқарылатын30-тонналық көп рет қолданылатын «Буран» орбиталық кемесін жерге таяу орбитаға алып шығу үшін пайдаланылған болатын. Бұл керемет тәжірибе осы бағдарламаны жүзеге асыру үшін ғарыш алаңындағы жер үстін зерттеу базасының арқасында жүзеге асырылды. «Энергия-Буран» бағдарламасынан бұрын 1964 жылы КСРО-да бекітілген Н-1тамаша ай бағдарламасы болған. 1969-1972 жж. аралығында 4 Н-1 ракета-тасушысын ұшыру сәтсіз аяқталды. 1976 жылы Н-1 бойынша жұмыстар толығымен тоқтатылды. 90шы жылдардың басында ғарыш алаңында «Энергия-Буран» бағдарламасы бойынша жұмыстар тоқтатылды, нысандар жабылды және олардың кейбіреуі кейін басқа бағдарламалар аясында қолданылды.
КСРО ыдырағаннан кейін «Байқоңыр» ғарыш алаңы қазақстан Республикасының меншігіне өтті және оны Ресей Федерациясы жалға алды. 1990 жылы «Байқоңыр» полигоны атауы «Байқоңыр» ғарыш алаңы болып өзгертілді. Полигонның дамуымен бірге 1955 жылы мамырда іргесі қаланған, әр жылдарда бірнеше атауларға өзгертілген тқрғын үй кешені 1995 жылы Байқоңыр қаласы болып өзгертілді. Байқоңыр қаласының инфрақұрылымына 300 астам тұрғын үй, 6 қалалық қонақүй, госпиталь, қалалық аурухана және т. б. жатады. Қалада бірқатар білім мекемелері бар: 10 астам жалпы білім беретін мектеп, ХЗА филиалы, байланыс техникумы, медучилище және басқа әлеуметтік-тұрмыстық нысандар. Ғарыш кеңістігін зерттеу және пайдалану мақсатында 1957 жылдан бастап қазіргі уақытқа дейін әлемде 4000 астам ракета-тасушыларды (РТ) ұшырылғаны белгілі. Олардың ішінде 2500 астам ұшыру Ресей ғарыш алаңдарында өткізілді. Дегенмен жүк, ағындары бойынша бірінші орында «Байқоңыр» ғарыш алаңы тұр. Жыл сайын ғарышқа Ресейдің барлық ғарыш алаңдарын пайдаланумен шығарылатын пайдалы жүктердің жалпы санының 80% жуығы осы ғарыш алаңынан жүзеге асырылған. 1995 жылдан бастап РТ ұшырулар саны бойынша Ресей ғарыш алаңдарының ішінде «Байқоңыр» ғарыш алаңы алдыңғы қатарда болып отыр. Осы кезеңде оның ұшыру кешендерінен Ресейде жүргізілген жалпы ұшырулар санынан 60% астам РҒТ ұшыру жүзеге асырылған.
2004 жылы Қазақстан Республикасының Президенті Н. Ә. Назарбаев пен Ресей Президенті В. В. Путин«Байқоңыр» ғарыш алаңында «Бәйтерек» ғарыштық ракеталық кешен құру жобасын жүзеге асыруды бастауға тапсырма берді. Ғарыш алаңының пайдаланудан шығарылған ұшыру алаңының орнында бір ұшыру қондырғысынан барлық «Ангара» ракета-тасушылар тобын ұшыруға мүмкіндік беретін әмбебап ұшыру үстелі бар жаңа ұшыру кешені салынып жатыр. Бұл Ресей Федерациясының жалға алған «Байқоңыр» ғарыш алаңының нысандары (ССӘК) құрамынан аталған алаңдарды Қазақстан Республикасының Үкіметі мен Ресей Федерациясының Үкіметі арасында 1994 жылғы 10 желтоқсанда жасалған «Байқоңыр» кешенін жалға алу шартына сәйкес шығару туралы мәселенің көтерілуіне әкеп соқтырады. Тұтастай алғанда, ұлттық ғарыштық бағдарлама шеңберінде Қазақстанның ғарыш тың қызметін белсендіруіне қарай, «Байқоңыр» ғарыш алаңын екі жақты мүддеде пайдалану саласындағы екі достастық мемлекеттің өзара қарым-қатынасы да кеңейіп
келеді.
1. 4 Байқоңырдан алғашқы жер серігінің ұшырылуы
55 жыл бұрын Байқоңырдан алғашқы жер серігі ұшырылды
Астана. 29 тамыз. BAQ. KZ - Биыл Байқоңырдан алғашқы жасанды жер серігінің ұшырылғанына тура 55 жыл толады. 1957 жылдың 4 қазанында аталмыш ғарыш айлағынан Р-7 зымыран тасымалдаушысы әуе кеңістігіне КСРО ғарыш аппаратын алып шыққан болатын. Бұл оқиға тек Кеңес Одағы үшін ғана емес, бүкіл әлем халқы үшін ең үлкен жаңалықтың бірі еді. Осы сәттен бастап адамзат тарихында жаңа кезең басталып, ғарыш саласы жоғары қарқынмен дами бастаған.
Зымыран жер бетінен көтерілгенде біраз ақаулықтар шыққан болатын. Дегенмен, аппарат өз межесіне аман жетіп, жоспарлаған мақсатты орындап шықты. Зымыран тасымалдаушы Жерді 884 рет айналып, сол жылдың 2 желтоқсанында сапарын аяқтаған. Ал, жасанды жер серігінің өзі болса 1958 жылдың 4 қаңтарына дейін жұмыс істеп, планетамызды 1440 рет айналып шықты.
Бұл оқиғаны шетелдік басылымдар мен саясаткерлер жан-жақты талқылады. Мәселен, «Америкэн эвиэйшн» журналы былай жазды: «Кеңес Одағының жер серігін ұшыруы тек ғылыми жетістік қана емес, сондай-ақ, адамзат тарихындағы ұлы жаңалықтардың бірі». Оқиғаға «Ньюсвик» журналының берген бағасы да осындай болатын: «Бұл адамзат баласының бірінші атом бомбасы жарылысынан кейінгі техника саласында қол жеткізген ең үлкен жеңісі».
«Тайм» журналында жарияланған мақала кеңестік ғалымдар үшін өте маңызды еді. Өйткені бұл кезде КСРО ұшырған алғашқы жасанды жер серігін немістер жасап шығарған деген әңгіме әлемде кең тарап кеткен еді. Аталмыш басылым бұған байланысты былай деді: «Жер серігін ұшыру - кеңестік ғылымның жетістігі. Екінші дүниежүзілік соғыстан кейін немістердің КСРО-ға қоныстанғандығы рас (АҚШ-қа да қоныстанған) . Алайда, олардың көпшілігі бүгінде отанына орылған, тағы біразы мұғалім болып қызмет істеп жүр. КСРО-дағы зымыран техникасы соғыс жылдарындағы Германияны басып озды, енді орыстардың өз жолы бар» деген болатын.
Ағылшындық «Манчестер гардиен» газетінің Испаниядағы тілшісі аталмыш басылымға испандықтардың бұл оқиғаға байланысты пікірін білдірген. Мақаланың алғашқы жолы былай басталады: «Генерал Франко режимі Ресеймен қырғи-қабақ соғысын тоқтатады». Ал, Индия премьер-министрі Неру болса «Мұндай керемет жетістікті әскери одақтар ғасырлар бойы күтіп еді. Енді адамзатты сақтау үшін халықаралық саясатты қатаң бақылауға алу керек» деген.
Байқоңыр ғарыш айлағының іргесі 1955 жылы қаланған болатын. Алғашында әскери полигон ретінде салынған нысанның мүмкіндіктерін байқаған КСРО басшылары оны 1957 жылы ғарыш айлағы етті. 4 қазанда ұшырылған жасанды жер серігінен бұрын осы жылдың 15 мамырында Р-7 зымыраны әуеге жіберілген. Алайда, ұшыру жұмыстары сәтсіз өтіп, ғарыш аппараты межелеген жерге жете алмады.
1957 жылдың 2 қарашасында ғарыш айлағынан екінші зымыран да сәтті ұшты. Лайка есімді ит мінген ғарыш кемесі Жер орбитасына шығып, зерттеу жұмыстарын жүргізген.
1991 жылы Қазақстан өз тәуелсіздігін алғаннан кейін Байқоңыр қазақ жерінде қалды. Алайда, ғарыш саласы дамыған Ресей елі нысанды 2050 жылға дейін жалға алған болатын. Ғарыш айлағы үшін орыстар жыл сайын Қазақстанға 5 миллиард теңгеге жуық қаржы төлеп отыр. Ал, жалпы Байқоңыр кешеніне (ғарыш айлағы мен Байқоңыр қаласы) Ресей Федерациясы тарапынан шығатын шығынның көлемі 6, 16 миллиард рубльді құрайды.
- Іс жүргізу
- Автоматтандыру, Техника
- Алғашқы әскери дайындық
- Астрономия
- Ауыл шаруашылығы
- Банк ісі
- Бизнесті бағалау
- Биология
- Бухгалтерлік іс
- Валеология
- Ветеринария
- География
- Геология, Геофизика, Геодезия
- Дін
- Ет, сүт, шарап өнімдері
- Жалпы тарих
- Жер кадастрі, Жылжымайтын мүлік
- Журналистика
- Информатика
- Кеден ісі
- Маркетинг
- Математика, Геометрия
- Медицина
- Мемлекеттік басқару
- Менеджмент
- Мұнай, Газ
- Мұрағат ісі
- Мәдениеттану
- ОБЖ (Основы безопасности жизнедеятельности)
- Педагогика
- Полиграфия
- Психология
- Салық
- Саясаттану
- Сақтандыру
- Сертификаттау, стандарттау
- Социология, Демография
- Спорт
- Статистика
- Тілтану, Филология
- Тарихи тұлғалар
- Тау-кен ісі
- Транспорт
- Туризм
- Физика
- Философия
- Халықаралық қатынастар
- Химия
- Экология, Қоршаған ортаны қорғау
- Экономика
- Экономикалық география
- Электротехника
- Қазақстан тарихы
- Қаржы
- Құрылыс
- Құқық, Криминалистика
- Әдебиет
- Өнер, музыка
- Өнеркәсіп, Өндіріс
Қазақ тілінде жазылған рефераттар, курстық жұмыстар, дипломдық жұмыстар бойынша біздің қор #1 болып табылады.

Ақпарат
Қосымша
Email: info@stud.kz