Шектер теориясы түсінігі


ҚАЗАҚСТАН РЕСПУБЛИКАСЫ БІЛІМ ЖӘНЕ ҒЫЛЫМ МИНИСТРЛІГІ
Қ. А. Ясауи атындағы Халықаралық қазақ-түрік университеті
«Математика» кафедрасы
Курстық жұмыс
Тақырыбы: Шектер теориясы
Орындаған: Шәмшиева Г.
Ғылыми жетекші: Назарова К.
Түркістан 2012
Мазмұны
Кіріспе . . . 3
I тарау: Тізбектің шегі
1. 1 Тізбек шегін анықтау . . . . . . 4
1. 2 Шегі бар тізбектердің қасиеттері . . . 5
1. 3 Ақырсыз кішкене және ақырсыз үлкен тізбектер . . . 6
1. 4 Тізбектің шегі туралы теоремалар . . . 7
1. 5 Теңсіздіктерде шекке көшу . . . 9
1. 6 Бірсарынды тізбектер жинақталуының қажетті және жеткілікті
шарты . . . 10
1. 7 Тізбектің жинақталуының Коши критерийі . . . 11
1. 8 Тізбекшелер. Больцано-Вейерштрасс теоремасы . . . 12
1. 9 Анықталмаған өрнектер . . . 13
II тарау : Функция шегі
- Функция шегінің анықтамасы . . . ……. 14
- Бір жақты шектер . . . 15
- Функцияның шексіздіктегі шегі . . . 16
- Шегі бар функцияның шенелгендігі . . . . . . 17
- Функция шектері туралы теоремалар . . . . . . 18
- Ақырсыз кіші және ақырсыз үлкен функциялар…… . . . . 19
- Функция шегінің бар болуының қажетті және жеткілікті белгісі
(Коши критерийі) . . . . 20
- Бірсарынды функция бар болуының қажетті және
жеткілікті шарты. . 21
2. 9 Көп айнымалы функция шегі . . . 22
Қорытынды . . . 24
Пайдаланылған әдебиеттер. . 25
Кіріспе
Мен өзімнің курстық жұмысымда Шектер теориясы туралы қарастырамыз. Шектердің қазіргі теориясы 19 ғ-дың басында қалыптаса бастады. Шек ұғымы алғаш рет О. Коши еңбектерінде қолданылды. Тізбек пен функция шектерінің теориясы Б. Больцано мен К. Вейерштрасстың еңбектері негізінде қалыптасты.
Егер кез - келген оң
санына сәйкес натурал
саны табылып, барлық
нөмірлері үшін
теңсіздігі орындалса, онда
a
саны
тізбегінің шегі деп аталады және былай жазылады:
Тізбекті жазып берудің жиі қолданылатын тәсілдері мыналар:
1) Аналитикалық тәсіл. Бұл тәсілді қолданғанда n нөмері бойынша тізбектің сәйкес мүшесін табу үшін формула жазылып көрсетіледі.
2) Рекуренттік тәсіл. Бүл тәсілді қолданғанда тізбектің біріншісі беріледі және осы тізбектің белгілі бір немесе бірнеше алғашқы мүшелері бойынша кез - келген мүшесін табу үшін формула беріледі.
Мысал. а) кез - келген
n
≥ 2 үшін
a = an-1+d;
б) кез - келген
n
≥ 2 үшін
bn
=
bn-1
∙
q
; а) және б) формулалары сәйкес
және
тізбектерінің берілген алдыңғы мүшесі бойынша оның кез - келген мүшесін табуға мүмкіндік береді. Тізбектің рекуренттік тәсілмен берілуі шапшаң есептейтін элетрондық есептеуіш машиналармен жұмыс істегенде аса қолайлы келеді.
3) Баяндап беру тәсілі. Бұл тәсілді қолданғанда тізбек элементтері баяндап айтылатын болады. Бұл жағдайда тізбектің жалпы мүшесі үшін формула да, немесе оның мүшелері үшін рекуренттік қатыс та белгісіз болу
мүмкін. Осы айтылғанды мысалмен түсіндіру үшін мына тізбектерді қарастырайық.
а) 2, 3, 5, 7, 11, . . . ; б) 2; 2, 2; 2, 23; 2, 236; 2, 2361; . . . Бұл тізбектерді былайша баяндайды: бірінші тізбек жай сандар тізбегі, ал екіншісі -
саны үшін кемімен алынған ондық жуықтаулар тізбегі.
I тарау Тізбектің шегі
1. 1 Тізбек шегін анықтау .
Сандық тізбек деп N натурал сандар жиынында анықталған сандық функцияны атайды. Бұл функцияны f әріпімен белгілейік. Сонда анықтама бойынша 1 санына f (1) мәні, 2 санына f (2) мәні т. с. с. сәйкес келеді. Жалпы алғанда ондай сәйкестікті былай белгілейді:
n
f (n) .
Бұл шамаларды сәйкес түрде
= f
(1),
= f
(2), …,
= f
(n), … арқылы белгілеп, оларды тізбектің бірінші, екінші, және т. с. с.
n
-ші мүшелері деп атайды.
n
-ші мүшені тізбектің жалпы мүшесі дейді. Тізбекті жазып берудің жиі қолданылатын тәсілдері мыналар:
1) Аналитикалық тәсіл. Бұл тәсілді қолданғанда n нөмері бойынша тізбектің сәйкес мүшесін табу үшін формула жазылып көрсетіледі.
2) Рекуренттік тәсіл. Бүл тәсілді қолданғанда тізбектің біріншісі беріледі және осы тізбектің белгілі бір немесе бірнеше алғашқы мүшелері бойынша кез - келген мүшесін табу үшін формула беріледі.
Мысал. а) кез - келген
n
≥ 2 үшін
a = an-1+d;
б) кез - келген
n
≥ 2 үшін
bn
=
bn-1
∙
q
; а) және б) формулалары сәйкес
және
тізбектерінің берілген алдыңғы мүшесі бойынша оның кез - келген мүшесін табуға мүмкіндік береді. Тізбектің рекуренттік тәсілмен берілуі шапшаң есептейтін элетрондық есептеуіш машиналармен жұмыс істегенде аса қолайлы келеді.
3) Баяндап беру тәсілі. Бұл тәсілді қолданғанда тізбек элементтері баяндап айтылатын болады. Бұл жағдайда тізбектің жалпы мүшесі үшін формула да, немесе оның мүшелері үшін рекуренттік қатыс та белгісіз болуы
мүмкін. Осы айтылғанды мысалмен түсіндіру үшін мына тізбектерді қарастырайық.
а) 2, 3, 5, 7, 11, . . . ; б) 2; 2, 2; 2, 23; 2, 236; 2, 2361; . . . Бұл тізбектерді былайша баяндайды: бірінші тізбек жай сандар тізбегі, ал екіншісі -
саны үшін кемімен алынған ондық жуықтаулар тізбегі.
Тізбектердің қарапайым сипаттамалары.
а) Шенелген және шенелмеген тізбектер. Егер с > 0 саны табылып,
барлық
үшін
теңсіздігі орындалса, онда
тізбегі шенелген
тізбек деп аталады. (символдар арқылы :
) .
Тізбектің жоғарыдан шенелгендігін символдармен жазылуын келтірейік. Егер
орындалса, онда
тізбегі жоғарыдан шенелген деп аталады. Сонда М саны тізбектің жоғарғы шені деп аталады. Енді тізбектің шенелгендігін терістеу арқылы оның шенелмегендігінің анықтамасын (символдар көмегімен) берейік. Егер
үшін
>c орындалса, онда
тізбегі шенелмеген деп аталады.
б) Тізбек үшін жұп болу, не тақ болу деген түсініктердің мағынасы болмайды, өйткені N жиыны симмметриялы емес ( N жиынына n саны енгенімен - n саны енбей отыр) .
в) Тізбек үшін периодты, не периодсыз болу деген түсініктердің де мағынасы жоқ, өйткені N жиыны периодты емес.
г)
Бірсарынды тізбектер. Барлық
n
N
үшін
теңсіздігі орындалса, онда
тізбегі өспелі тізбек деп аталады. Егер барлық
n
N
үшін
теңсіздігі орындалса, онда
тізбегі кемімейтін тізбек деп
аталады. Өспелі, кемімейтін, кемімелі және өспейтін тізбектерді жалпы бірсарынды тізбектер деп атайды.
Тізбек шегін анықтау
1- анықтама.
Егер кез - келген оң
санына сәйкес натурал
саны табылып, барлық
нөмірлері үшін
теңсіздігі орындалса, онда
a
саны
тізбегінің шегі деп аталады және былай жазылады:
немесе
жағдайда
(символдар арқылы
) . Шегі бар тізбек жинақталатын тізбек деп, ал шегі болмайтын жинақталмайтын тізбек деп аталады.
2- анықтама
. Егер
a
нүктесінің кез - келген
маңайы
тізбегінің саны арқылы
мүшелерінен өзге барлық мүшелерін қамтитын болса, онда осы
a
санын
тізбегінің шегі деп атайды.
1. 2 Шегі бар тізбектердің қасиеттері
1- теорема.
Егер
тізбегінің шегі бар болса, онда ол шек жалғыз.
тізбегінің шегі
a
және
b
бар деп жориық. Олардың
,
маңайларын
( яғни қиылыспайтындай) етіп алайық.
ұмтылғанда
тізбегінің
маңайының сыртында жатқан мүшелері арқылы жиын, олай болса
тізбегінің
маңайында жатқан мүшелері
ақырсыз жиын бола алмайды
, сондықтан, анықтама бойынша « b» саны
тізбегінің шегі бола алмайды.
2- теорема.
Егер
тізбегі жинақты болса, онда ол тізбек -
шенелген.
деп алайық.
саны берілсін.
нөмерлері бар
мүшелері үшін
орындалатындай етіп
оң бүтін санын табамыз. Онда (
)
, бұдан
,
аламыз. Енді
,
сандарының ең үлкенін
М
деп алсақ, онда
аламыз.
3 - теорема.
Егер
болса, онда
4 - теорема.
Егер
және
,
n=
1, 2 . . . болса онда
саны берілсін. Онда
нөмірлері үшін
нөмірлері үшін
Орындалатындай
және
сандары табылады.
Ал
нөмірлері үшін
Яғни
(
) орындалады.
5- теорема.
Егер
, онда
.
Кeлесі екі тұжырым, пара-пар: (
)
(
Оң сан берілсе
нөмірлері үшін
теңсіздігі орындалатындай
саны табылады) .
теңсіздігі орындалатыны белгілі. Олай болса
саны берілсе
,
орындалатыны
саны бар, яғни
1. 3 Ақырсыз кіші және ақырсыз үлкен тізбектер.
1- анықтама
. Егер
тізбегінің шегі 0 -ге тең болса, онда ол ақырсыз кіші тізбек деп аталады (
) . Басқаша айтқанда, егер кез- келген
үшін,
нөмірі табылып, барлық
нөмірлері үшін
теңсіздігі орындалса, онда
тізбегі ақырсыз кіші тізбек деп аталады (символдар арқылы
ақырсыз кіші
) . Ақырсыз кіші тізбек кез - келген жинақталатын тізбек сияқты, шенелген тізбек болады.
1-теорема
.
теңдігі орындалуы үшін
мұндағы
теңдігінің орындалуы қажетті және жеткілікті.
Бұл теореманы символдарды пайдаланып, дәлелдейік. Тізбектің жинақталатын болу анықтамасынан:
деп белгілісік,
, яғни
ақырсыз кіші тізбек. Демек,
формуласын аламыз.
2- анықтама
. Егер кез -келген
Е>
0 санына сәйкес
нөмірі табылып, барлық
нөмірлері үшін
теңсіздігі орындалса, онда
тізбегі ақырсыз үлкен тізбек деп аталады. Оны былай жазады:
Егер ақырсыз үлкен
тізбегінің
жалпы мүшесі өзінің оң (теріс) таңбасын тұрақты сақтайтын болса, (ең болмағанда жеткілікті үлкен
n
нөмірлерінен бастап), онда
сәйкес таңбалы оң (теріс) шексіздікке ұмтылады дейді:
3- анықтама
. Егер кез - келген c>0 санына сәйкес
нөмірі табылып, барлық
нөмірлері үшін
теңсіздігі орындалса, онда
оң (теріс ) шексіздікке ұмтылады дейді және былай жазады:
2- теорема
. Егер
ақырсыз үлкен тізбек болса, онда
ақырсыз кіші тізбек болады. Осы тұжырымның дұрыстығын тексерейік.
ақырсыз үлкен тізбек болсын. Анықтама бойынша кез -келген
Е>
0 саны үшін
нөмірі табылып, барлық
нөмірлері үшін
теңсіздігі орындалады. Бұдан
немесе
. Бұл теңсіздік барлық
=
нөмірлері үшін орындалады. Соңғы теңсіздік теореманың тұжырымдамасын береді. Осыған ұқсас түрде мына тұжырымды да дәлелдеуге болады:
Егер
ақырсыз кіші тізбек болса, онда
,
ақырсыз үлкен тізбек болады.
- Тізбектің шегі турлы теоремaлар.
Бұл пунктте тізбектерге арифметикалық амалдар қалай қолданылатыны жайлы әңгімеленеді.
1- теорема
. Егер
және
тізбектері жинақталатын болса, онда
тізбектері де жинақталатын болады және
, яғни жинақталатын екі тізбек қосындысының шегі сол тізбектер шектерінің қосындысына тең болады.
Дәлелдеуі
:
және
дейік. Сонда 1 - теорема негізінде
(мұндағы
мен
ақырсыз кіші тізбектер) теңдіктерін аламыз. Бұдан
тізбегі ақырсыз кіші тізбек, яғни
сонда 1. 3 - тің 1- теоремасы бойынша
. Бұл теореманы индукция әдісін қолдана отырып, саны шектеулі тізбектердің алгебралық қосындысы үшін де дәлелдеуге болады.
2- теорема
. Егер
және
жинақталатын тізбек болса, онда
тізбегі де жинақталатын болады және
, яғни жинақталатын тізбектер көбейтіндісінің шегі олардың шектерінің көбейтіндісіне тең болады.
Дәлелдеуі
.
және
болсын, сонда
(мұндағы
және
ақырсыз кіші тізбектер. ) Мына көбейтіндіні қарастырайық:
Тізбегі 1-2 леммелер негізінде ақырсыз кіші тізбек болып табылады. Сонымен, барлық
үшін
. Ал бұдан мына теңдік шығады. ( 1-теореманы қараңыз) :
Салдар
. Егер
тізбегі жинақталатын болса, онда кез - келген
С
саны үшін
тізбегі де жинақталатын тізбек болады және
, яғни тұрақты көбейткішті шек таңбасының алдына шығаруға болады.
3- теорема
. Егер
және
,
тізбектері жинақталатын болып, сонымен бірге
болса, онда
тізбегі жинақталатын болады да,
теңдігі орындалады. Алдын - ала мына лемманы дәлелдейік.
Лемма
. Егер
тізбегі
жинақталатын болып, сонымен бірге
болса, онда
нөмірі табылып барлық
нөмірлері үшін
тізбегі шенделген тізбек болады.
Дәлелдеуі. Анықтама бойынша
Енді
деп алып, айырма модулінің қасиетін пайдаланып, алдыңғы теңсіздікті мына түрде жазайық:
(
) . Бұдан
теңсіздігі шығады, ал шарт бойынша
болғандықтан, барлық
нөмірлері үшін
теңсіздігі орындалады.
3- теореманы дәлелдеуге көшейік.
,
деп алайық. Теореманы дәлелдеу үшін (1. 3 1- теоремасы бойынша)
айырымы ақырсыз кіші екенін дәлелдеу жеткілікті. Бізге мына теіңдіктер белгілі :
Осылдарды пайдаланып табатынымыз :
,
Мұндағы
тізбегі лемма бойынша шенелген, ал ақырсыз кіші тізбек. Сондықтан
айырымы ақырсыз кіші тізбек болады. Бұдан мына теңдік шығады. (6п. 1- теорема) :
1. 5 Теңсіздіктерде шекке көшу
Теорема.
Егер
жағдайда
,
және де барлық
нөмірлері үшін
болса, онда
. Қысқаша айтқанда, алынған теңсіздікте шекке көшуге болады.
Дәлелдеуі.
Қарсы жорып,
a>b
дейік.
санын мына аралықтан 0<
<
таңдап алайық. Тізбек шегінің анықтамасы бойынша осы
санына сәйкес натурал
саны табылып, барлық
нөмірлері үшін
теңсіздігі орындалады. Осыған ұқсас түрде алынған
санына сәйкес натурал
саны табылып, барлық
нөміллері үшін
теңсіздігі орындалады. Егер
және
сандарының ең үлкенін
арқылы белгілесек, онда
нөмірлері үшін осы теңсіздіктердің екеуі де сөзсіз орындалады. Сонда
теңсіздігін түрлендіре келе, табатынымыз:
яғни
Барлық
нөмірлері үшін соңғы теңсіздіктерден
, нeмесе
теңсіздігі шығады. Алайда, бұл теңсіздік теореманың шарты
теңсіздігіне қайшы. Демек,
a>b
деп жору қате. Сондықтан
болады ( яғни теңсіздікте шекке көшуге болады.
- Бірсарынды тізбектер жинақталуының қажетті және жеткілікті шарттары
1 - теорема
. Егер
тізбегі кемімейтін болып және жоғарыдан қандай да бір
В
санымен шенелген болса, онда ол тізбек жинақталады және оның шегі
М
саны
В
санынан артық болмайды, яғни
Дәлелдеуі.
жоғарыдан шенделген тізбек, сондықтан оны жоғарыдан шенделген бос емес жиын деп қарастырайық., оның дәл жоғарғы шені
М
бар болады. Енді осы
М
саны
тізбегінің шегі болатынын дәлелдейік:
болғандықтан, кез - келген
үшін
табылып,
теңсіздігі орындалады.
кемімейтін тізбек болғандықтан, барлық
үшін бұл теңсіздік негізінде
. Ал
тізбегінің кез - келген мүшесі өзінің дәл жоғарғы шекарасынан артпайтын болғандықтан, барлық
үшін
және кез -келген
үшін
. сондықтан,
. Алайда соңғы теңсіздіктерді біріктіргенде шығатын
теңсіздігі барлық
үшін орындалады, яғни
. Әрине,
( дәл жоғарғы шек барлық басқа жоғарғы шектердің ең кішісі ) болатыны түсінікті
2- теорема
. Егер
тізбегі өспейтін тізбек болып және төменнен қандай болса да бір
А
санымен шенелген болса, онда ол тізбек жинақталады және оның шегі
т
саны
А
санынан кем болмайды, яғни
.
Ескерту . Кемімейтін тізбек төменнен шенелген (мысалы, өзінің бірінші мүшесімен) тізбек болады. Сондықтан, егер кемімейтін тізбек жоғарыдан шенелген болса, онда екі жағынан да шенеледі, яғни шенелген.
3 - теорема. Бірсарынды тізбек жинақталуы үшін, оның шенелген
болуы қажетті және жеткілікті.
Дәлелдеуі. Қажеттілік
. Бірсарынды
тізбегі жинақталады. Ал жинақталатын тізбектің шенелген болатыны белгілі.
Жеткіліктілік:
тізбегі бірсарынды, әрі шенделген болсын. Сонда тізбектің шегінің бар болуы, не 1 - теоремадан ( егер
кемімейтін тізбек болса) , не 2 - теоремадан ( егер
өспейтін тізбек болса) шығады.
1. 7 Тізбектің жинақталуының Коши критерийі.
Егер кез - келген оң
саны үшін натурал
саны табылып,
және
шарттарын қанағаттандыратын барлық
және
натурал сандары үшін
теңсіздігі орындалса, онда
тізбегін негізгі (фундаментальдық) тізбек деп атайды.
Коши критерийі
.
тізбегі жинақталуы үшін, оның негізгі тізбек болуы қажетті және жеткілікті.
Дәлелдеуі. Қажеттілік.
жинақталатын тізбек және
болсын.
Жинақталатын тізбектің анықтамасы бойынша кез - келген
санын
сәйкес натурал
саны табылып, барлық
үшін
теңсіздігі және осыған ұқсас түрде
үшін
теңсіздігі орындалады. Осы
теңсіздіктерге сүйеніп және қосынды модулінің қасиетін пайдаланып барлық
және
үшін былай жазамыз:
Яғни
негізгі тізбек болады.
Жеткіліктілік.
тізбегі негізгі тізбек болсын.
деп алып, оған сәйкес
табайық. Сонда барлық
,
үшін
теңсіздігі орындалады.
дейік. Сонда
.
нөмірін бекітіп алып, айырым модулінің қасиетін пайдаланып, алдыңғы теңсіздікті былай жазамыз:
. Сонда барлық
үшін
теңсіздігі орындалады, яғни
шенделген тізбек балады. ( яғни
тізбегінің барлық мүшесін қамтитын сан түзуінің кесіндісін табуға болады) .
нөмірлі барлық
мүшелерін қамтитын ең кіші кесіндіні
арқылы белгілейік.
Ол үшін
,
Деп алу жеткілікті, яғни
жиынының дәл жоғарғы және дәл төменгі шенін
мен
деп алу керек. Енді
,
кесіндісінің ұзындығы
жағдайда 0-ге ұмтылатынын тексерейік. Негізгі тізбек анықтамасы бойынша кез - келген
санына
сәйкес
саны табылып, барлық
нөмірлері үшін
немесе
теңсіздігі орындалады. Осыған ұқсас түрде
нөмірлі
барлық
мүшелерін қамтитын ұзындығын ең кіші
кесіндісінің ұштары үшін де
. Бұдан
.
кесінділері бірінің ішінде бірі орналасқандықтан, барлық
үшін
, яғни
. Сонымен, бірінің ішіне бірі орналасқан кесіндіер принципі орындалатын болды. ( 3-теореманың салдары) . Олай болса барлық
кесінділеріне ортақ бір ғана ɑ нүктесі табылады. Енді
екендігін дәлелдейік. ɑ нүктесін қамтитын (c, d) интервалын қарастырайық. Сонда бұл маңайдың
тізбегінің ақырсыз көп нүктелерін қамтитындығын тексеру жеткілікті . Бұны орындау қиын емес. Шынында да (
Жағдайда
болатындықтан ), натурал
саны табылып,
екенін қашанда көрсетуге болады. Олай болса, барлық
нөмірлері үшін
орындалады, ендеше
1. 8 Тізбекшелер. Больцано - Вейерштрасс теоремасы.
тізбегі берілсін:
. ол тізбекке енетін
тізбекшесін қарастырайық:
, мұндағы
натурал сандардың қандай болса да бір өспелі жиыны, яғни
Егер
тізбегі жинақталатын болса, оның тізбекшесі
да жинақталады және оның шегі
тізбегінің шегіне тең болады. Осылайша, егер
ақырсыз үлкен тізбек болса, онда
тізбегі де ақырсыз үлкен тізбек болады. Алайда,
тізбегінің шегі болмағанда оның
тізбекшесінің шегі де болмайды деген қорытынды шықпайды.
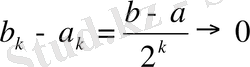
Больцано - Вейерштрасс теоремасы . Кез - келген шенелген тізбектен жинақталатын тізбекше бөліп шығаруға болады.
Дәлелдеуі:
шенелген тізбек, яғни
болсын.
кесіндісін қақ бөлейік. Сонда осы кесінділердің ең болмағанда бірі
тізбегінің ақырсыз көп мүшелерін қамтиды ( олай болмағанда
кесіндісі қамтитын
мүшелерінің саны шектеулі болар еді) ;
кесінді
тізбегінің ақырсыз көп мүшелерін қамтитын кесінді болсын. ( егер екі кесіндінің әр қайсысы да, ақырсыз көп мүше қамтитын болса, онда олардың кез - келгенін алуға болады) . Енді
кесіндісін де осылайша қақ бөліп,
тізбегінің ақырсыз көп мүшелерін қамтитын бөлігін
арқылы белгілейік. Осы процесті жалғастыра келе
қадам жасап, ол тізбектің ақырсыз көп мүшелерін қамтитын
кесіндісін бөліп аламыз. Сонда ұзындығы 0- ге ұмтылатын (
жағдайда
)
. . .
. . .
кесінділер жүйесін аламыз. Демек, бірі бірінің ішіне орналасқан кесінділер принципі негізінде
(*)
Енді берілген
тізбегінен
тізбекшесін былайша бөліп шығарамыз:
үшін
тізбегінің
кесіндісі қамтитын кез - келген мүшесін аламыз. Процесті осылайша әрі қарай жалғастыра отырып, k қадам жасап,
тізбегінің
кесіндісі қамтитын
мүшесін аламыз., т. с. с. демек,
. Бұдан алдыңғы теңдікпен (*) тізбек
жинақталуының жеткілікті шарты бойынша
теңдігін аламыз. Яғни
тізбекшесі жинақталады.
1. 9 Анықталмаған өрнектер.
1) Егер
болса, онда
тізбегінің шегі туралы алдын - ала анық ешнәрсе айта алмаймыз. Мысалы, егер
болса, онда
; егер
,
болса, онда
егер
,
болса, онда
(
) ; егер
,
Equation. 3 болса, онда
шегі жоқ.
Сонымен,
шегін табу үшін
,
болатынын білу жеткіліксіз. Бұл жағдайда
мен
айнымалыларының өзгерістерін сипаттайтын қосымша мәліметтер қажет немесе
шегін табуға арнайы тәсілдер қоллдану қажет. Егер
,
нөлге ұмтылатын болса, онда
өрнегі
түріндегі
анықталмаған өрнек
деп аталады.
Анықталмаған өрнектердің кейбіреулерін атап өтейік . Егер:
2)
,
болса, онда
өрнек,
түріндегі;
3)
,
болса, онда
өрнек
түріндегі;
4)
,
болса, онда
+
өрнек
5)
болса, онда
өрнегі
түіндегі анықталмаған өрнектер деп аталады.
II тарау Функция шегі
2. 1 Функция шегінің анықтамасы
а нүктесінің қандай болмасын (с, d ) маңайында ( мүмкін а нүктесінде де ) анықталған ƒ функциясын қарастырайық.
1
-
анықтама.
Егер a санына жинақталатын кез келген
тізбегі (мұның ешбір элементі
) үшін ƒ функциясы мәндерінің сәйкес
тізбегі
санына жинақталатын болса, онда A санын ƒ функциясының
-
тің
а
-
ға ұмытылғандағы шегі деп атайды және былай белгілейді:
немесе
жағдайда
(символдар арқылы:
) .
Егер нүкте маңайының (жеке жағдайда ортасынан тесілген) белгілеуін пайдалансақ, былай жаазуға болады:
, яғни кез- келген
үшін
саны табылып, аргумент мәндері
а
нүктесінің ортасынан (тесілген)
маңайына тиісті болғанда
f
функциясының сәйкес мәндері А нүктесінің
маңайына ( у өсі бойында) тиісті болады (1- сурет)
2. 2 Бір жақты шектер.
ƒ функциясы (с,
d
] жарты интервалда (мүмкін
нүктесінде де) анықталған дейік.
1
-
анықтама.
Егер
а
санына жинақталатын кез келген
, мұндағы
,
, тізбегіне ƒ функция мәндерінің сәйкес
тізбегі
санына жинақталатын болса, онда
саны
-тің
а
-ға ұмтылғандағы ƒ функциясының сол жақты шегі деп аталады және былай жазылады:
(символдар арқылы:
) .
2
-
анықтама.
Егер кез келген
үшін оған тәуелді
саны табылып,
теңсіздігін қанағаттандыратын барлық
үшін
теңсіздігі орындалса, онда A саны x-тің
а
-ға ұмтылғандағы ƒ функциясының сол жақ шегі деп аталады және былай жазылады:
(символдар арқылы:
) .
- Іс жүргізу
- Автоматтандыру, Техника
- Алғашқы әскери дайындық
- Астрономия
- Ауыл шаруашылығы
- Банк ісі
- Бизнесті бағалау
- Биология
- Бухгалтерлік іс
- Валеология
- Ветеринария
- География
- Геология, Геофизика, Геодезия
- Дін
- Ет, сүт, шарап өнімдері
- Жалпы тарих
- Жер кадастрі, Жылжымайтын мүлік
- Журналистика
- Информатика
- Кеден ісі
- Маркетинг
- Математика, Геометрия
- Медицина
- Мемлекеттік басқару
- Менеджмент
- Мұнай, Газ
- Мұрағат ісі
- Мәдениеттану
- ОБЖ (Основы безопасности жизнедеятельности)
- Педагогика
- Полиграфия
- Психология
- Салық
- Саясаттану
- Сақтандыру
- Сертификаттау, стандарттау
- Социология, Демография
- Спорт
- Статистика
- Тілтану, Филология
- Тарихи тұлғалар
- Тау-кен ісі
- Транспорт
- Туризм
- Физика
- Философия
- Халықаралық қатынастар
- Химия
- Экология, Қоршаған ортаны қорғау
- Экономика
- Экономикалық география
- Электротехника
- Қазақстан тарихы
- Қаржы
- Құрылыс
- Құқық, Криминалистика
- Әдебиет
- Өнер, музыка
- Өнеркәсіп, Өндіріс
Қазақ тілінде жазылған рефераттар, курстық жұмыстар, дипломдық жұмыстар бойынша біздің қор #1 болып табылады.

Ақпарат
Қосымша
Email: info@stud.kz