Функция анықтамасы


Жоспары
І. Кіріспе
ІІ. Негізгі бөлім
- Функция анықтамасы.
- Функция графигі.
- Функциялардың берілу тәсілдері.
- Шенелген және шенелменген функциялар.
- Жұп, тақ, периодты функциялар.
- Элементар функциялар.
- Кері функция.
- Күрделі функция.
- Параметрлі түрде берілген функция.
ІІІ. Қорытынды
IV. Пайдаланылан әдебиеттер
Кіріспе
Сандарға және айнымалы шамаларға белгілі бір тәртіп бойынша қолданылатын матеметикалық амалдардың жиынын аналитикалық өрнек деп түсінеміз.
Бір симметриялық облыста берілген екі жұп (не екі тақ) функциялардың қосындысы да, айырымы да сол облыста жұп (не тақ) функция болады. Бірнеше қосылғыштардан тұратын бір симметриялық облыста берілген жұп (не тақ) функциялардың қосындысы да сол симметриялық облыста жұп (не тақ) функция болады. Бір симметриялық облыста анықталған екі жұп не екі тақ функцияның көбейтіндісі де сол облыста жұп функция болады. Бір симметриялық облыста берілген жұп функция мен тақ функцияның көбейтіндісі сол облыста тақ функция болады.
Бір аргументті функциялардың ішінде элементарлық функциялар деп аталатындары әдейі бір топқа бөлінеді. Олардын, бұлай аталуының себебі: олар басқа элементарлық емес функциялардан тарихта бұрын шықкан, жан-жакты зерттелген, кұрылысы біркелкі қарапайым болып келеді, және жиі колданылады. «Эле-м е н т» - латын сөзі. Оны « с т и х и я », « б а с т а п қ ы з а т » деп аударуға болады. Сонда «э л е м е н т а р л ы қ» - б а с т а п қ ы, карапайым, н е г і з г і деген сөздердің мағынасын береді.
Элементарлык. емес функцияларды көбінесе арнаулы ф у н к ц и я л а р деп атап жүр. Бұл функциялар математика ғылымының дамуындағы соңғы дәуірлерде кұбылыстардың математикалық жактарын зерттеу мәселелері элементарлық функциялардың мүмкіншіліктері шеңберіне симаумен байланысты пайда болды.
1. Функция анықтамасы.
Анықтама.
Егер қарастырылып отырған айнымалы шама
-тің әрбір мәніне белгілі заң немесе ереже бойынша айнымалы шама
-тің анықталған бір-ақ мәні сәйкес келіп отырса, айнымалы шама
айнымалы шама
-тің
функциясы
деп аталады. Мұндағы
-
тәуелсіз айнымалы
немесе
аргумент
, ал
-
тәуелді айнымалы
немесе
функция
деп аталады.
Анықтама.
Егер тәуелсіз айнымалы
- тің әрбір мәніне белгілі заң немесе ереже бойынша тәуелді айнымалы
-тің бірнеше мәндері сәйкес келетін болса, ондай айнымалы
-
көп мәнді функция
деп аталады.
Функция берілген деп саналады , егер :
біріншіден, аргументтің қарастырылатын мәндерінің жиыны көрсетілген болса;
екіншіден,
аргумент
- тің берілген мәні бойынша функция
-тің сәйкес мәнін табуға мүмкіндік беретін сәйкестік заң көрсетілген болса.
Функцияның белгіленуі:
,
,
. Оқылуы: игрек икстен эфке тең, игрек икстен фиге тең.
Мұндағы
- аргумент
- тің берілген мәні бойынша
-тің сәйкес мәні қалай табылатынын көрсететін заңды немесе ережені бейнелейді.
Функция ұғымы бүкіл математика үшін өте маңызы зор ұғым, сондықтан да, ол ұғым математикалық дамудың ең негізгі обектісі болып саналады.
Анықтама . Функция анықталған немесе ақырлы нақты мәндер қабылдайтын тәуелсіз айнымалының барлық мәндерінің жиыны сол функицяның анықталу облысы немесе функцияның бар болу облысы деп аталады, ал функцияның барлық мәндерінің жиыны функция мәндерінің жиыны деп аталады.
Мысалы:
анықталу облысын табу керек.
Шешуі. Қарастырылып отырған f(х) функицясының мәндері аргумент х-тің мәндері мына екі теңсіздікті бір кезде қанағаттандырғанда ғана нақты сандар бола алады.
х² - 9>0 х²- 16>0
│х│>3 │х│>4
Функицяның анықталу облысы │х│>4 теңсіздігін қанағаттандыратын х-тің барлық мәндерінің жиыны болады, яғни (-∞; -4) (4; +∞)
2)
?
және
3)
D-?
а) 1-х >0 х²-х-6>0 б) 1-х< 0 х²-х-6<0
1-х>0 (х+2) (х-3) >0 1-х<0 (х+2) (х-3) <0
-х>-1 х<-2 х>3. х>1 -2<х<3 (1; 3)
х< 1 (-∞:-2)
Жауабы: (-∞:-2) , (1; 3)
4)
g(x) = ln (1-2cosx) D (g) -? 1-2cosx>0, cosx <
,
те cosx =
; сонымен,
<х<
, R=0, ±1, 2, . . .
5)
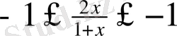
D(h) -?.
,
,
,
2x≤1+x 2x≥-1-x, 2x+x>-1, 3x≥-1, x≥-
x≤1 Ж:
6) F(x) =
-1
, -1≤sinx≤1, ендеше -1<
<1 - орындалмайды.
![]()
![]()
.
2. Функцияның графигі.
(а, в) аралығында анықталған у=f(x) функциясы берілген делік. Ол дегеніміз (а, в) аралығындағы х-тің әрбір мәніне у-тің анықталған бір-ақ мәні сәйкес келеді.
Жазықтықтағы тік бұрышты координаталар системасын алалық. N нүктесі (а, в) аралығындағы абщиссасы х - ке тең нүкте болсын. Абсциссалар өсіне N нүктесі арқылы өтетін перпендикуляр тұрғызайық. Сонда абсциссасы х-ке тең, оған сәйкес координатасы f(x) -ке тең болатын М нүктесі тұрғызылған перпендикулярдың бойынша орналасады және ондай нүкте жалғыз болады. Сонымен ON=x, NM=y=f(x) .
NM кесіндісінің М нүктесін х-тің берілген мәніне сәйкес келетін f(x) - тің мәнінің геометриялық кескіні деп санаймыз. Осылайша берілген функцияның геометриялық кескінін сала аламыз. Ол кескін аргументтің қабылдайтын барлық мәндеріне сәйкес функцияның барлық мәндерін кескіндейтін нүктелердің геометриялық орны болады.
Қозғалмалы М нүктесі жасаған бұл геометриялық орын f(x) функциясының графигі деп аталады.
Сонымен, абсциссалары - аргументтік мәндері, координаталары - функцияның мәндері болатын жазықтықтағы нүктелердің жиыны функцияның графигі деп аталады.
Функцияның графиктері қисық сызықтар немесе түзулер болады.
Функцияның графигін салу үшін, ол функцияның аргументінің бірнеше мәндерін алып, оған сәйкес функцияның мәндерін тауып таблица құру керек.







Мысалы: 1) f(x) = x+1
0 1
2) у=
Equation. 3
-1 1
3)
4)
3 . Функцияның берілу тәсілдері.
1. Аналитикалық тәсілмен берілу.
Сандарға және айнымалы шамаларға белгілі бір тәртіп бойынша қолданылатын матеметикалық амалдардың жиынын аналитикалық өрнек деп түсінеміз.
Функцияның негізгі берілу түрі формуламен, яғни аналитикалық түрде.
Мысалы:
1)
.
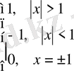
2) Функция сигнум x (signum - таңба) мына түрде беріледі:
sign x = 1, егер x>0
Sign x =-1, егер x<0
Sign x = 0, егер x=0
Sign
ІІ. Функцияның таблицамен берілуі.
Функцияны оның мәндерінің таблицасы арқылы берілуі функцияның таблицалық түрде берілуі деп аталады.
ІІІ. Функцияның графикпен берілуі.
IV. Функцияның сөзбен берілу тәсілі.
Бір сарынды немесе үзік бір сарынды функциялар.
Функцияны зерттеу дегеніміз: аргументтің өзгеруіне байланысты функцияның өзгеру ағымын сипаттау. Функциялық өзгерістердің бірі функцияның өсуі және кемуі.
Анықтама:
(а, в) аралығындағы аргументтің кез келген мәндері
мен
үшін
теңсіздігі орындалуымен бірге
теңсіздігі де орындалса, f(x) функциясы (а, в) аралығында бір сарынды өспелі функция деп аталады.
Анықтама:
Егер (а, в) аралығындағы аргумент х-тің кез келген екі мәні
мен
үшін
теңсіздігі орындалуымен бірге
арақатысы орындалса, f`(х) функицясы (а, в) аралығында кемімейтін функция деп аталады.
Анықтама:
Егер (а, в) аралығындағы аргумент х-тің кез келген екі мәні
мен
үшін
теңсіздігі орындалуымен бірге
теңсіздігі орындалса, яғни f(х) функциясы бір сарынды кемімелі функция деп аталады.
Анықтама
: Егер f(х) функциясы (а, в) аралығында беріліп,
теңсіздігі орындалуымен бірге
арақатысы орындалса, f(х) функциясы (а, в) аралығында өспейтін функция деп аталады.
Осы берілген төрт түрлі функцияны біріктіріп, берілген (а, в) аралығындағы бір сарынды функция деп атайды.
Егер (а, в) аралығында анықталған, бірақ бүкіл аралық бойында бір сарынды болмайтын f(х) функциясы (а, в) аралығының бөлік
) аралықтарында бір сарынды болып келсе, ол функция үзік бір сарынды функция деп аталады.
Мысалдар.
,
Функцияның өспелі, кемімелі аралықтарын тап.
4. Шенелген және шенелмеген функциялар.
Анықтама.
f(x) функциясының анықталу облысы Е жиынында болатын аргументі х-тің барлық мәндері үшін
теңсіздігін қанағаттандыратын оң сан N табылса, f(x) өзінің анықталу облысында
шенелген функция
деп аталады.
Функцияның шенелу облыстары сегмент, интервал, тағы сондайлар болады.
Егер f(x) функциясы
интервалында шенелген болса, ол функцияны бүкіл түзудің бойында шенелген дейді.
Шенелген функцияның графигі х-тер осіне параллель у=N және у=-N түзулерінің арасында жатады.
Ескерту.
Шенелген функция үшін дәл теңсіздік
орындалуы шарт. Егер функция үшін
арақатысы орындалса да, f(x) шенелген функция болады, өйткені бұл жағдайда N = M+1 деп алуға болады.
Анықтама. Егер Е жиындағы х-тің барлық мәндері үшін
теңсіздігі орындалатындай ешбір N болмаса, f(x) функциясы
Е
жиынында
шенелмеген функция
деп аталады.
Басқаша айтқанда: егер
Е
жиынындағы аргументтің мәндерінің бірі - x
үшін
теңсіздігі орындалса, f (х) функциясы Е облысында. шенелмеген функция деп аталады.
Демек, шенелмеген функцияның графигі бүтіндей ішінде жататын ешбір
-N <у< N алқабы болмайды
Ескертетін бір нәрсе мынау: бір аралықта шенелмеген функция екінші бір аралықта шенелген функция болуы мүмкін. Мысалы: функция
у =
x
4
.
Бұл (
) интервалында шенелмеген, өйткені
N
- қандай үлкен сан болса да,
болғанда
болады. Ал бұл функция кез келген ақырлы
(а, Ь)
аралығында шенелген функция.
Анықтама. Егер аргумент мәндерінің жиынындағы х-тің барлық мәндері үшін бір сан Р табылып, f (х) <Р теңсіздігі орындалатын болса, у= f (х) сол облыста жоғарыдан шенелген функция деп аталады.
Анықтама. Егер бір Q саны табылып, аргумент мәндерінің жиынындағы х-тің барлық мәндері үшін f (х) >Q теңсіздігі орындалса, у= f (х) сол облыста төменнен шенелген функция деп аталады.
Теорема. у= f (х) функциясы аргумент мәндерінің жиыны Е-де шенелген болуы үшін ол функция сол облыста жоғарыдан да, төменнен де шенелген болуы қажетті және жеткілікті.
Қажеттігін дәлелдеу. f (х) функциясы Е облысында шенелген болсын. Сонда f ( х) -тің жоғарыдан да, төменнен де шенелген функция болатындығын дәлелдеуіміз керек.
Шынында: f (х) -шенелген функция деп ұйғаруымыз бойынша
(1)
теңсіздігін қанағаттандыратын N > 0 саны табылады. (1) теңсіздікті былай да жазуға болады:
- N < f(x) < N.
Бұдан f(x) -тің жоғарыдан N санымен, төменнен -N санымен шенелгендігін көреміз.
Сонымен теореманың қажетті шарты дәлелденді.
Жеткіліктілігін дәлелдеу. f(x) жоғарыдан да, төменнен де шенелген делік.
f(x) -тің Е жиынында шенелген функция болатынын дәлелдеуіміз керек.
Шынында: f(x) жоғарыдан да, теменнен де шенелген болғандықтан, Р және Q сандары табылып,
Q < f(x) <Р (2)
теңсіздігі орындалады.
N санын төмендегі теңсіздіктерді қанағаттандыратындай етіп алалық:
N
>Р және
N
>
, яғни:
- N < Q және Р <+ N.
Сонда (2) теңсіздік былай жазылады:
-
N
<
f(x)
<
N немесе
Сонымен теорема толық дәлелденді.
Мысал: у = соsес 2 х. Бұл функция шенелмеген функция. Бірақ аргументтің кез келген мәні үшін:
соs
ес
2
х ≥ 0 > -
•
Демек, бұл функция төменнен шенелген.
Мысалдар:
1) у = 5 х функциясы берілсін. Оның шенелгенін не шенелмегенін зерттеу керек.
Ш е ш у. Берілген функция
интервалында анықталған.
жарты интервалында аргумент х-тің барлық мәндері үшін 0<5
х
≤1 теңсіздігі орындалады да, [0, +
) жарты сегментіндегі аргументтің барлық мәндері үшін 1≤5
x
< +
теңсіздігі орындалады. Демек, бұл функция бүкіл сан түзуінде төменнен ноль санымен шенелген.
2) Дирихле функциясы берілсін:
D(x) =
Мұның шенелген-шенелмегендігін зерттеу керек.
Шешу. х-тің кез келген мәні үшін 0≤ D(x) ≤1.
Демек, D(x) -бүкіл сан түзуінің бойында шенелген функция.
3) Функция
Е(х)
(немесе
[х] )
х-тің барлық мәндері үшін
теңсіздігін қанағаттандырады. Демек, Е(х) шенелмеген.
4) Сигнум х функциясы шенелген, өйткені:
5. Жұп және тақ функциялар
Анықтама. Егер М жиынының құрамына кез келген х санымен бірге оған симметриялық - х саны да кірсе, ол М жиыны симметриялық жиын деп аталады.
Симметриялық жиындарға мысалдар: барлық бүтін сандар жиыны, [-5, +5] сегментіндегі барлық сандардың жиыны, (-b, +b) интервалындағы барлық сандардың жиыны.
Анықтама. Егер f(х) симметриялық облыста берілсе және сол облыстағы аргумент x-тің, кез келген мәні үшін
f(-x) =f(x) (1)
теңдігі орындалса, f (х) сол симметриялық облыста жұп функция деп аталады.
Басқаша айтқанда: егер аргументтің мәні х-ті -х - ке ауыстырғанда f(x) -тің мәні өзгермейтін болса, f( х) - ті жұп функция деп атайды.
М ы с а л ы: у =
;
у = х
2n
(n
- натурал сан),
у = 2х
4
- 5х
2
-
3;
у = 2 -
sіn
2
х;
функциялары
интервалында жұп функциялар.
Енді f (х) = ln(1- х) + ln (1 +х) функциясы өзінің анықталу облысында жұп функция екенін көрсетелік.
Шынында, берілген f (х) функциясы (-1, +1) интервалында анықталған.
F(-x) =ln[1-(-x) ] +ln[1+(-x) ] =ln(1+x) +ln(1-x) =f(x) .
Демек, f (-х) =f(х) болады, яғни берілген функция (-1, + 1) интервалында жұп функция.
Жұп функцияның графигі ординаталар осіне симметриялық түрде орналасатындығын f(- х) =f(х) теңдігінен көруге болады.
Анықтама. Егер f( х) симметриялық облыста беріліп, облыстағы аргумент x-тің кез келген мәні үшін
f (-х) = - f(х) . (2)
теңдігі орындалса, яғни аргументтің таңбасы кері таңбаға ауысқанда функцияның да таңбасы кері таңбаға ауысса, f(x) сол облыста тақ функция деп аталады.
М ы с а л ы: у=х 3 ; у=7х 5 - 2х 3 + х; у=сosес х; у=х 2n-1
( n -натурал сан) ; y=
Equation. 3 ; у=
х
x ;
у = сtgх
функциялары тақ функциялар.
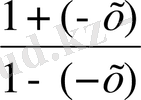
Енді
өзінің анықталу облысында тақ функция екенін көрсетелік.
Шынында: бұл функцияның анықталу облысы (-1, + 1) интервалы. Ал
g(-x) =ln
Equation. 3 =ln
Equation. 3 =ln(1-x) -ln(1+x) =
=- [ln(1+x) -ln(1-x) ] =-ln
Equation. 3 =-g(x),
яғни g (-х) = -g(х) . Демек, берілген функция g(x) (-1, +1) интервалында тақ функция болады. Тақ функцияның графигі координаталар системасының бас нүктесіне симметриялық түрде орналасады.
Сөйтіп, егер тақ функция х=0 нүктесінде анықталған болса, функцияның ол нүктедегі мәні нольге тең. Бұдан х = 0 нүктесінде анықталған тақ функцияның графигі міндетті түрде координаталар системасының бас нүктесі арқылы өтетіндігіне көзіміз жетеді.
Теорема 1. f(х) функциясы симметриялық Е облысының барлық нүктелерінде нольге тең болу үшін, ол функцияның сол облыста әрі жұп, әрі тақ функция болуы қажетті және жеткілікті.
Теорема 2. Бір симметриялық облыста берілген екі жұп (не екі тақ) функциялардың қосындысы да, айырымы да сол облыста жұп (не тақ) функция болады.
Салдар. Бірнеше қосылғыштардан тұратын бір симметриялық облыста берілген жұп (не тақ) функциялардың қосындысы да сол симметриялық облыста жұп (не тақ) функция болады.
Теорема 3 . Бір симметриялық облыста анықталған екі жұп не екі тақ функцияның көбейтіндісі де сол облыста жұп функция болады.
Теорема 4 . Бір симметриялық облыста берілген жұп функция мен тақ функцияның көбейтіндісі сол облыста тақ функция болады.
Периодты функциялар
Анықтама. Егер f(х) функциясының анықталу облысындағы аргумент х-тің әрбір мәні үшін f(x+L) =f(x) (1)
теңдігі орындалатын нольге тең емес L саны табылатын болса, f(х) - периодты функция, L саны - f(х) -тің периоды деп аталады.
Егер (1) теңдікті х + l нүктесі үшін қолдансақ, f[( х+l) +l] =f(x+l) =f(x), немесе
f(x+2l) =f(x) болар еді. Бұл процесті соза берсек, мына теңдіктер орындалар еді:
F(х+3l) =f(х) .
f(х+4l) =f(х),
F(х+nl) =fх)
. .,
Сонымен, егер периодты f(
х)
функциясының анықталу облысында
х
болса,
х + nl
сандары да
(n
- кез келген натурал сан) f(х) -тің анықталу облысында болады және
nl
сандары f(x) -тің периодтары болады. Периоды L-ге тең функция
f(х)
үшін
f(х) =f[(х-I) +l]
теңдігі де орындалатын болғандықтан, ( -L) саны да
f(х) -тің
периоды болады. Сондай-ақ жоғарыдағыша байымдап тек
саны ғана емес, -
2l, -3l,
. . . ,
-nl
сандарының да
f(х)
үшін периодтар болатындығын байқау қиын емес.
Сөйтіп, егер
f(х)
-периодты функция болып, оның периоды
болса, k
l
(бұндағы k
-
кез келген нольге тең емес бүтін сан,
k=±1, ±2\
. . . ;
±nl)
сандары да f(x) -тің периодтары болатыны айқындалады.
Демек, егер
f(х) (-
, +
) интервалында периодты функция болса, ол функцияның міндетті түрде оң периоды болуға тиіс, өйткені
және
сандарының бірі оң сан болатыны анық. Сондықтан да (-
, +
) интервалындағы периодты функцияның оң периодтары сансыз көп. Оң периодтарының жиынында ең кіші
ω
саны болуы мүмкін. Бұл санды ең кіші период немесе негізгі период деп атаймыз.
Периодты функцияларға мысалдар келтірейік.
1) Тригонометриялық функциялар:
sinx, cosx, tgx, ctgx.
sinx пен соsx-тің ең кіші (немесе негізгі) периоды 2π, ал tgx пен сtgх-тің периоды π .
2) f
(х) =х-Е(х)
функциясы (-
, +
) интервалында - периодты функция және оның негізгі периоды 1.
Ш ы н ы н д а:
f(x+1) ) =x+1-E(x+1) =x+1-[E(x) +
] = x-E(x) =f(x),
яғни f(x+1) =f(x) .
6. Элементар функциялар
Бір аргументті функциялардың ішінде элементарлық функциялар деп аталатындары әдейі бір топқа бөлінеді. Олардын, бұлай аталуының себебі: олар басқа элементарлық емес функциялардан тарихта бұрын шықкан, жан-жакты зерттелген, кұрылысы біркелкі қарапайым болып келеді, және жиі колданылады. «Эле-м е н т» - латын сөзі. Оны « с т и х и я », « б а с т а п қ ы з а т » деп аударуға болады. Сонда «э л е м е н т а р л ы қ» - б а с т а п қ ы, карапайым, н е г і з г і деген сөздердің мағынасын береді.
Элементарлык. емес функцияларды көбінесе арнаулы ф у н к ц и я л а р деп атап жүр. Бұл функциялар математика ғылымының дамуындағы соңғы дәуірлерде кұбылыстардың математикалық жактарын зерттеу мәселелері элементарлық функциялардың мүмкіншіліктері шеңберіне симаумен байланысты пайда болды.
Элементарлык функцияларға төмендегі функциялар жатады:
- Дәрежелікфункцияf(х) =ха(а- кез келген нақты сан) ;
- Көрсеткіштікфункция( а>0) ;
- Логарифмдікфункция( а>0) ;
- sіnx, соsх, tgх,, sесх, соsесх;
5. Кері тригонометриялық функциялар агсsіпх, агссоsх,
,
агссtgx, агсsесх, агссоsесx
Ескерте кететін бір нәрсе мынау: элементарлық функцияларға алты алгебралық амалды (қосу, азайту, көбейту, бөлу, бутін оң дәрежеге шуғару және түбірлеу) қолдануға болады.
Барлық элементарлық функцияларды екі типке бөлуге болады:
- Алгебралық функциялар.
- Трансценденттік функциялар.
- Іс жүргізу
- Автоматтандыру, Техника
- Алғашқы әскери дайындық
- Астрономия
- Ауыл шаруашылығы
- Банк ісі
- Бизнесті бағалау
- Биология
- Бухгалтерлік іс
- Валеология
- Ветеринария
- География
- Геология, Геофизика, Геодезия
- Дін
- Ет, сүт, шарап өнімдері
- Жалпы тарих
- Жер кадастрі, Жылжымайтын мүлік
- Журналистика
- Информатика
- Кеден ісі
- Маркетинг
- Математика, Геометрия
- Медицина
- Мемлекеттік басқару
- Менеджмент
- Мұнай, Газ
- Мұрағат ісі
- Мәдениеттану
- ОБЖ (Основы безопасности жизнедеятельности)
- Педагогика
- Полиграфия
- Психология
- Салық
- Саясаттану
- Сақтандыру
- Сертификаттау, стандарттау
- Социология, Демография
- Спорт
- Статистика
- Тілтану, Филология
- Тарихи тұлғалар
- Тау-кен ісі
- Транспорт
- Туризм
- Физика
- Философия
- Халықаралық қатынастар
- Химия
- Экология, Қоршаған ортаны қорғау
- Экономика
- Экономикалық география
- Электротехника
- Қазақстан тарихы
- Қаржы
- Құрылыс
- Құқық, Криминалистика
- Әдебиет
- Өнер, музыка
- Өнеркәсіп, Өндіріс
Қазақ тілінде жазылған рефераттар, курстық жұмыстар, дипломдық жұмыстар бойынша біздің қор #1 болып табылады.

Ақпарат
Қосымша
Email: info@stud.kz