Коэффициенттері тұрақты және айнымалы - ретті сызықты дифференциалдық теңдеулердің шешімін табуға операциялық есептеулерді қолдану


Жұмыс түрі: Дипломдық жұмыс
Тегін: Антиплагиат
Көлемі: 45 бет
Таңдаулыға:
МАЗМҰНЫ
КІРІСПЕ . . . 3
1 СЫЗЫҚТЫ ЖАЙ ДИФФЕРЕНЦИАЛДЫҚ ТЕҢДЕУЛЕР . . .
1. 1 Коэффициенттері тұрақты
- ретті сызықты
біртекті дифференциалдық теңдеулер . . .
1. 2 Коэффициенттері тұрақты
- ретті сызықты
бейбіртекті дифференциалдық теңдеулер . . .
1. 3 Коэффициенттері айнымалы сызықты
дифференциалдық теңдеулер . . .
2 ДИФФЕРЕНЦИАЛДЫҚ ТЕҢДЕУЛЕРДІ
ЛАПЛАС ТҮРЛЕНДІРУІ АРҚЫЛЫ ШЕШУ . . .
2. 1 Лаплас түрлендіруі және оның қасиеттері . . .
2. 2 Лаплас түрлендіруі арқылы ізделінді функцияны анықтау . . .
2. 3 Сызықты дифференциалдық теңдеулерді операциялық
тәсілдермен интегралдау . . .
2. 3. 1 Бейбіртекті оң жағы жалған көпмүшелік коэффициенттері
тұрақты сызықты дифференциалдық теңдеу . . .
2. 3. 2 Бейбіртекті оң жағы үздіксіз функциялы коэффициенттері
тұрақты сызықты дифференциалдық теңдеу . . .
2. 3. 3. Бейбіртекті оң жағы үзілісті функциялы коэффициенттері
тұрақты сызықты дифференциалдық теңдеу . . .
ҚОРЫТЫНДЫ . . .
ПАЙДАНЫЛҒАН ӘДЕБИЕТТЕР ТІЗІМІ . . .
КІРІСПЕ
Тақырыптың өзектілігі. Қазіргі кезде ғылыми - техникалық прогресс математикалық әдістердің ғылым мен техниканың барлық салаларына қарқындап енуімен сипатталады. Бұл прогресстің басталуы мен жүруі табиғатта болып жатқан құбылыстардың математикалық модельдерін жасаумен тығыз байланысты және ғылыми - техникалық прогресс үшін маңызы зор. Жалпы жағдайда жүріп жатқан процестер мен құбылыстарды, олардың табиғатының өте күрделілігіне байланысты, математиканың аппаратын пайдаланып, математика тіліне аудару оңай мәселе емес. Ғылым мен техниканың әр түрлі салаларында математикалық әдістерді нәтижелі қолдана білу үшін нақты практикалық есептерге осы әдістерді қолданудың негізгі принциптері жөнінде жеткілікті дәрежеде түсінік болуы қажет.
Ғылым мен техникада көптеген есептер, функциялар, алгебралық, дифференциалдық немесе интегралдық теңдеулер арқылы математика тiлiнде сипатталып жазылады. Мұндай есептер түрлiше жолдармен шешiледi. Аналитикалық әдiстер сондай жолдардың бiрi болып табылады.
Теориялық сұрақтар мен қолданбалы есептердің аналитикалық зерттеулерінің тиімді аппаратының бірі - операциялық есептеулер. Операциялық есептеу математикалық талдаудың маңызды бір саласы болып табылады. Физика, математика және техника есептерінің шешімін табуда операциялық есептеулерді қолдану маңызды роль атқарады. Атап айтқанда, сызықтық дифференциалдық және интегралдық, айырымдық теңдеулер теориясында, физиканың жылу өткізгіштік теориясында, электротехника және радиотехника, электр тізбегіндегі тұрақты емес құбылыстарды, автоматты реттегіштер жүйесінің жұмысын зерттеуде, кеңінен пайдаланылады. Оператор, операция сөздері латын тілінде operor-жасаймын, operator-жасаушы, жұмыскер деген ұғымды білдіреді. Ал operatio-амал, қимыл, жұмыс, енгізу, іске асыру ұғымдарына сәйкес келеді[1] .
Операциялық есептеу саласындағы алғашқы ғылыми жұмыстар белгілерді есептеу, белгілеулер енгізу арқылы есептеу деген сияқты атаулармен басталады. Операциялық әдістерді физикалық және техникалық есептерді шешу үшін қолдану ағылшын ғалымы Хевисайдтың 1892 жылы жарияланған еңбектерінен кейін басталған[2] .
Операциялық есептеудің алғашқы математикалық түрде негізді дәлелденуі ағылшын математигі Бромвичтің (1916), америка инженері Карсонның (1926) және голландия инженер-электригі Ван дер Польдің (1929-1932) еңбектерімен тығыз байланысты. Операциялық есептеулерді зерттеулерде орыс және совет ғалымдары өте зор үлес қосты. Россияда бұл саладағы алғашқы еңбектердің бірі М. Е. Ващенко-Захарченконың 1862 жылы шыққан «Сызықты дифференциалдық теңдеулерді интегралдаудың қолданылуы және символикалық есептеулері» атты монографиясы болып табылады. Бұл монографияда символикалық есептеулердің мазмұны толық ашылып көрсетілген, сонымен бірге сызықты коэффициенттері тұрақты және айнымалы дифференциалдық теңдеулердің шешімін табуға қалай қолдану керектігі көрсетілген. Сонымен қатар, операциялық есептеулердің ең негізгі формуласы беріліп, ол қазіргі уақытта есептің шешімін табудың негізгі класын кеңейтуге мүмкіндік береді.
Сонымен қатар, операциялық есептеу теориясын дамытуда орыс ғалымдары Лурье А. И., Данилевский А. Н., Эфрос А. М., Конторович М. И., [3] Диткин В. А. [1] айтарлықтай үлес қосты.
Ғылыми зерттеулер нәтижесі операциялық есептеу теориясындағы Лаплас бойынша түрлендірілетін функцияларды пайдаланып, оның дифференциалдық теңдеулерді шешуде қолданылуына негізделген. Сонымен қатар, дифференциалдық теңдеулердің шешімін табуда Хевисайдтың белгілеулерін пайдалану маңызды роль атқарады. Хевисайдтың белгілеулеріне байланысты жарыққа шыққан польша математигі Я. Микусинскийдің «Операциялық есептеу» деп аталатын еңбегі алғашқы операциялық есептеулердің бастамасы болды.
Операциялық әдістің мәнін қысқаша былай сипаттауға болады:
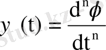
Нақты айнымалы
t
-ның
функциясы берілсін дейік. Бұл функцияның Лаплас түрлендіруі (
-түрлендіру) мына түрде болсын
Бұл теңдіктің оң жағындағы жинақталатын меншіксіз интеграл.
түрлендіруін пайдаланып, әрбір Лаплас бойынша түрлендірілетін түпнұсқа деп аталатын
функциясына оның бейнесі деп аталатын комплекс айнымалының
функциясын сәйкес келтіруге болады.
Лаплас түрлендіруінің тамаша қасиеттері бар. Мысалы,
түпнұсқасын
бойынша дифференциалдауға
функциясын
р
комплекс айнымалысына көбейту амалы сәйкес келеді. Сонымен, түпнұсқаны дифференциалдау және интегралдау амалдарына бейнелер кеңістігінде қарапайым алгебралық амалдар, яғни
бейнесін
р
санына көбейту және бөлу амалдары сәйкес келеді.
Берілген
бейнесі бойынша оған сәйкес
түпнұсқасын табу үшін Лапластың кері түрлендіруін (
түрлендіру) пайдалануға болады.
Дипломдық жұмыстың мақсаты.
Коэффициенттері тұрақты және айнымалы
- ретті сызықты дифференциалдық теңдеулердің шешімін табуға операциялық есептеулерді, атап айтқанда Лаплас түрлендіруін қолдану болып табылады. Операциялық есептеулердің ерекшеліктерін зерттеу.
Дипломдық жұмыстың міндеттері.
- Жай дифференциалдық теңдеулерді операциялық есептеулерді пайдаланып шешу, Лаплас түрлендіруін пайдалану;
- Операциялық есептеулердің, атап айтқанда Лаплас түрлендіруінің ерекшеліктерін зерттеу.
Зетттеудің нысаны. Зерттеудің негізгі нысаны дифференциалдық теңдеулерді, оның ішінде жай дифференциалдық теңдеуге операциялық есептеулерді пайдаланып, берілген теңдеудің шешімін зерттеу болып табылады.
Зерттеу пәні. Зерттеудің негізгі пәні операциялық есептеулер мен дифференциалдық теңдеулер болып табылады.
Дипломдық жұмыстың ғылыми жаңашылдығы. Жұмыста бейбіртекті оң жағы рационал көпмүшелік, үздіксіз функция және үзілісті функциялы болғандағы коэффициенттері тұрақты сызықты дифференциалдық теңдеулердің шешімін операциялық есептеулер көмегімен, атап айтқанда Лаплас түрлендіруін пайдаланып табу қарастырылған. Сонымен бірге, Дюамель интегралын қолданып, сызықты дифференциалдық теңдеудің шешімі анықталған.
Зерттеу әдістемесі. Жай дифференциалдық теңдеулерді операциялық есептеулер көмегімен шешудің бірі - Лаплас түрлендіруі қарастырылады.
Дипломдық жұмыстың құрылымы. Жұмыс кіріспе, екі бөлім, қортынды және пайдаланылған әдебиеттер тізімінен тұрады.
Кіріспеде алдынғы ғылыми жұмыстарға шолу жасалынған, сонымен қатар осы дипломдық жұмыстың тақырыбының өзектілігі, маңыздылығы, мақсаты, зерттеу міндеттері мен нәтижелерінен шыққан жаңалықтар көрсетілген. Дипломдық жұмыстың қысқаша баяндалу мазмұны келтірілген.
Бірінші бөлімде - жай дифференциалдық теңдеулердің кейбір фактілері мен тұжырымдары және көмекші нәтижелер келтірілген. Оларға ортақ мысалдар қарастырылған.
Екінші бөлімде - Коэффициенттері тұрақты және айнымалы
- ретті сызықты дифференциалдық теңдеулердің шешімін табуға операциялық есептеулерді, атап айтқанда Лаплас түрлендіруі арқылы шешу қарастырылған және мысалдар келтірілген.
Жұмыстың қорытындысында тұтас зерттеудің тұжырымдары көрсетілген.
Дипломдық жұмыстың қысқаша мазмұны.
Бірінші бөлімде коэффициенттері тұрақты
- ретті сызықты біртекті, бейбіртекті дифференциалдық теңдеулер және коэффициенттері айнымалы дифференциалдық теңдеулер туралы мәліметтер келтірілген.
Екінші бөлім дифференциалдық теңдеулерді шешуде операциялық есептеулерді қолдануға арналған. Бұл бөлімде Лаплас түрлендіруі және оның қасиеттері, Лаплас түрлендіруі арқылы ізделінді функцияны анықтау, бейбіртекті оң жағы жалған көпмүшелік, үздіксіз функция және үзілісті функция болған жағдайдағы коэффициенттері тұрақты сызықты дифференциалдық теңдеулердің шешімін Лаплас түрлендіруі көмегімен табу және сызықты дифференциалдық теңдеулерді Дюамель интегралын пайдаланып шешу қарастырылған.
1 СЫЗЫҚТЫ ЖАЙ ДИФФЕРЕНЦИАЛДЫҚ ТЕҢДЕУЛЕР
- Коэффициенттері тұрақты- ретті сызықты біртекті
дифференциалдық теңдеулер
Жай дифференциалдық теңдеулер көмегімен материалды нүктелерге қатысты қозғалыс жүйесі, химиялық кинетика, электрлік шынжыр, материалдардың қарсыласуы сияқты есептерді шешуге болады [7] .
Жай дифференциалдық теңдеулер үшін негізгі үш типті есеп бар: Коши есебі, шектік есептер және өзіндік мәні бар есептер[8] .
Жай дифференциалдық теңдеулерді шешудің үш тобы бар: дәл, сандық және жуықтау әдістері.
Дәл әдіс (аналитикалық) - ке дифференциалдық теңдеулерлерді элементар функциялар арқылы шешу жатады. Бұл әдістер жай дифференциалдық теңдеулер курсында оқытылады. Алайда, теңдеулер класы үшін құрастырылған нақты әдістер практикалық есептердің аз ғана бөлігін қамтиды.
Жуықтау әдісі
. Бұл
-тің шегі
болатын және
элементар функциялар немесе квадратуралар арқылы сипатталатын әдіс. Шекаралық есептің шешімін табудың жуықтау әдісі есептеу машиналарының пайда болуынан кейін дамыған.
Сандық әдістер
- ізделініп жатқан
шешімнің жуық мәнін әйтеуір бір тордағы
аргументінің мәні деп айтуға болады. Шешім кесте түрінде беріледі. Сандық әдістер
теңдеуінің немесе теңдеулер жүйесінің жалпы шешімін таба алмайды, олар дербес шешімді таба алады. Мысалы, Коши есебін шешу. Алайда, бұл есеп барлық теңдеулер класына қолданылады [9] .
Коэффициенттері тұрақты сызықты дифференциалдық теңдеулер алгебралық амалдар көмегімен түбіне дейін шешілетін кәдімгі дифференциалдық теңдеулердің қомақты, маңызды саласы болады.
(1. 1)
- ретті сықықты біртекті дифференциалдық теңдеу, мұнда
- тәуелсіз айнымалы
-ға байланысты белгісіз функция,
- тұрақты коэффициенттер.
бойынша дифференциалдау амалын
арқылы белгілесек, онда
. Осындай белгілеме көмегімен (1. 1) теңдеуді мына түрге
келтіруге болады, немесе,
, мұнда
.
- ретті операторлық
көпмүшеліктің
функциясына әсері мынадай:
.
Егер
, онда
функциясы (1. 1) теңдеудің шешімі болады.
(1. 2)
теңдеуі (1. 1) теңдеудің сипаттауыш теңдеуі, ал оның түбірлері теңдеудің сипаттауыш сандары деп аталады.
Егер сипаттауыш теңдеу түбірлері өзара жәй, яғни (1. 2)
теңдеу көп еселі түбірлерге ие болмасын деп, оның түбірлерін
деп белгілейік. Онда
функциялар жүйесі (1. 1) теңдеудің сызықты тәуелсіз шешімдер жүйесі болады.
Анықтама.
(1. 1) теңдеудің
сызықты тәуелсіз шешімдер
жүйесі сол теңдеу шешімдерінің өзек жүйесі деп аталады. Шешімдердің өзек жүйесі көмегімен (1. 1) теңдеудің жалпы шешімі мына түрде
жазылады, ал сипаттауыш сандар әр түрлі болса, онда
(1. 1) теңдеудің жалпы шешімі болады. (1. 1) теңдеудің күллі коэффициенттері нақты сандар болсын, онда сипаттауыш теңдеудің жорамал түбірлері қосарланып жүреді, яғни
сипаттауыш сан болса,
сипаттауыш сан болады. Осы қос түбірге
сәйкес келетін шешімдер мыналар
саны сипаттауыш теңдеудің
еселі түбірі болсын делік, яғни
еселі
түбірге теңдеудің
шешімі сәйкес келеді:
.
- Коэффициенттері тұрақты- ретті сызықты бейбіртекті
дифференциалдық теңдеулер
а) Коэффициенттері тұрақты
- ретті сызықты бейбіртекті дифференциалдық теңдеу
(1. 3)
берілсе, онда сызықты біртекті теңдеу
(1. 1)
оған сәйкес біртекті теңдеу болады.
Егер
(1. 1) теңдеудің жалпы шешімі, ал
(1. 3) теңдеудің дербес шешімі болса, онда (1. 3) теңдеудің жалпы шешімі мына түрде
жазылады, яғни сызықты бейбіртекті теңдеудің жалпы шешімі сол теңдеудің дербес шешіміне оған сәйкес біртекті теңдеудің жалпы шешімін қосқанға тең болады.
(1. 3) теңдеудің оң жағында тұрған
функциясы (бос мүше) жалған көпмүшелік деп аталатын арнайы түрде берілген функция болса, онда ол теңдеудің дербес шешімін
табу жолы жалпы жағдайға қарағанда оңайлана түседі.
түрінде жазылған кез келген функция, мұнда
- алгебралық көпмүшеліктер,
- қайсыбір комплекс сандар, жалған көпмүшелік деп аталады. Коэффициенттері тұрақты сызықты біртекті дифференциалдық теңдеудің әрбір жалған көпмүшелік қайсыбір коэффициенттері тұрақты сызықты біртекті теңдеудің шешімі болады.
Теорема. Бейбіртекті теңдеу берілсін делік.
, (1. 4)
Мұнда
-
бойынша
дәрежелі көпмүшелік болсын,
- комплекс сан. Айталық,
, егер
, ал
болғанда
түбірінің еселігі болсын. Онда (1. 4) теңдеудің
(1. 5)
түрінде жазылатын шешім бар болады, мұнда
дәрежелі көпмүшелік, оның коэффициенттерін анықталмаған коэффициенттер тәсілімен табуға болады.
Ескерту.
Егер комплекс сандар
сипаттауыш теңдеудің
еселі түбірлері болса
, ал (1. 4) теңдеудің оң жағы
, мұнда
- алгебралық көпмүшеліктер, онда (1. 4) теңдеудің шешімі мына түрде ізделінеді.
,
- дәрежесі
көпмүшеліктердің ең үлкен дәрежесіне тең алгебралық көпмүшеліктер.
б) коэффициенттері тұрақты сызықты дифференциалдық теңдеудің
(1. 3)
босмүшесі
жалған көпмүшелік болмаса, онда (1. 3) теңдеудің дербес шешімін табу үшін тұрақты шамаларды вариациялау әдісі қолданылады. Осы әдіске тоқталайық. (1. 3) -ке сәйкес (1. 1) теңдеудің жалпы шешімі
(1. 4)
құрылсын делік. (1. 3) теңдеудің шешімін мына түрде
(1. 5)
іздейміз, мұнда
-
-дан тәуелді әзірге белгісіз функциялар.
Осы функциялар төмендегі жүйеден
(1. 6)
анықталады. Жүйені
бойынша шешеміз.
осыдан
. Табылған
мәндерін (1. 5) -ке қоямыз, сонда
(1. 3) теңдеудің дербес шешімі болады.
- Коэффициенттері айнымалы сызықты
дифференциалдық теңдеулер
а)
(1. 7)
бейбіртекті сызықты теңдеу,
-
аралығында үздіксіз функциялар.
(1. 8)
(1. 7) сәйкес біртекті сызықты теңдеу.
Егер
(1. 8) теңдеу шешімдерінің өзек жүйесі, ал
- (1. 7) -дің дербес шешімі болса, онда (1. 7) -дің жалпы шешімі мына түрде:
жазылады, яғни бейбіртекті сызықты теңдеудің жалпы шешімі оған сәйкес біртекті сызықты теңдеудің жалпы шешіміне өзінің қайсыбір дербес шешімін қосқанға тең.
Егер (1. 8) -нің дербес шешімі
белгілі болса, оның ретін бірге төмендетіп,
- ретті сызықты дифференциалдық теңдеуге келтіруге болады. Ол үшін
, (1. 8) теңдеуге қойғаннан кейін,
алмастыруы арқасында теңдеудің реті төмендетіледі.
Егер (1. 8) -нің шешімдерінің өзек жүйесі белгілі болса, онда (1. 7) -дің дербес шешімі тұрақтыларды вариациялау әдісімен (Лагранж тәсілі) табуға болады.
(1. 8) -нің жалпы шешімі белгілі болсын,
кез келген тұрақты шамалар. (1. 7) -дің дербес шешімін мына түрде
іздейміз, мұнда
әзірге белгісіз функциялар. Олар үшін теңдеулер жүйесі
алынады. Жүйені
бойынша шешеміз
.
Бей біртекті (1. 7) теңдеудің жалпы шешімі.
2 ДИФФЕРЕНЦИАЛДЫҚ ТЕҢДЕУЛЕРДІ ШЕШУДЕ
ОПЕРАЦИЯЛЫҚ ЕСЕПТЕУЛЕРДІ ҚОЛДАНУ
2. 1 Лаплас түрлендіруі және оның қасиеттері
Операциялық есептеулердің незгізі Лаплас түрлендіруі болып табылады.
Берілген
айнымалылы
функциясы және
комплекс саны берілсін.
(2. 1)
теңдігімен анықталған
функциясы Лаплас түрлендіруі деп аталады.
Әрине теңдіктегі
кез келген
функциясы үшін анықтала бермейді. Сондықтан (2. 1) түрлендіруі орынды болатын функциялар класын келтірейік.
Нақты
t
аргументті
функциясы:
а)
,
;
б) t осінің кез келген шенелген интервалында интегралданатын функция;
в)
,
шарттарын қанағаттандыратын кес келген мәнді
кез келген комплекс мәнді
функциясы оригинал (түпнұсқа) деп атайды. Мұндағы
,
оң тұрақты шамалар. Бұл теңсіздіктегі
-дің дәл төменгі мәнін
функциясының өсу көрсеткіші деп атайды. Егер осы а), б), в) шарттардың ең болмағанда біреуі орындалмаса, онда
ϕ
(t) функциясы түпнұсқа болмайды.
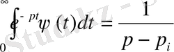
(2. 1) формуласымен өрнектелген комплекс аргументті
функциясы
оригиналдың кескіні (бейнесі) деп атайды. (2. 1) теңдіктің оң жағындағы интеграл Лаплас интегралы деп аталады. Анықтама бойынша бұл меншіксіз интеграл мынаған тең:
Мұндағы
оңжақтық шекке көшу амалын көрсетеді. Лаплас интегралының көмегімен
функциясы мен оның
бейнесі арасында сәйкестік орнатылады. Егер
функцияға
бейнесі сәйкес келсе, ол сәйкестік әдетте былай жазылады:
немесе
.
Теорема.
облысында (2. 1) интегралы жинақты, оның үстіне, егер
болса, ол бірқалыпты жинақты және сол жарты жазықтықта аналитикалық функция болады.
Қолданбалы есептерде белгілі кескін
бойынша оригинал функциясын табу керек болады. Автоматты жүйелердегі құбылыстарды сипаттағанда кездесетін көптеген функциялар түпнұсқа болады. Мысалы, Хевисайдтың бірлік функциясы деп аталатын
функциясы,
функциялары түпнұсқа болады. Бұл функциялардың бірлік баспалдақты функция түріндегі көбейткіштерінің бар болуы түпнұсқаның а) шартының орындалуын қамтамасыз етеді. Оны физикалық тұрғыдан түсіндірудің ешқандай қиындығы жоқ. Шынында да, автоматты жүйелердегі құбылыстар қандай да бір белгілі уақыт кезеңінен басталады.
Осы уақытты алғашқы
уақыт кезеңі ретінде алуға болады. Сонда t
болғанда
ϕ(t) =0
болады да түпнұсқаның а) шарты орындалады. Ал б) және в) шарттар автоматты жүйелерді сипаттайтын көптеген
ϕ(t)
функциялары үшін орындалады.
Түрлендіру функциясы анықталу үшін (2. 1) интегралдың қандай да бір облыстың
мәнінде бар болуы жеткілікті. Ал облыстың сыртында бұл интегралдың мағынасы болмауы мүмкін.
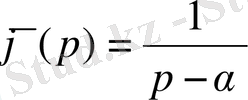
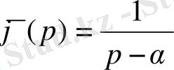
Мысалы,
болса, онда
. Бұл интегралды есептегенде
-ның нақты мәні оң деп қарастырамыз, яғни
. Ал
болса, интегралдың мағынасы жоқ, бірақ
функциясының түрлендіруі барлық жерде
.
Екінші мысал ретінде
функциясын қарастырайық, мұндағы
- нақты сан.
болғанда,
, бұдан
болады. Соңғы интеграл
болғанда, интеграл мағынасын жоғалтады, бірақ
-ның кез келген мәнінде
деп қарастырамыз.
Кейбір жағдайда,
-ның кез келген мәнінде (1) интегралдың мәні болмайды. Бұл жағдайда түрлендіру болмайды. Бірақ, физикалық мағынада мұндай функциялардың Лаплас түрлендіруі орындалуы мүмкін. Егер
функциясы
интервалында шектелген немесе
бойынша өседі,
немесе
, мұндағы
- оң сан болса, онда түрлендіру функция бар болады.
Біз қарастыратын мәселелерде, бұл шарттар міндетті түрде орындалады, яғни барлық жағдайларда түрлендіру функцияның бар болуы туралы сұрақ оң мағынада шешіледі.
Түрлендіру функциясының кейбір қасиеттері.
Түрлендіру функциясының туындысын қарастырайық.
Айталық,
болсын, онда анықтама бойынша
;
бөліктеп интегралдау әдісін қолданамыз:
.
Ал
болғандықтан,
бағалауын аламыз.
Сондықтан
болады да,
(2. 2)
сәйкестігін аламыз.
Бұл қасиетті жалпы түрде жазуға болады. (2. 2) формуланы тізбектеп пайдаланамыз. Егер
болса, онда
.
Енді
функциясын қарастырайық. Онда
(2. 2) формуланы пайдалансақ, онда
немесе
. (2. 3)
Операциялық есептеулер арқылы сызықты дифференциалдық теңдеулерді интегралдау әдісін алдымен ізделінді функцияны табу емес, оған сәйкес Лаплас түрлендіру бойынша дифференциалдық теңдеуді қанағаттандыратын функцияны табуға келтіріледі.
Мысалы.
,
берілген дифференциалдық теңдеудің түрлендіру функциясын құрыңыз. Мұндағы
- тұрақты сан.
Берілген теңдеудің екі жағын
функцияға көбейтеміз және
-ден
-ке дейін интегралдаймыз:
аламыз және (2. 2) формуласын қолданамыз. Сонымен,
Осыдан,
, мұндағы
.
Осылайша, екінші ретті коэффициенттері тұрақты дифференциалдық теңдеудің шешімін табуға болады.
теңдеуінің екі жағында
функцияға көбейтеміз және
-ден
-ке дейін интегралдаймыз:
,
Мұндағы
,
,
сонымен қатар,
.
Демек,
. Осыдан,
.
Бұл мысалдар кез келген ретті дифференциалдық теңдеулердің түрлендіру функциясын құруға болатындығын көрсетеді.
- Лаплас түрлендіруі арқылы ізделінді функцияны анықтау
Дифференциалдық теңдеулердің шешімін Лаплас түрлендіруі арқылы шешу немесе түпнұсқаны бейнесі бойынша анықтау мәселесін қарастырамыз. Бұл мәселе
түрдегі интегралдық теңдеуді шешуге әкеледі. Мұндағы
-
-ға тәуелді белгілі функция, ал ізделінді функция интеграл астындағы
функциясы болады.
Бұл интегралдық теңдеу Лаплас теңдеуі деп аталды және онық шешімі жалпы түрде табылады. Бірақ біз бұл теңдеудің жалпы шешімін емес, оның арнайы бір жағдайын қарастырумен шектелеміз. Жалпы шешімі Риман - Меллин формуласымен анықталады. Ал арнайы бір дербес шешімін табу элементар теориямен шектелгенмен, көптеген қызықты есептер шығаруға көмектеседі.
Лапластың интегралдық теңдеуінің кейбір қасиеттері:
1. Оң жағы
болатын Лаплас теңдеуінің шешімі
функциясы болсын, яғни
орындалады және
- қандай да бір сан болсын, онда
болады.
Демек, теңдеудің оң жағы тұрақты санға көбейтілсе, онда Лаплас теңдеуінің шешіміде сол санға көбейтіледі.
2. Лаплас теңдеуінің оң жағы
-ға тәуелді белгілі функциялар қосындысынан тұрсын, яғни
болсын.
Теңдеулердің шешімін табайық:
;
;
. . .
.
Осы теңдіктерді қосатын болсақ, онда
болады.
Осыдан,
функциясы
теңдеудің шешім деген қортындыға келеміз.
Бұл қасиеттер қарастырылып отырған Лаплас теңдеуінің қандай да бір дербес шешімін табуға көмектеседі.
Енді Лаплас теңдеуінің оң жағы рационалды бөлшек болған жағдайдағы шешімді іздейміз.
Қарастырылып отырған теңдеу
(2. 4)
түрде болсын. Мұндағы
және
- көпмүшеліктер, сонымен бірге
.
Айталық,
(2. 5)
болғанда тек ғана нақты түбірлері болсын, яғни
, мұндағы
- (2. 5) теңдеудің түбірлері.
Бұл жағдайда
рационалды бөлшек қарапайым бөлшектерге жіктеледі, яғни
немесе
,
мұндағы
- тұрақты коэффициенттер.
Бұл коэффициенттерді анықтау үшін (2. 6) теңдіктің екі жағында
көбейтеміз. Ендеше,
.
болсын делік, онда теңдіктіктің оң жағындағы екінші қосылғыштың көбейткіші
-тен тұрғандықтан нольге айналады. Ал теңдіктің сол жағы анықталмағандық, себебі
болғанда,
болады. Бұл анықталмағандықты Лопиталь формуласын пайдаланып табамыз, яғни
,
мұндағы
-
мәніндегі функцияның
бойынша алынған туындысы.
Дәл осылайша,
мәндерін анықтаймыз. Демек,
,
.
Қарапайым бөлшектерге жіктелген рационал бөлшек:
.
Алмастыру арқылы
функциясы
интегралдық теңдеуді қанағаттандыратынын аламыз.
Сонымен, (2. 4) интегралдық теңдеудің оң жағы
- ға тәуелді функциялардың қосындыларынан тұратынын және әрбір қосылғыштың өзіне сәйкес шешімін бірден табуға болатына көз жеткіздік.
Жоғарыда аталған Лаплас теңдеуінің шешімінің қасиеттерін пайдаланып,
(2. 6)
табамыз.
Бұл қойылған мәселенің шешімі болып табылады.
- Сызықты дифференциалдық теңдеулерді операциялық
тәсілдермен интегралдау
2. 3. 1 Бейбіртекті оң жағы жалған көпмүшелік коэффициенттері
тұрақты сызықты дифференциалдық теңдеу
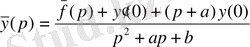
Бейбіртекті оң жағы жалған көпмүшелік коэффициенттері тұрақты сызықты дифференциалдық теңдеуді қарастырамыз:
, (2. 7)
,
операциялық тәсілмен түбіне дейін интегралданады.
- дифференциалдау операторы болсын, онда
,
,
,
, (2. 7) теңдеу мына түрде жазылады:
(2. 8)
Операциялық көпмүшелік
-ның көрсеткіші функция
-мен көбейтіндіге
әсері мынадай
1)
, (2. 9)
2)
.
операторлық көпмүшелік болсын, онда
3)
,
4)
,
5)
.
операторын анықтайық.
операторының
функциясына әсері
теңдеуінің шешімін береді
. (2. 10)
Сонымен,
.
операторының
операторына көбейтіндісі теңдікпен
анықталады.
Осылайша
.
- Іс жүргізу
- Автоматтандыру, Техника
- Алғашқы әскери дайындық
- Астрономия
- Ауыл шаруашылығы
- Банк ісі
- Бизнесті бағалау
- Биология
- Бухгалтерлік іс
- Валеология
- Ветеринария
- География
- Геология, Геофизика, Геодезия
- Дін
- Ет, сүт, шарап өнімдері
- Жалпы тарих
- Жер кадастрі, Жылжымайтын мүлік
- Журналистика
- Информатика
- Кеден ісі
- Маркетинг
- Математика, Геометрия
- Медицина
- Мемлекеттік басқару
- Менеджмент
- Мұнай, Газ
- Мұрағат ісі
- Мәдениеттану
- ОБЖ (Основы безопасности жизнедеятельности)
- Педагогика
- Полиграфия
- Психология
- Салық
- Саясаттану
- Сақтандыру
- Сертификаттау, стандарттау
- Социология, Демография
- Спорт
- Статистика
- Тілтану, Филология
- Тарихи тұлғалар
- Тау-кен ісі
- Транспорт
- Туризм
- Физика
- Философия
- Халықаралық қатынастар
- Химия
- Экология, Қоршаған ортаны қорғау
- Экономика
- Экономикалық география
- Электротехника
- Қазақстан тарихы
- Қаржы
- Құрылыс
- Құқық, Криминалистика
- Әдебиет
- Өнер, музыка
- Өнеркәсіп, Өндіріс
Қазақ тілінде жазылған рефераттар, курстық жұмыстар, дипломдық жұмыстар бойынша біздің қор #1 болып табылады.

Ақпарат
Қосымша
Email: info@stud.kz