Механикалық қозғалыс

 
    
- Лекция
Механика
Кинематика. Механикалық қозғалыс - материя қозғалыстарының ең қарапайым қозғалыс түрі. Кеңістік пен уақыт. Санақ жүйесі. Материялық нүкте түсінігі. Материялық нүкте қозғалысының кинематикалық өрнектелуі мен сипаттаммалары. Қатты дененің айналмалы қозғалыс кинематикасының элементтері.
Физика - материя қозғалысының ең қарапайым формалары туралы және оларға сай келетін жалпы табиғат заңдары туралы ғылым. Физика зерттейтін материя қозғалысының формалары (механикалық, жылулық, электрлік, магниттік және т. б. ), материя қозғалысының күрделірек формаларының (химиялық, биологиялық және т. б. ) құраушылары болып табылады, сондықтан физика басқа жаратылыстану ғылымдарының (астрономия, биология, химия, геология және т. б. ) негізі болып табылады.
Физика инженерлерді дайындаудың іргелі негізі, техниканың жаңа салаларын жасау үшін база болып табылыды.
Өзінің негізінде физика - экспериментальды ғылым: оның заңдары тәжірибе жүзінде анықталған ақиқаттарға сүйенеді. Эксперименталь ақиқаттарды жалпылау нәтижесінде физикалық заңдар анықталады. Физикалық заңдар дегеніміз физикалық шамалардың арасындағы байланыстарды тағайындайтын, табиғатта бар орнықты қайталанатын объективті заңдылықтар.
Физикалық шамалар арасындағы сандық қатынастарды анықтау үшін оларды өлшеу керек, яғни оларды сәйкес эталондармен салыстыру қажет. Ол үшін бірліктер жүйесі енгізіледі, ол физикалық шамалардың негізгі бірліктерін постулаттайды және оның негізінде басқа физикалық шамалардың бірліктерін анықтайды, олар туынды бірліктер деп аталады.
Халықаралық бірліктер жүйесі (СИ ) (System International - SI) .
Метр (м) - вакуумда 1/299792458 с уақытта жарықтың өтетін жолының ұзындығы.
Килограмм (кг) - килограмм үлгісінің массасына тең (Париждің қасындағы Северде өлшемдер мен таразылар Халықаралық бюросында сақталып тұрған Платина-иридий цилиндрі) .
Секунд (с) - цезий -13. 3 атомының негізгі күйінің аса жіңішке екі деңгейі арасындағы өтуге сәйкес келетін 9192631770 сәулелену периодына тең уақыт.
  Ампер (А)
 
 - шексіз ұзын екі параллель түзу және көлденең қимасы елеусіз аз өткізгіш арқылы өтетін өзгермейтін токтың күші, олар вакуумда бір-бірінен 1 м қашықтықта орналасқан, бұл өткізгіштердің әр метр ұзындығына
  күш әсер етеді.
 күш әсер етеді.
Кельвин (К) - судың үштік нүктесінің термодинамикалық температурасының 1/273, 16 бөлігі.
Моль (моль) - 12 С көміртегі изотобының 12 г - да неше атом болса, сонша құрылымдық элементі бар жүйенің зат мөлшері.
  Кандела (кд)
 
 - монохромат сәулелену жиілігі
  герц шығаратын, оның бұл бағыттағы энергетикалық жарық күші 1/683 Вт/ср болатын, жарық көзінің берілген бағыттағы жарық күші.
 герц шығаратын, оның бұл бағыттағы энергетикалық жарық күші 1/683 Вт/ср болатын, жарық көзінің берілген бағыттағы жарық күші.
ХБЖ жүйесінің қосымша бірліктері:
Радиан (рад) - шеңбердің екі радиусы арасындағы бұрыш, олардың арасындағы доғаның ұзындығы радиусқа тең.
Стерадиан (ср) - төбесі сфера центріндегі денелік бұрыш, ол сфера бетінде қабырғасы сфера радиусына тең квадрат ауданына тең бет ойып алады.
  Туынды бірліктер
 
 - негізгі бірліктермен байланыстылығы физикалық заңдар негізінде тағайындалады. Мысалы, жылдамдықтың туынды бірлігі (1 м/с) бірқалыпты түзу сызықты қозғалыс формуласынан алынады
  .
 .
Механика және оның құрылымы. Механикадағы моделдер.
Механика - физиканың бөлімі, ол механикалық қозғалыстың заңдылықтарын және сол қозғалысты жасайтын немесе өзгертетін себептерді зерттейді.
Механикалық қозғалыс - денелердің немесе олардың бөліктерінің кеңістікте орналасуының уақыт өткен сайын өзгеруі. Әдетте механика деп классикалық механиканы түсінеді; онда макроскопиялық денелердің қозғалысы қарастырылады, олардың жылдамдығы вакуумдегі жарық жылдамдығынан көп есе аз.
Жылдамдығы вакуумдегі жарық жылдамдығына жақын денелердің қозғалыс заңдарын релятивтік механика зерттейді.
Кванттық механика - атомдар мен элементар бөлшектер қозғалыс заңдарын зерттейді.
Механика бөлімдері:
Кинематика - денелердің қозғалысын қарастырады, бірақ ол қозғалыстың себептерін қарастырмайды.
Динамика - денелердің қозғалысын және ол қозғалыстың себептерін қарастырады.
Статика - денелер жүйесінің тепе-теңдік заңдарын қарастырады.
Механика, нақты мәселенің шартына байланысты, денелердің қозғалыстарын сипаттау үшін әр түрлі қарапайымдалған физикалық моделдерді пайдаланады:
- материалдық нүкте- берілген мәселенің шартында формасы мен өлшемдерін елемеуге болатын дене.
- Абсалют қатты дене- берілген мәселенің шартында деформациясын елемеуге болатын дене және ол дененің кез келген екі нүктесінің арақашықтығы тұрақты болып қалады.
- Абсолют серпімді дене- деформациясы Гук заңына бағынатын дене, ол сыртқы күштік әсерлер тоқталғаннан кейін мұндай дене өзінің бастапқы формасын толық қалпына келтіреді.
- Абсолют серпімсіз дене- сыртқы күштер әсері тоқталғаннан кейін деформацияланған күйін толық сақтайтын дене.
Қатты дененің кез келген қозғалысын ілгерілемелі және айналмалы қозғалыстардың комбинациясы ретінде қарастыруға болады.
Ілгерілемелі қозғалыс - денемен қатаң байланысқан кез келген түзу өзінің бастапқы орнына параллель болып қалатын қозғалыс.
Айналмалы қозғалыс - дененің барлық нүктелері айналу осі деп аталатын бір түзудің бойында центрі жататын шеңберлер бойымен қозғалатын қозғалыс.
Санақ жүйесі. Траектория, жол ұзындығы, орын ауыстыру векторы .
Денелердің қозғалысы кеңістікте және белгілі уақытта өтеді. Сондықтан материалдық нүктенің қозғалысын сипаттау үшін, бұл нүкте кеңістіктің қандай орындарында болғанын және осы немесе басқа орындардан уақыттың қандай кезеңдерінде өткенін білу керек.
Санақ денесі - оған салыстырғанда басқа денелердің орны анықталатын қалауымызша алынған дене.
Санақ жүйесі - санақ денесімен байланысқан координат пен сағаттар жүйесі.
0
к
zк
Z
r
z
М(х, у, z)
уј
х
У
М /
у
х
хі
і
ј
 Ең көп қолданылатын координат жүйесі - декарттық координат жүйесі - оның ортонормалданған базисі модулі бойынша үш бірлік және координат басынан жүргізілген өзара ортогонәлді векторлар
  құрайды.
 құрайды.
 Қалауымызша алынған М нүктесінің орны О координат басын М нүктесімен қосатын
  радиус-вектормен
 
 сипатталады (1-сурет) .
  радиус-вектормен
 
 сипатталады (1-сурет) .
 ,
 ,
  .
 .
Егер материалдық нүктенің декарттық координаты уақытқа тәуелділікпен берілсе, материалдық нүктенің қозғалысы толық анықталған болады.
 ,
 ,
  ,
 ,
  .
 .
Бұл теңдеулер нүкте қозғалыстарының кинематикалық теңдеуі деп аталады. Олар нүктенің қозғалыстарының бір векторлық теңдеуіне эквивалентті:
 .
 .
 Таңдап алынған санақ жүйесіне салыстырғанда қозғалатын материалдық нүкте (немесе дене) сызатын сызық
 
  траектория
 
 деп аталады. Кинематикалық теңдеулерден
  параметрін шығарып тастап, траектория теңдеуін алуға болады.
 параметрін шығарып тастап, траектория теңдеуін алуға болады.
Траектория формасына сәйкес қозғалыс түзу сызықты немесе қисық сызықты болуы мүмкін.
 Жолдың ұзындығы деп берілген уақыт аралығында нүкте жүріп өткен траектория бөліктерінің ұзындықтарының қосындысын айтады
  . Жол ұзындығы - уақыттың скалярлық функциясы.
 . Жол ұзындығы - уақыттың скалярлық функциясы.
  Орын ауыстыру векторы
 
 - қозғалатын нүктенің бастапқы орнынан қарастырылатын уақыт кезеңіндегі орнына жүргізілген вектор (нүктенің қарастырылған уақыт аралығындағы радиус-векторының өсімшесі) .
 - қозғалатын нүктенің бастапқы орнынан қарастырылатын уақыт кезеңіндегі орнына жүргізілген вектор (нүктенің қарастырылған уақыт аралығындағы радиус-векторының өсімшесі) .
z
y
x
0
∆S
B
∆r
r 0
r
A
 .
 .
 шегінде хорда бойынша жол ұзындығы
 шегінде хорда бойынша жол ұзындығы
  және хорданың ұзындығы
 және хорданың ұзындығы
  бірте-бірте айырмашылық аз болады:
 бірте-бірте айырмашылық аз болады:
  .
 .
Жылдамдық - векторлық шама, ол берілген уақыт кезеңіндегі қозғалыстың шапшаңдығын және оның бағытын анықтайды.
 уақыт аралығындағы орташа жылдамдық векторы деп,
 уақыт аралығындағы орташа жылдамдық векторы деп,
  радиус-вектор өсімшесінің
 радиус-вектор өсімшесінің
  уақыт аралығына қатынасын айтады.
 уақыт аралығына қатынасын айтады.
 
 Орташа жылдамдық векторының бағыты
  бағытымен сәйкес келеді. Жылдамдық бірлігі - м/с.
 бағытымен сәйкес келеді. Жылдамдық бірлігі - м/с.
  Лездік жылдамдық
 
 - қарастырылатын нүктенің
  радиус-векторынан уақыт бойынша алынған бірінші туындысына тең, векторлық шама.
 радиус-векторынан уақыт бойынша алынған бірінші туындысына тең, векторлық шама.
 .
 .
Лездік жылдамдық векторы қозғалыс бағытындағы траекториясына жанамамен бағытталады. Лездік жылдамдық модулі (скаляр шама) жолдың уақыт бойынша бірінші туындысына тең.
 , (бұдан
 , (бұдан
  )
 )
 Бірқалыпты емес қозғалыс кезінде лездік жылдамдық модулі уақыт өткен сайын өзгереді. Сондықтан скаляр шама
  бір қалыпты емес қозғалыстың орташа жылдамдығын енгіземіз (басқа аталуы - орташа жолдық жылдамдық) .
 бір қалыпты емес қозғалыстың орташа жылдамдығын енгіземіз (басқа аталуы - орташа жолдық жылдамдық) .
 -ден
 -ден
  -ге дейін уақыт аралығында нүкте өткен
 -ге дейін уақыт аралығында нүкте өткен
  жол ұзындығы мына интегралмен беріледі:
 жол ұзындығы мына интегралмен беріледі:
 
 
Нүктенің түзу сызықты қозғалысы кезінде жылдамдық векторының бағыты өзгермейді.
 Егер жылдамдық модулі уақыт өткен сайын өзгермесе (
  ), нүктенің қозғалысы бір қалыпты деп аталады, ол үшін
 ), нүктенің қозғалысы бір қалыпты деп аталады, ол үшін
 .
 .
Егер жылдамдық модулі уақыт өткен сайын өссе, онда қозғалыс үдемелі деп аталады, егер жылдамдық уақыт өткен сайын кемісе, он да қозғалыс баяу деп аталады.
Үдеу.
Үдеу - жылдамдықтың модулі және бағыты бойынша өзгеріс шапшаңдығын сипаттайтын векторлық шама.
 уақыт интервалындағы орташа үдеу - жылдамдықтың
 уақыт интервалындағы орташа үдеу - жылдамдықтың
  өзгерісінің
 өзгерісінің
  уақыт интервалына қатынасына тең векторлық шама.
 уақыт интервалына қатынасына тең векторлық шама.
 .
 .
Материалдық нүктенің лездік үдеуі - қарастырылатын нүктенің жылдамдығынан уақыт бойынша бірінші туындысына тең векторлық шама (осы нүктенің радиус-векторынан уақыт бойынша екінші туындысына тең векторлық шама) :
 .
 .
Үдеудің бірлігі - м/с 2 .
Жазық қисық сызықты қозғалыстың жалпы жағдайында үдеу векторын екі проекцияның қосындысы ретін көрсетуге ыңғайлы:
A
B
0
∆ν n
∆ν
ν 1
∆ν τ
V
C
∆S
D
E
 .
 .
 Тангенциаль үдеу
  жылдамдықтың модулі бойынша өзгеруінің шапшаңдығын сипаттайды (4-сурет), оның шамасы
 жылдамдықтың модулі бойынша өзгеруінің шапшаңдығын сипаттайды (4-сурет), оның шамасы
 
 Нормаль үдеу
  траекторияға нормәл бойынша оның қисықтығының центріне О бағытталған және нүктенің жылдамдық векторының бағытының өзгеру теңдігін сипаттайды. Нормаль үдеу
 траекторияға нормәл бойынша оның қисықтығының центріне О бағытталған және нүктенің жылдамдық векторының бағытының өзгеру теңдігін сипаттайды. Нормаль үдеу
  шамасы радиустың шеңбер бойымен қозғалыс жылдамдығы
 шамасы радиустың шеңбер бойымен қозғалыс жылдамдығы
  мен
 мен
  радиус шамасымен
 радиус шамасымен
  байланысты (4-сурет) .
 байланысты (4-сурет) .
  болсын дейік. Сонда
 болсын дейік. Сонда
  :
 :
  ,
 ,
R
α
∆S
V 1
V 2
∆V п
α
 
 толық үдеу шамасы (6-сурет) :
  .
 .
Қозғалыс түрлері:
- , - түзу сызықты бір қалыпты қозғалыс:.
- , - түзу сызықты бір қалыпты айнымалы (бір қалыпты үдемелі) қозғалыс. Егерболса, онда,, .
ν
α τ
α
α n
- , - шеңбер бойымен бірқалыпты қозғалыс.
- , - қисық сызықты бір қалыпты айнымалы қозғалыс.
Айналмалы қозғалыс кинематикасы.
 Айналмалы қозғалысты сипаттағанда
  және
 және
  полярлық координаттарды пайдаланған ыңғайлы, мұндағы
 полярлық координаттарды пайдаланған ыңғайлы, мұндағы
  - радиус - полюстен (айналу центрінен) материалдық нүктеге дейінгі қашықтық, ал
 - радиус - полюстен (айналу центрінен) материалдық нүктеге дейінгі қашықтық, ал
  - полярлық бұрыш (бұрылу бұрышы) .
 - полярлық бұрыш (бұрылу бұрышы) .
dϕ
∆ϕ
R
∆S
R
 Элементар бұрылуларды (
  немесе
 немесе
  деп белгілейміз) жалған (псевдовектор) ретінде қарастыруға болады.
 деп белгілейміз) жалған (псевдовектор) ретінде қарастыруға болады.
  Бұрыштық орын ауыстыру
 
 - модулі бұрылу бұрышына тең, ал бағыты оң бұранданың ілгерілемелі қозғалысының бағытымен сәйкес келетін векторлық шама.
 - модулі бұрылу бұрышына тең, ал бағыты оң бұранданың ілгерілемелі қозғалысының бағытымен сәйкес келетін векторлық шама.
 Бұрыштық жылдамдық:
  . Бұрыштық үдеу:
 . Бұрыштық үдеу:
 .
 .
 векторы
 векторы
  векторы сияқты айналу осі бойымен бағытталған, яғни оң бұранда ережесі бойынша бағытталады.
 векторы сияқты айналу осі бойымен бағытталған, яғни оң бұранда ережесі бойынша бағытталады.
  векторы бұрыштық жылдамдық өсімшесі векторына қарай айналу осі бойымен бағытталған (үдемелі айналу кезінде
 векторы бұрыштық жылдамдық өсімшесі векторына қарай айналу осі бойымен бағытталған (үдемелі айналу кезінде
  векторы
 векторы
  векторымен бағыттас, ал кемімелі айналу кезінде оған қарама-қарсы бағытталған) .
 векторымен бағыттас, ал кемімелі айналу кезінде оған қарама-қарсы бағытталған) .
Бұрыштық жылдамдық және бұрыштық үдеу бірліктері - рад/с және рад/с 2 .
Нүктенің сызықтық жылдамдығы бұрыштық жылдамдықпен және траектория радиусымен мына қатынаспен байланысты:
 .
 .
Сызықты жылдамдық үшін векторлық түрдегі формуланы векторлық көбейтінді ретінде жазуға болады:
 .
 .
 Векторлық көбейтінді анықтамасы бойынша оның модулі
  , мұндағы
 , мұндағы
  және
 және
  векторлары арасындағы бұрыш, ал бағыты
 векторлары арасындағы бұрыш, ал бағыты
  деп
 деп
  -ге қарай бұрғандағы оң бұранданың ілгерілемелі қозғалысы бағытымен сәйкес келеді.
 -ге қарай бұрғандағы оң бұранданың ілгерілемелі қозғалысы бағытымен сәйкес келеді.
ω
R
ν
0
αϕ
 Бір қалыпты айналу кезінде:
  , демек
 , демек
  . Бір қалыпты айналуды айналу периодымен Т сипаттауға болады. Т - период, нүкте толық бір айналым жасайтын уақыт,
 . Бір қалыпты айналуды айналу периодымен Т сипаттауға болады. Т - период, нүкте толық бір айналым жасайтын уақыт,
  .
 .
Айналу жиілігі - дене шеңбер бойымен бір қалыпты қозғалыс кезінде бірлік уақыт ішінде жасайтын толық айналым саны.
Айналу жиілігінің бірлігі - герц (Гц) .
 Бір қалыпты үдемелі айналмалы қозғалыс кезінде
  .
 .
 ,
 ,
  ,
 ,
  ,
 ,
  ,
 ,
  ,
 ,
  ,
 ,
  .
 .
 .
 .
 .
 .
Бақылау сұрақтары.
- Жүрген жолдың бірлігін көрсетіңіз
- Жылдамдықтың өрнегін көрсетіңіз
- Үдеу векторының өрнегін көрсетіңіз
- Массаның бірлігін көрсетіңіз
- Уақыттың бірлігін көрсетіңіз
- Бұрыштық жылдамдық шамасы қалай сипатталады?
- Бұрыштық жылдамдықпен сызықтық жылдамдық арасындағы байланыты көрсететін өрнекті жаз.
2-Лекция
Материялық нүкте мен қатты дене динамикасы. Динамиканың негізгі мәселесі(себебі) . Классикалық механикада күй ұғымы. Инерциялық санақ жүйесі. Ньютон заңдары. Механикадағы күштер. Сыртқы және ішкі күштер. Механикалық жүйенің масса центрі және оның қозғалыс заңы. Абсолют қатты дене туралы түсінік. Импульс моменті. Қатты дененің инерция моменті және күш моменті. Моменттер жүйесі. Қатты дененің бекітілген осіне қатысты айналмалы қозғалыс динамикасының теңдеуі.
Нютонның бірінші заңы.
Материалдық нүкте (дене) тыныштық күйін немесе бір қалыпты түзу сызықты қозғалыс күйін басқа денелер тарапынан бұл күйді өзгертуге мәжбүр еткенше сақтайды.
Дененің тыныштық күйін немесе бір қалыпты түзу сызықты қозғалыс күйін сақтауға тырысуын инерттілік деп атайды. Сондықтан Ньютонның бірінші заңын инерция заңы деп те атайды. Ньютонның бірінші заңы инерциалді санақ жүйесіне салыстырғанда басқа денелердің әсеріне ұшырамаған материалдық нүкте бір қалыпты және түзу сызықты қозғалады.
Ньютонның бірінші заңындағы әсерлесуді сипаттау үшін күш түсінігі енгізеді. Денелердің инерциялық қасиеттерін сипаттау үшін масса түсінігі енгізіледі.
Күш - денеге басқа денелер немесе өрістер тарапынан механикалық әсерінің өлшемі болып табылатын векторлық шама, оның нәтижесінде дене үдеу алады немесе формасы мен өлшемдерін өзгертеді.
Механикалық әсерлесу жанасатын денелер арасында да, (мысалы, соққы, үйкеліс, бір-біріне қысым жасау т. б. кездерде), сондай-ақ алыста тұрған денелер арасында да болуы мүмкін.
Заттың бөлшектерін бірегей жүйеге байланыстыратын және бір бөлшектердің басқа бөлшектерге әсерін соңғы жылдамдықпен жеткізетін материяның ерекше формасын физикалық өріс немесе өріс деп атайды.
Күштің бірлігі - Ньютон (Н) : 1Н - 1 кг массаға күштің әсер ету бағытымен 1м/с 2 үдеу беретін күш.
Механикалық жүйе деп, бір бүтін ретінде қарастырылатын материалдық нүктелердің (денелердің) жиынтығын айтады.
Зерттеліп механикалық жүйе құрамына кірмейтін денелер, сыртқы денелер деп аталады.
Қарастырылатын жүйенің бөлшектерінің өзара әсерлесу күштері ішкі күштер деп аталады.
Егер механикалық жүйе сыртқы денелермен әсерлеспесе (оған сыртқы күштер әсер етпесе), механикалық жүйе тұйық немесе оқшауланған деп аталады.
Егер дененің кеңістіктегі орнына және қозғалысына ешқандай шектеулер қойылмаған болса, дене еркін деп аталады.
Егер оның мүмкін болатын орындарына және қозғалыстарына механикада байланыстар деп аталатын бір не басқа бір шектеулер қойылған болса, дене еркін емес деп аталады. Байланысты іске асыратын денелердің әсерін сәйкес күштермен алмастырып еркін емес денелерді еркін деп қарастыруға болады. Бұл күштер байланыстардың реакциялары деп аталады, ал денеге әсер ететін басқа күштердің барлығы - белсенді күштер деп аталады.
Масса - материяның инерциялық және гравитациялық қасиеттерін анықтайтын материяның негізгі сипаттамаларының бірі болатын, физикалық шама.
Массанының бірлігі - килограмм (кг) .
 Дененің кіші элементінің
  массасының осы элементтің
 массасының осы элементтің
  көлемінің шамасына қатынасы дененің М нүктесіндегі
 көлемінің шамасына қатынасы дененің М нүктесіндегі
  тығыздығы деп аталады.
 тығыздығы деп аталады.

Импульс .
 Материалдық нүктенің
  массасының оның
 массасының оның
  жылдамдығына көбейтіндісі импульс немесе қозғалыс мөлшері деп аталады. Оның бағыты жылдамдық бағытымен сәйкес келетін векторлық шама
 жылдамдығына көбейтіндісі импульс немесе қозғалыс мөлшері деп аталады. Оның бағыты жылдамдық бағытымен сәйкес келетін векторлық шама
  .
 .
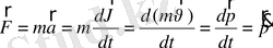
Ньютонның екінші заңы.
Ньютонның екінші заңы - ілгерілемелі қозғалыстың динамикасының негізгі заңы - түсірілген күштердің әсерінен материалдық нүктенің (дененің) механикалық қозғалысы қалай өзгеретіндігіне жауап береді.
Материалдық нүкте (дене) алатын үдеу, оны туғызатын күшке тура пропорционал, онымен бағыттас келеді. Және материалдық нүктенің (дененің) массасына кері пропорционал болады.
немесе

,
.
Ньютонның екінші заңының жалпы тұжырымдамасы: материалдық нүктенің импульсінің өзгеру жылдамдығы оған әсер ететін күшке тең.
 Векторлық шама
  , аз
 , аз
  уақыт ішіндегі
 уақыт ішіндегі
  күші әсерінің элементар импульсі деп аталады.
 күші әсерінің элементар импульсі деп аталады.
  уақыт аралығындағы күш импульсі
 уақыт аралығындағы күш импульсі
  интегралымен анықталады. Ньютонның екінші заңына сәйкес материалдық нүктенің импулсінің өзгерісі оған әсер ететін күштің импулсіне тең.
 интегралымен анықталады. Ньютонның екінші заңына сәйкес материалдық нүктенің импулсінің өзгерісі оған әсер ететін күштің импулсіне тең.
 және
 және
  .
 .
Материалдық нүкте динамикасының негізгі заңы классикалық маханикадағы себептілік принципін тұжырымдайды. Бұл дегеніміз материалдық нүктенің қозғалысының күйінің және кеңістіктегі бастапқы орны және оған әсер ететін күштің уақыт өткен сайын өзгерісі арасындағы бірегей байланыс. Бұл материалдық нүктенің бастапқы күйін біле тұра, кез келген келесі уақыт кезеңдеріндегі оның күйін есептеуге мүмкіндік береді.
Күштер әсерінің тәуелсіздік принципі .
Механикада күштердің әсерлерінің тәуелсіздік принципінің маңызы зор. Егер материалдық нүктеге бір мезгілде бірнеше күш әсер ететін болса, онда бұл күштердің әрқайсысы Ньютонның екінші заңына сәйкес, басқа күштер болмаған кездегідей материалдық нүктеге үдеу береді.
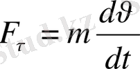
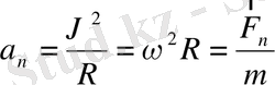
Мысалы, материалдық нүктенің нормаль және тангенциаль үдеулері күштің сәйкес құраушыларымен анықталады:
,
,
.
,
,
.
 Материалдық нүктеге нормаль үдеу беретін
  күш, траектория қисықтығының центріне бағытталған, сондықтан центрге тартқыш күш деп аталады.
 күш, траектория қисықтығының центріне бағытталған, сондықтан центрге тартқыш күш деп аталады.
Ньютонның үшінші заңы.
Материалдық нүктелердің (денелердің) бір біріне кез келген әсері өзара әсерлесу сипатында болады: материалдық нүктелердің бір біріне әсер ететін күштері, әруақытта модулі бойынша тең, бағыты бойынша қарама қарсы және осы нүктелерді қосатын түзу бойымен әсерлесетін болады.
Бұл күштер әр түрлі материалдың нүктелерге (денелерге) түсірілген, барлық уақытта жұбымен әсер етеді және табиғаты бір күштер болып табылады.
Ньютонның үшінші заңы жеке материалдық нүкте динамикасынан кез келген материалдық нүктелер жүйесінің динамикасына өтуге мүмкіндік береді, себебі кез келген өзара әсерлесуді материалдық нүктелер арасындағы жұптап өзара әсерлесу күштеріне келтіруге мүмкіндік береді.
Механикадағы күштер.
1) Тартылыс күштері (гравитациялық күштер) .
 Жермен байланысқан санақ жүйесінде, массасы
  кез келген денеге мынадай күш әсер етеді:
 кез келген денеге мынадай күш әсер етеді:
 
 ол күш денені жердің тартатын күші - ауырлық күші деп аталады. Жерге тартылыс күшінің әсерінен барлық денелер, еркін түсу үдеуі деп аталатын бірдей үдеумен
  м/с
 
  2
 
 құлайды.
 м/с
 
  2
 
 құлайды.
Дене Жерге тартылуы себебінен сүйенішке әсер ететін немесе іліну жібін керетін күшті дененің салмағы деп атайды.
 Ауырлық күші барлық уақытта әсер етеді, ал салмақ, денеге ауырлық күшінен басқа күштер әсер еткенде ғана өзін-өзі байқатады. Егер дененің үдеуі Жерге салыстырғанда нольге тең болса, ауырлық күші дененің салмағына тең болады. Кері жағдайда
  , мұндағы
 , мұндағы
  Жерге салыстырғанда дененің сүйенішімен бірге үдеуі. Егер дене ауырлық күші өрісінде еркін қозғалатын болса, онда
 Жерге салыстырғанда дененің сүйенішімен бірге үдеуі. Егер дене ауырлық күші өрісінде еркін қозғалатын болса, онда
  және салмақ нольге тең, яғни дене салмақсыз болады.
 және салмақ нольге тең, яғни дене салмақсыз болады.
Салмақсыздық деп дененің тек ауырлық күші әсерінен қозғалатын күйін айтады.
2) Серпімділік күші денелердің деформацияланып өзара әсерлесуі нәтижесінде пайда болады.
Серпімділік күші бөлшектің тепе-теңдік қалпынан ығысуына пропорционал және тепе-теңдік қалпына бағытталған болады:
 
 мұндағы
  - бөлшектің тепе-теңдік қалпынан ығысуын сипаттайтын радиус-вектор,
 - бөлшектің тепе-теңдік қалпынан ығысуын сипаттайтын радиус-вектор,
  - серпімділік. Мұндай күштің мысалы ретінде соғу немесе сығу кезіндегі серіппенің деформациялануының серпімділік күшін айтуға болады:
 - серпімділік. Мұндай күштің мысалы ретінде соғу немесе сығу кезіндегі серіппенің деформациялануының серпімділік күшін айтуға болады:
 
 мұндағы
  - серіппенің қатаңдығы, х - серпімді деформация.
 - серіппенің қатаңдығы, х - серпімді деформация.
3) сырғанау үйкеліс күші берілген дененің басқа дене бетімен сырғанауы кезінде пайда болады.
 
 мұндағы
  - сырғанау үйкеліс коэффициенті, ол жанасатын беттердің күйінде және табиғатына тәуелді болады,
 - сырғанау үйкеліс коэффициенті, ол жанасатын беттердің күйінде және табиғатына тәуелді болады,
  - үйкелетін беттерді бір-біріне қосатын нормаль күші үйкелетін денелердің беттерін жанама бойымен берілген дененің басқа денеге салыстырғанда қозғалысына қарама-қарсы бағытталған болады.
 - үйкелетін беттерді бір-біріне қосатын нормаль күші үйкелетін денелердің беттерін жанама бойымен берілген дененің басқа денеге салыстырғанда қозғалысына қарама-қарсы бағытталған болады.
Бақылау сұрақтары.
- Ньютонның екінші заңының өрнегін көрсетіңіз
- Дене импульсінің өрнегін көрсетіңіз
- Ньютонның үшінші заңын сипаттайтын өрнекті көрсетіңіз
- Бүкіл әлемдік тартылыс заңының өрнегін көрсетіңіз
- Ауырлық күшінің өрнегін көрсетіңіз
- Күштің бірлігін көрсетіңіз
- Импульстің бірлігін көрсетіңіз
- Серпімділік күшінің өрнегін көрсетіңіз
- Сырғанау үйкелісі күшінің өрнегін көрсетіңіз
3-лекция
Жұмыс және энергия. Энергия қозғалыс пен өзара әсерлесудің әр түрлерінің универсал өлшеуіші. Күштің жұмысы және оның қисық сызықты интеграл арқылы өрнегі. Қуат. Механикалық жүйенің кинематикалық энергиясы мен оның оған түсірілген күштерінің істейтін жұмысымен байланысы. Материалдық нүктенің сыртқы күш өрісіндегі потенциалдық энергиясы және оны материалдық нүктеге әсер ететін күшпен байланысы. Консервативті және консервативті емес күштер. Бөлшектердің және бөлшектер жүйесінің толық механикалық энергиясы.
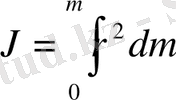
Инерция моменті .
Айналу осіне салыстырғанда материалдық нүктенің инерция моменті деп, осы нүктенің массасының остен қашықтығының квадратына көбейтіндісін айтады.
 
 
 Айналу осіне салыстырғанда жүйенің (дененің) инерция моменті деп,
  материалдық нүктелер жүйесінің массаларының қарастырылатын өске дейінгі қашықтықтар квадратына көбейтінділерінің қосындысына тең физикалық шаманы айтады.
 материалдық нүктелер жүйесінің массаларының қарастырылатын өске дейінгі қашықтықтар квадратына көбейтінділерінің қосындысына тең физикалық шаманы айтады.
 Массалардың үздіксіз таралуы жағдайында бұл қосынды мына
  интегралмен есептеледі, мұнда интегралдау дененің көлемі бойынша жүргізіледі.
 интегралмен есептеледі, мұнда интегралдау дененің көлемі бойынша жүргізіледі.
Бас инерция моменті - масса центрі арқылы өтетін бас айналу өсіне салыстырғандағы инерция моменті.
Дененің инерция моменті, дене қандай өске салыстырғанда және көлем бойынша оның массасы қалай таралғандығына байланысты болады.
... жалғасы- Іс жүргізу
- Автоматтандыру, Техника
- Алғашқы әскери дайындық
- Астрономия
- Ауыл шаруашылығы
- Банк ісі
- Бизнесті бағалау
- Биология
- Бухгалтерлік іс
- Валеология
- Ветеринария
- География
- Геология, Геофизика, Геодезия
- Дін
- Ет, сүт, шарап өнімдері
- Жалпы тарих
- Жер кадастрі, Жылжымайтын мүлік
- Журналистика
- Информатика
- Кеден ісі
- Маркетинг
- Математика, Геометрия
- Медицина
- Мемлекеттік басқару
- Менеджмент
- Мұнай, Газ
- Мұрағат ісі
- Мәдениеттану
- ОБЖ (Основы безопасности жизнедеятельности)
- Педагогика
- Полиграфия
- Психология
- Салық
- Саясаттану
- Сақтандыру
- Сертификаттау, стандарттау
- Социология, Демография
- Спорт
- Статистика
- Тілтану, Филология
- Тарихи тұлғалар
- Тау-кен ісі
- Транспорт
- Туризм
- Физика
- Философия
- Халықаралық қатынастар
- Химия
- Экология, Қоршаған ортаны қорғау
- Экономика
- Экономикалық география
- Электротехника
- Қазақстан тарихы
- Қаржы
- Құрылыс
- Құқық, Криминалистика
- Әдебиет
- Өнер, музыка
- Өнеркәсіп, Өндіріс
Қазақ тілінде жазылған рефераттар, курстық жұмыстар, дипломдық жұмыстар бойынша біздің қор #1 болып табылады.
 
            
                Ақпарат
Қосымша
Email: info@stud.kz