Паралелль контурдағы резонанс құбылысы


Паралелль контурдағы резонанс құбылысы.
Егер паралелль қосылған R, L және C-тің қысқыштарындағы кернеу
болса онда ток
өрнегімен анықталады. Мұндағы (φ) -бұрышы осыдан бұрын айтылған жағдайдағы секілді wt-бұрыштары өсінен кернеуден бастап тоққа қарай бағытталып саналады және ол суйір немесе тік бұрыш болады, яғни
.
Параллель жалғанған әр түрлі кедергілерден тұратын схемадағы резонанс құбылысын ток резонансы дейміз. Бірінші тармақта актив кедергісі R1 және индуктивті кедергісі 1/ WC, R2 берілсін, бірінші тармақтағы ток I1 кернеуден U = Uав фаза бойынша артқа ығысады және оны былай жазуға болады
I1 = U Y1= U(g1 - jb1)
Екінші тармақтағы ток I2 кернеуге Uав қарағанда алға ығысады.
Оны келесі турде жазуға болады
I2 = U Y2 = U(g2 - jb2)
Тізбектің тармақталмаған бөлігіндегі ток
I = I1+I2 = U(g1 - jb1) + U(g2 - jb2)
Аныктама бойынша I кернеуімен U фаза бойынша бір-біріне дәл келуге тиісті. Осындай жағдайдың орындалуы келесі шфртқа тікелей байланысты. Тармақтардың реактив өткізгіштерінің қосындысы нөлге тең болуы қажет.
b1 + b2 = 0, b1 = -b2;
Резонанс сипаттамалығы дегеніміз - ол активті кедергідегі, индуктивтік кедергідегі, сыйымдылық кедергідегі Ia, IL, Ic токтардың берілген генератор жиіліктерінен тәуелділіктерін айтамыз. Параллель контурдағы кернеудің өзгерісін және контурдағы кернеу мен тізбектегі жалпы токтың арасындағы фазалық бұрыштық қоректендіргіш көзі жилігінен тәуелділігін қарастырамыз.
IL(W), IC(W), U(W) қисықтар UC(W) UL(W) I(W) қисықтарына ұқсас.
Дуальділік принципке байланысты
IL0 = IC0 I0'Q
Мұндағы I0 - берілген генератор тогы, Q - параллель контурдың сапалығы.
Бірізді контур ушін Q = p / R
Параллель контур үшін
Егер параллель тербелмелі контур ішкі кедергісі R1 болатын ток көзінен қоректенсе, және R-кедергісіне параллель қосылатын R1-кедергісі неғұрлым аз болса, онда соғұрлым төзімділікте аз, ал контурдың өткізу
жолағы енді болады. Сондықтан, тізбектік тербелмелі контурдағы өткізгіштік жолағын қысқарту жөніндегі көзқараспен қарағанда,
ішкі кедергісі өте үлкен ток көзінен
тұратын, параллель тербелмелі контур тиімді. Кернеулердің резонансы кезіндегі схема үшін де күшінде қалады.
Схемада (идеал деп алынған) L-және C-тармақтарындағы активтік шығынды еске алмайды. Сондықтан L -және С-тармақтарындағы активтік кедергіні ескеретін бұдан басқа схеманы қарастырамыз.
а- суретіндегі схема үшін токтар резонансының шартын реактивтік өткізгіштердің тепе-тендігі түрінде қараймыз:
осыдан
Егер теңдеудегі түбір астындағы өрнек оң таңбалы ьолса, яғни
және
шамаларының таңбалары бірдей болса, онда осы жағдайда резонанс құбылысы байқалуы мүмкін. Егер
болса, онда тізбек кез-келген жилікте резонанстық режимде болады.
Суреттегі тізбектегі токтардың резонансы кезіндегі векторлық диаграмма көрсетілген. Индуктивтік және реактивтік тармақтардағы токтар активтік
және реактивтік
) құраушыларының қосындыларынан тұрады. Демек, I
Lp
= -I
Cp
; I
La
+ I
Ca
= I
0
R
1
- және R
2
-кедергілері неғұрлым w
0
L және
-дан кіші болған сайын
мен
-ның арасындағы фазалық ығысу 180° -қа жақын болады. Бұл кезде тармақтардағы токтар, тербеліс контурын тұйықтайтындай, бір ғана контурлық токты тузеді
.
Резонанс кезінде барлық тізбекте тек қана активтік өткізгіштік болады
бұдан өрнегін ескергенде
Аз шығынды тербелмелі контур ушін
пен салыстырғанда
қосылғышын ескермеуге болады және
деп есептейміз. Бұл жағдайда тербелмелі контурдың өткізгіштігі практикада кеңінен пайдаланатын радиотехникалық есепті шығаруға қажетті өрнекке жақындайды.
болғанда, ол мына өрнекке сәйкес
Сонымен қата, егер
болса, онда кез-келген жилікте
-шамасына те болады.
Резонанс жағдайында тізбектің екі параллель тармақтарында
шарты орындалады. Ол үшін теңдігінің екі жағын да
-қа көбейтсе жеткілікті.
Жоғарыда R, L және C параллель қосылған схемада, резонанстық жилікте, тізбектің толық өткізгіштігі минималь болады.
Схема ушін жилік w-ны немесе индуктивтік L-ді өзгергенінен тізбектің минималь толық өткізгіштігіне, сол сияқты минималь жалпы тоғына, резонанстық жилікте жетуге болмайтындығын оңай көрсетуге болады. Ал сыйымдылық С айнымалы параметр болған жағдайда, тізбектің толық өткізгіштігі мен жалпы тогының минималь болуы, токтардың резонансы кезінде байқалады.
Параллель тербелмелі контурдың теңдеуі негізінде төзімділігі мынандай болады:
бірақ,
осыдан
мұндағы резонанстық жилік
жоғарыда келтірілген өрнегі арқылы анықталады.
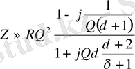
Резонанстық жилікте
-шамасы бірмен салыстырғанда жеткілікті мөлшерде үлкен болса, онда өрнегі ықшамдалады:
.
Резонанс режимінде жқын жағдайда,
бірден өлшеусіз кіші болғанда, алған өрнек жуықталып былай жазылады:
.
Кіріспе.
Электр тізбектерінің теориясы.
Қазіргі уақытта электр энергиясы барлық өнеркәсіп салаларында, транспортта, ауыл шаруашылығында, үй тұрмысында, тағы да басқа халықтың тұрмыс қажетіне кеңінен пайдаланылады.
Электр техникасы деп электр магниті құбылыстарын практика жүзінде кең салаларда қолданылуын айтамыз. Барлық электр техникасы салалары бір-бірімен байланысты болғандықтан, техникалық жоғарғы оқу орындарында «электр техникасының теориялық негіздері»курсын ашуға тура келеді. Бұл курс әр түрлі электр техникасы пәндерінің негізі болып есептелінеді.
Осы курстың негізгі бір міндеті, ол құбылыстарды токтар, кернеулер, қуаттар, магнит ағындары тағы да басқа түсініетер арқылы есептеу, зерттеу. Сондай-ақ тағы бір атқаратын міндеті, ол әрбір құбылыстардыэлектр кернеулігі, магнит өрісінің индукциясы, қуат ағындары тағы да басқа түсініктер арқылы есептеу зерттеу. Осы міндеттердің біріншісі тізбектерді есептеу мен зерттеуге, ал екіншісі электр магниті өрістерін есептеуге, зерттеуге арналған.
Шоғырланған параметрлі электр тізбегі дегеніміз -ол электр тізбегіндегі электр кедергісі, индуктивтігі және электр сыйымдылығы осы тізбектің жеке бөліктерінде шоғырланған деп есептелуінде. Мысалы, электр кедергісі -резистор, индуктивтік - орауыш(катушка), сыйымдылық - конденсатор түрінде тізбектің әр жеке бөліктерінде шоғырланған деп білеміз.
... жалғасы- Іс жүргізу
- Автоматтандыру, Техника
- Алғашқы әскери дайындық
- Астрономия
- Ауыл шаруашылығы
- Банк ісі
- Бизнесті бағалау
- Биология
- Бухгалтерлік іс
- Валеология
- Ветеринария
- География
- Геология, Геофизика, Геодезия
- Дін
- Ет, сүт, шарап өнімдері
- Жалпы тарих
- Жер кадастрі, Жылжымайтын мүлік
- Журналистика
- Информатика
- Кеден ісі
- Маркетинг
- Математика, Геометрия
- Медицина
- Мемлекеттік басқару
- Менеджмент
- Мұнай, Газ
- Мұрағат ісі
- Мәдениеттану
- ОБЖ (Основы безопасности жизнедеятельности)
- Педагогика
- Полиграфия
- Психология
- Салық
- Саясаттану
- Сақтандыру
- Сертификаттау, стандарттау
- Социология, Демография
- Спорт
- Статистика
- Тілтану, Филология
- Тарихи тұлғалар
- Тау-кен ісі
- Транспорт
- Туризм
- Физика
- Философия
- Халықаралық қатынастар
- Химия
- Экология, Қоршаған ортаны қорғау
- Экономика
- Экономикалық география
- Электротехника
- Қазақстан тарихы
- Қаржы
- Құрылыс
- Құқық, Криминалистика
- Әдебиет
- Өнер, музыка
- Өнеркәсіп, Өндіріс
Қазақ тілінде жазылған рефераттар, курстық жұмыстар, дипломдық жұмыстар бойынша біздің қор #1 болып табылады.

Ақпарат
Қосымша
Email: info@stud.kz