ПУЭ бойынша релелік қорғанысқа қойылатын талаптар


ПУЭ бойынша релелік қорғанысқа қойылатын талаптар.
3. 2. 1 Ереженің негізгі бөлімі өнеркәсіп және басқа да 1 кВ-тан жоғары электрқондырғылары, энергожүйенің электр бөлігі элементтерінің РҚ құрылғыларына қатысты.
3. 2. 2 Электрқондырғылары РҚ құрылғыларымен қамтамасыздан дырылуы қажет, ол құрылғылар мыналар үшін арналған:
а) ажыратқыштың көмегімен электрқондырғының зақымдалған бөлігін зақымдалмаған бөлігінен ажыратып автоматты түрде өшіру;
б) энергожүйесінің элементтерінің қауіпті және қауіпсіз режимде жұмысын сезу; РҚ электрқондырғыларының пайдалану шарты және жұмыс режиміне байланысты кейбір зақымдану тудыратын элементтердің өшіруіне және белгі белуі арқылы орындалады.
3. 2. 4 РҚ құрылғылары жүйенің зақымдалмаған бөлігінің үздіксіз жұмысын сақтау мақсатында ҚТ кезінде мүмкін болатын ең аз өшірілу уақытын қамтамасыз ету қажет.
3. 2. 5 Өшірілуге әсер ететін РҚ зақымдалған ғана элементті өшіру -селективтілік талабын орындау қажет.
Қорғаныстың селективті емес жұмысы (АПВ мен АВР қайтарылатын әсерімен) рұқсат етіледі:
а) егер қажет болса ҚТ -дың өшірілуін тездету мақсатында;
б) транформатар немесе желі тізбегінде бөлгіші бар қарапйымдатылған негізгі электр сүлбесін пайдалану кезінде.
3. 2. 6 Егер уақыт ұстамы мен ҚТ -ды өшіру кезінде 3. 2. 4 талабы орындалса, қорғаныс резервті түрде жұмыс істесе РҚ құрылғысы уақыт ұстамымен селективті түрде орындалуы рұқсат етіледі.
3. 2. 7 РҚ -тың функциялау сенімділігі (іскеқосылу шарты пайда болған кезде іскеқосылу және шарттың болмауында іскеқосылмау) параметр және орындалуы бойынша берілгеніне сәйкес болатын құрылғылардың пайдаланылуымен қамтамасыздандырылуы қажет.
Қажет болған жағдайда функциялаудың сенімділігін жоғарлату мақсатында арнайы шаралар қолданған жөн, анығырақ айтсақ, сүлбелік резервтеу, энергожүйенің жағдайын үздіксіз бақылау қажет. РҚ -пен түрлі операциялар оындау кезінде қызымет етуші персоналдардың қателік ықтималдылығын ескеру қажет.
3. 2. 8 Кернеулік тізбегі бар РҚ бар кезінде:
сақтандырғыштардың жанып кету, автоматты ажыратқыштардың өшірілу және кернеу тізбегінде бұзылулар кезінде қорғанысты автоматты түрде істен шығаратын құрылғылар ( егер бұл бұзылулар қалыпты режимде қорғаныстың жалған іске әкеп соқтыратын болса) және де осы тізбектегі бұзылулар туралы белгі беретін құрылғыларды қарастырған абзал .
3. 2. 10 Әрбір нақты жағдайда уақыт ұстамы бар РҚ үшін токтың бастапқы мәнінен немесе ҚТ кездегі қорғаныстың кедергісінің іскеқосылуының бастартылуынан басқа қорғаныстың үнемділігін қарастырған жөн.
3. 2. 15 Аралас элементтердің ажыратқыштарының немесе қорғаныстарының істен шығу кезінде әсері үшін резервті қорғаныс орнату қажет, бұл қашықтық резервті әсер ету үшін арналған.
Егер элементтің негізгі қорғанысы абсолютті селективті болса ( мысалы жоғарғы жиілікті қорғаныс, бойлық және көлденең дифференциалды қорғаныс), онда дәл осы элементте резервті қоғаныс орнатылуы қажет, резервті қорғаныс негізгі қорғаныстың бастарту немесе істеншығу кезінде жұмыс істеп кетуі тиіс.
Егер 110 кВ желінің негізгі қорғанысы салыстырмалы селективтілі болса ( мысалы, уақыт ұстамы бар бір сатылы қорғаныс), онда: осы желіде ҚТ болған кезде аралас элементтер қорғанысының қашықтық резервтік әсер ету шарты орындалмаған жағдайда бөлек резервті қорғанысты қарастырмауға рұқсат етеді;
Осы жағдайда жақын резервтеу шараларын қарастыру қажет.
3. 2. 20 РҚ -тың негізгі түрлерінің сезімталдығының бағалануы сезімталдық коэффициенті арқылы орындалады, ол былай анықталады:
зақымдалу кезінде физикалық шамалардың өсуін сезетін қорғаныстар үшін қорғалатын аймақта металдық ҚТ кезінде физикалық шаманың (ток немесе кернеу) есептік мәнінің қорғаныстың іскеқосылу параметрлеріне қатынасымен;
зақымдалу кезінде физикалық шамалардың кемуін сезетін қорғаныстар үшін қорғалатын аймақта металдық ҚТ кезінде қорғаныстың іскеқосылу параметрлерінің осы физикалық шамалардың (кедергі немесе кернеу) есептік мәніне қатынасымен.
3. 2. 21 Негізгі қорғаныстың сезімталдығын бағалау кезінде сезімталдық коэффициенттерінің мәні арнайы бекітілген:
- бағытталған және бағытталмаған кернеудің жіберілуімен және жіберілмеуінсіз МТҚ -ның кернеу және ток мүшелері үшін 1, 5 -ке тең болу қажет;
- көпфазалы ҚТ -дан дистанционды қорғаныс:
дистанциондық қорғаныстың кез -келген түрінің жіберілу мүшесі және дистанционды мүшенің үшінші сатысы үшін -1, 5;
резервтік іскеқосылуды есептемегенде қорғалынатын аймақтың ҚТ кезінде әсер ету қажет дистанционды мүшенің екінші сатысы үшін -1, 5, қорғаныстың үшінші сатысы болғанда -1, 25.
Қорғаныстың орнатылған жерінде ҚТ болған кезде трансформатордың уақыт ұстанымсыз ТҮ-2.
3. 2. 25 Резервтік қорғаныстың сезімталдығын бағалау кезінде сезімталдық коэффициенттерінің мәні арнайы бекітілген:
кедергі, ток мүшелері үшін -1, 2.
3. 2. 29 Қт -дан РҚ құрылғыларының токтық тізбегін қоректендіруге арналған ТТ -ы келесі талаптарды қанағаттандыруы қажет:
1. қорғалынатын аймақтан тыс ҚТ болу кезінде қорғаныстың артық іскеқосылуын жою мақсатында ТТ -ның ықтималдық қателігі 10% -дан аспауы қажет, асқан жағдайда оған арнайы шаралар қолданылады;
сатылы қорғаныстар үшін -қорғаныс сатысының әсер ету аймағының соңында ҚТ болған кезінде, ал бағытталған сатылы қорғаныстар үшін сондай- ақ және сыртқы ҚТ кезінде;
Қалған қорғаныстар үшін ҚТ кезінде.
ПУЭ бойынша трансформатор қорғанысы .
3. 2. 51 Трансформаторлар үшін жұмыстың қауіпсіз режимдерінен және зақымдалудың келесі түрлерінен РҚ -тың құрылғылары қарастырылуы қажет:
1. Трансформатордың шығысында және орамында болатын көпфазалы тұйықталудан;
2. глухожерленген нейтральді торапқа қосылған трансформатордың шығысында және орамында болатын бірфазалы жерден тұйықталудан;
3. орамдардағы орамалық тұйықталудан;
4. сыртқы ҚТ -дан болатын орамдағы токтардан;
5. асқынжүктемеден болатын орамдағы токтардан;
6. май деңгейінің төмендеуінен.
3. 2. 53 Сыртқы қабатының ішінде болатын зақымданудан қорғау: газдық қорғаныс, ол май деңгеінің түсуімен және газдың бөлінуінен қорғайды.
Газды қорғанысты мына электрқондврғылары үшін қарастыруымыз қажет:
қуаты 6, 3 МВА және одан жоғары боларын трансформаторлар үшін;
қуаты 6, 3 МВА және одан жоғары боларын цехтың ішінде орнатылған төмендеткіш трансформаторлар үшін;
КБР (РПН) трансформатордың қорғанысы үшін бөлек бакка бөлек газдық реле орнатады.
3. 2. 59 Қуаты 1 МВА және одан жоғары болатын трансформатордың орамдарындарындағы токтардан қорғаныс ретінде келесі қорғаныстарды қарастыруға болады:
1. төмендеткіш трансформаторларға кернеу бойнынша жібелілу және жіберусіз МТҚ -сын;
2. екіжақты қорек көзі бар кезде симметриялы емес ҚТ -дан нөл реттілік ток қорғанысын орнатамыз.
3. 2. 61 Жоғарғы жағынан қоректенетін екі орамды трансформаторларға көпфазалы ҚТ -дан ток қорғанысын орнатамыз.
110 кВ желі қорғанысы.
3. 2. 106 110-500 кВ- ғы тораптардағы желі үшін жерден тұйықталған және көпфазалы ҚТ -дан РҚ құрылғылары орнатылуы қажет.
3. 2. 107 Асинхронды жүріс немесе тербеліс болатын жағдайда қорғаныстың артық істеп кетуіне тыйым салатын РҚ құрылысымен жабдықталуы қажет.
3. 2. 108 110-220 кВ желілер үшін негзгі қорғанысты қарастырған кезде бірінші кезекте энергожүйесі жұмысының тұрақтылығын сақтау талабын ескеру қажет. Тұрақтылықты есептегенде басқа қатаң талаптар көрсетілмесе үш фазалы ҚТ кезінде электростасасы мен Қ/Ст- ның шиналарындағы қалдық кернеу 0, 6-0, 7U ном -төмен деп қабылданып уақыт ұстамынсыз өшіріледі.
3. 2. 115 110-220 кВ -ты желі үшін негізгі қорғаныс ретінде дистанционды және нөлдік бағытталған ток қорғанысын аламыз, бұлар сезімталдық шарты бойынша тиімді.
Шина қорғанысы.
3. 2. 119 110 кВ -ты шина үшін релелік қорғаныс құрылғысын таңдағанда екеуленген шина жүйесі үшін қарастырамыз.
3. 2. 121 35 кВ -ты және одан жоғырғы электр және Қ/Ст шиналардың қорғанысы ретінде осы шина секциясына қатысты барлық элементтерді қамтитын уақыт ұстамынсыз диференциалды ток қорғанысын аламыз. Бұл қорғаныстың жұмысы ТТ -на қосылып теңсіздік тоғынан реттелінетін арнайы ток релесінің пайдалануымен іске асырылады.
3. 2. 124 6-10 кВ -ты секциаланған толық емес екі сатылы диференциалды қорғаныс қолданылады, оның бірінші сатысы кернеу және ток бойынша ТҮ немесе дистанциондық қорғаныс түрінде, ал екінші сатысы МТҚ түрінде қолданылады.
Желі қорғанысы
110 кВ желідегі дистансиондық қорғаныс.
Қорғаныстың өлшеуіш мүшелері.
Фазалық ток айырмасы және фазалық кернеуге қосылған өлшеіш мүшелерінің әр сатысы үш кедергі релесінен тұрады (жүйенің салыстырмалы нөлдік нүктесі кернеуге қосылуға мүмкіндігі бар) .
Желінің дистансиондық қорғанысының Ι-ші, ΙΙ-ші, ΙΙΙ-ші сатысындағы кедергі релесі келесі сипаттамасына ие болады:
- Ι-ші саты үшін - координаттың басынан өтетін шеңбер;
- ΙΙ-ші саты үшін - үшінші квадрантты қиып өтетін төртбұрыш;
- ΙΙΙ-ші саты үшін - бір бұрышы координат басында жататын үшбұрыш;
Іскеқосылу кедергісі әр сатының кедергі релесінің Z с. р кернеу мен ток арасындағы бұрыш 75 о болғанда беліледі, оны максималды сезімталдық φ м. ч бұрышы деп атауға болады.
Қорғаныстың Ι-ші сатысындағы тағайыншамасын есептеу.
Ι-ші сатының бірінші іскеқосылу кедергісі (үзінділері уақыт ұстанымынсыз) Қ/Ст шинасындағы металдық ҚТ шартына қарап таңдалады, қорғалып отырған желінің соңына, қарастырылып отырған қорғаныс құрылғысының орнына қарасты қарама- қарсы қосылу сәйкесінше келесі өрнекпен сипатталады:
(3, 2, 1)
мұндағы Z л - қорғалып отырған желінің эквивалентті кедергісі;
к отс - қорғалып отырған аумақтың өсуіндегі ток және кернеу трансформаторы, электршамаларының есептеу қателігі және қажетті қорды 1, 15- ке тең деп аламыз, бұл реленің қателігін есептейтін қарасты реттеу коэффициенті.
Қорғаныстың ΙΙ-ші сатысындағы тағайыншамасын есептеу және олардың сезімталдығын тексеру.
ΙΙ-ші сатысындағы екіншілік кедергінің іскеқосылуы Z ΙΙ с. р (үзінді уақыт ұстамымен) келесі шартпен таңдалады:
- қарастырылып отырған қорғаныстың орнату орнына қатысты қорғалатын желінің соңы Қ/Ст- ның орташа (төменгі) кернеу шинасындығы ҚТ -ға қарасты реттеу келесі өрнекке сәйкес:
(3, 2, 2)
мұндағы Z т - кернеуді реттеу кезіндегі АТ- дың ЖК және ОК (ЖК және ТК) орам кедергісінің минималды мүмкіндігі; Z л - (3, 2, 1) - өрнегіндей;
к отс - (3, 2, 1) өрнегіндей;
к ток - қорғалатын желінің соңындағы орнатылған қорғаныстың орнындығы токка және АТ- ғы токка тең болатын Қ/Ст- ның орташа (төменгі) кернеу шинасындығы қорғалатын желінің тұйықталу кезіндегі токтаратудың максималды коэффициенті;
d - қорғалатын қорғаныстың Z 3 орнату орнындағы таралу бұрышы φ 3 есептейтін кедергісі 1, 0 -ге тең релесімаксималды сезімталдық бұрыш φ м. ч коэффициенті (қарастырылып отырған аумақ торапының кедергісі айырма бұрышы мен қорек беретін жүйесінің ЭҚК -і шамалы таралу бұрыш салдарынан болады) .
2) алдындағы желінің Ι-ші сатысындағы қорғанысына келісті (екінші параллельді желі екі жағынан да сөндірілген кезде қолма- қол қарастырылып орырған аумақта параллель желі келісімді режимде жасалады)
(3, 2, 3)
мұндағы Z с. з пред Ι - алдыңғы желінің Ι-ші сатысындағы іскеқосылудың қорғаныс кедергісі; Z л - (3, 2, 1) - өрнегіндей;
к отс - (3, 2, 1) өрнегіндей;
к ток - қарастырылатын қорғанысқа келісті қойылған токка тең алдыңғы желідегі қорғаныстың келісім тудыратын Ι-ші сатысындағы аймақтың соңындағы ҚТ кезіндегі қорғалатын желі үшін токтаратудың максималды коэффициенті;
α -ТТ- ның, КТ-ның және 0, 1-ге тең деп алынатын қорғалатын аймақтың азайуына қарай релелік қондырғыларының қателігін есептейтін коэффициент;
d -(3, 2, 2) өрнегіндей;
3) қарастырылып отырған қорғаныстың орналасқан орнына қатынасы бойынша қарама- қарсы орнатылған қорғаныстың Ι-ші сатысымен сәйкестендірілген параллель желінің соңында (қарастырылып отырған ауданда параллель желі блоған кезде ), Қ/Ст шинасына жақын орналасқан тұйықталуды каскадты өшіру кезінде қарастырылып отырған қорғаныс келесідей өрнектеледі:
(3, 2, 4)
мұндағы Z с. з парал Ι- параллель желінің Ι-ші сатысындығы қорғаныстың іскеқосылу кедергісі;
Z л - (3, 2, 1) - өрнегіндей;
к отс - (3, 2, 1) өрнегіндей;
к ток -тұйықталу кезіндегі каскадты сөндіру кезіндегі параллель желінің соңындағы қарастырылып отырған қорғаныстың орналасқан орнындағы токка қатысты қарама- қарсы тұйықталу кезіндегі қорғалынатын желінің максимал токтарату коэффициенті;
α -(3, 2, 3) өрнегіндей;
d -(3, 2, 2) өрнегіндей;
4) қарастырылып отырған қорғаныстың орналасқан орнына қатынасы қарама -қарсыға келіп жалғанатын Қ/Ст-ның шиналарындағы ҚТ- дан реттелуі келесідей өрнекпен өрнектеледі:
(3, 2, 5)
мұндағы Z л. пред - жоғардағы желінің эквивалентті кедергісі;
Z л - (3, 2, 1) - өрнегіндей;
к отс - (3, 2, 1) өрнегіндей;
к ток - тұйықталу кезіндегі каскадты сөндіру кезіндегі параллель желінің соңындағы қарастырылып отырған қорғаныстың орналасқан орнындағы екіленген токка қатысты қарама- қарсы тұйықталу кезіндегі қорғалынатын желінің максимал токтарату коэффициенті;
d -(3, 2, 2) өрнегіндей;
Бұл реттелу шинаны арнайы қорғайтын қорғаныстың істен шығуын ескеру үшін қажет.
ΙΙ-ші сатының іскеқосылу кедергісін есептеудегі өрнекті ықшамдау кезінде төртбұрышты сипаттаманың жоғарғы жағының көлбеу бұрышы -5 о - қа тең.
Қорғаныстың ΙΙ-ші сатысының кедергі реле сезімталдық коэффициенті келесі өрнекке сәйкес қрғлынатын желінің соңында металдық ҚТ кезінде анықталады:
(3, 2, 6)
мұндағы Z з -режим кезіндегі қорғалатын желі соңындағы металды ҚТ кезіндегі қорғаныстың орналасқан орнындағы біріншілік кедергісі, бұл кезде кедергі үлкен мәнге ие болады.
Қорғаныстың ΙΙΙ-ші сатысындағы тағайыншамасын есептеу.
ΙΙΙ-ші сатыдағы іскеқосылу біріншілік кедергісі мына өрнекке сәйкес қорлау зонасының соңында металдық ҚТ-ың каскадты сөндірілу кезіндегі қорғаныстың үшінші сатысының реле кедергісінің кажетті сезімталдығын қамтамасыз ету шарты бойынша таңдалынады.
мұндағы
қорлау зонасының соңында (кедергінің мәні ең үлкен болу режимінде) металдық ҚТ-ң каскадты сөндірілу кезінде қорғаныс орналасқан жердегі біріншілік кедергісі;
қорлау зонасының соңында (кедергінің мәні ең үлкен болу режимінде) металдық ҚТ-ң каскадты сөндірілу кезінде қорғаныс орналасқан жердегі кедергінің бұрышы;
ПУЭ-ге сәйкес 1, 2-ға тең болатын сезімталдық коэффициентінің минимал мәні;
Сипаттаманың оң беткей жағының көлбеу бұрышы (апаттан кейінгі жүктемелік режимде) қорғаныс орнатылған жерде кедергінің максимал мүмкін
бұрышынан реттелу шартымен, двигательдің өздігінен жұмыс істеуін ескере отырып мына өрнекке сәйкес алынады:
мұндағы
-сипаттаманың (оң беткей жақ көлбеу бұрышының (
деп қабылдаймыз) азаю сипаттамасы) қосынды қателіктерінен, жүктемелік режимнің (кедергі векторының бұрышының (12
0
ұлғаю жағындағы ток және кернеу трансформаторлары) параметр қателіктерінен асатын қосымша бұрыш.
Қорғаныстың ΙΙΙ-ші сатысы бұрыш бойынша реттелмейтін жүктемелік режим кезінде, яғни жүктеменің кедергілік бұрышы 3. 2. 12 өрнекті қанағанаттандырмайтын режимі кезінде ΙΙΙ-ші сатының
іскеқосылу біріншілік кедергісі 3. 2. 13 өрнегіне сәйкес жүктеме кедергісінің мәнінен реттеліну қажет:
мұндағы k в - (3. 2. 8) өрнегіндегі мән;
-сол сияқты;
Қорғаныстың үшінші сатысының уақыт ұстамы
мына өрнекке сәйкес сатылық принциппен анықталады:
мұндағы
- аралас элементтердің қорғанысының соңғы сатыларының уақыт ұстамының максимал мәні;
- 3. 2. 10 өрнегіндегі мән.
Желі кедергісі:
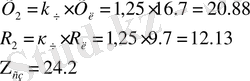
Орал 110/10 кВ:
Ом
Пойма 110/10 кВ
Ом
110 кВ желідегі дистансиондық қорғаныс. Орал 110/10 кВ
4-ші нүкте
бойынша
Біріншілік
кедергі



Екіншілік
кедергі





110 кВ Қ/Ст-ғы трансформатор қорғанысының қорына сәйкесті
t=t
110 кВ желідегі дистансиондық қорғаныс. Пойма 110/10 кВ
4-ші нүкте
бойынша
Біріншілік
кедергі



Екіншілік
кедергі





110 кВ Қ/Ст-ғы трансформатор қорғанысының қорына сәйкесті
t=t
Тоқ қорғаныстары.
Тоқ қорғаныстарының негізгі бөліктері.
Тоқ қорғаныстарының негізгі параметрлері мен істеу принципі жоғарыда қарастырылған (&В. ) Жалпы алғанда тоқ қорғанысы үш сатыдан тұратының белгілейміз. Бұл селективті және жақын жердегідей, қашықты резервтеу болады. Тез істейтін қорғаныстың бірінші сатысы - тоқ үзіндісіуақыт ұстанымсыз - өлшеу бөліктері ғана болады, ал екінші мен үшінші сатылары уақыт ұстамы бар тоқ үзідісі және максималды тоқ қор - өлшеу бөліктері ғана болады, ал екінші мен үшінші сатылары уақыт ұстамы бар тоқ үзідісі және максималды тоқ қорғанысы - екі бөліктен тұрады: өлшеу және уақыт ұстанымы. Екінші сатыны уақыт ұстанымы бар, тоққа тәуелсіз етіп орындайды, ол үшіншіні - тәелді немесе тәуелсіз етіп, өлшеу бөлігінің функциясын КА тоқ релесі орындайды. Ол сұлбаның өлшеу бөлігіне кіреді. Олар бүліну мен дұрыс режимнің бұзылу әсерінен қосылады. Ол егер уақыт ұстамы болса, соны қосу қызметін атқарады. Кейде қорғаныстың сезімталдығын жоғарылату үшін құрамалы олшеу бөліктерін қолданады. Бұның қатарында тоқ релесімен бірге кернеу релесі KV бар. Уақыт ұстамы ретінде уақыт релесі КТ-ны қолдануға болады. Осымен қатар бір тоқ релесінде екі қрғаныс бөлігі де бірігуі мүмкін.
Тоқ қорғанысы сұлбасында қосымша релелер болады, мысалы аралық реле KL және көрсеткіш реле КН. Уақыт релесімен бірге олар сұлбаның логикалық бөлігін құрайды. Аралық реле негізгі қорғаныстың жұмысын жеңілдетеді және, кейбір тежеуді істей отырып, трубалы разрядниктің жұмысы кезінде тоқ үзіндісінің уақыт ұстанымсыздығын болдырмайды. Көрсеткіш релесі қорғаныстың істеуін қадағалайды. Мысал ретінде 5. 1 суретте, оперативті тұрақты тоқтағы максималды тоқ қорғанысының принципиальды біріккен сұлбасы бірфазалы бейнеде көрсетілген. Қорғаныс Q ажыратқышының электромагнитті өшіруін YAT орындағанда істейді.
В. 13. сурет. Қорғаныстарды бағытталған етіп орындау қажеттілігін анықтайтын, екі қорек көзі бар торабтын сұлбасы.
Бағытталған тоқ қорғаныстары.
Бағытталған тоқ қорғаныстары негізінен, тоқ қорғаныстары сияқты, үшсатылы болып орындалады. Бірақ қорғаныстың қт кезінде орындалуы бүліну тоқ мәнімен ғана емес, қысқа тұйықталудың қуатының бағытымен оның қосылу жерінде анықталады. Егер қорғайтын элемнт екі жақты қорек алса, онда қт куатының бағытын қадағалау қажеттілік етеді. Шындығында, к1, к2 нүктесіндегі қт тоғының мәні А1, А2 тоқ корғанысы қосылған жерде жалпы алғанда олшеулі, бірінші жағдайда А1 қорғанысы қосылу қажет, ал екіншіде - А2 қорғанысы. Уақыт ұстамдылығын таңдау мүмкін болмағандықтан, қорғаныс селектывтілі немесе олардын жеке сатылары орындалмайды. Бірақ, корғап отырған Л1 желісіндегі қт кезінде (К1 нүктесі) Sк1 қуаты, шинадан қорғап отырған желіге бағытталғанын, ал Л2 бүлінгенде (К2 нүктесі) Sк2 қуаты А1 қорғанысы қосылған жерде бағытын өзгерткенің байқаймыз. Бірінші жағдайда А1 қорғанысы қосылып, Л1 желісін сөндіру керек, ал екеінші жағдайда қосылмау керек. Сол жағдайға жету үшін, тоқ қорғанысы, қысқа тұйықтаудың қуат бағытын бақылайтын, өлшеу жабдықтарымен толықтырылады. Ол қуат бағытының болігі деп аталады. Осы жағдайда қорғаныстың кейбір сатылары, мысалы бірінші, бағытталмаған түрінде орындалуы мүмкін. Анықталу параметрлері тоқ қорғаныстарындағыдай болады. Қорғаныстын кірісті әсерлік көлемі ретінде фазалы тоқ пен кернеу немесе олардың симметриялы құраушылары болуы мүмкін.
5. 1. сурет. Тұрақты оперативті тоқтағы максималды тоқ қорғанысының сүлбесі.
Жерге тқйықталудан нөл реттік ток қорғанысын есептеу
Ι Саты . Жерге тұйықталудан қорғайтын нөл реттік сатылы тоқ қорғанысын есептеу. Жерге тұйықталудан қорғайтын нөл реттік қорғаныстың сүлбесінде соңғыдан басқа сатылардың барлығы ТҮ болып табылады, олардың іскеқосылу тоғы фиксацияланған нүктедегі жерге тұйықталу тоғынан реттелген, ал соңғы саты сондай-ақ алдыңғы бөлік қорғанысын резервтеу, - іскеқосылу тоғы сыртқы фаза аралық кезінде ТТ- ның ҚТ -лар нөлдік өткізгіштеріндегі теңсіздік тоқтарынан реттелген тоқ қорғаныстың қызметін атқарады:
... жалғасы- Іс жүргізу
- Автоматтандыру, Техника
- Алғашқы әскери дайындық
- Астрономия
- Ауыл шаруашылығы
- Банк ісі
- Бизнесті бағалау
- Биология
- Бухгалтерлік іс
- Валеология
- Ветеринария
- География
- Геология, Геофизика, Геодезия
- Дін
- Ет, сүт, шарап өнімдері
- Жалпы тарих
- Жер кадастрі, Жылжымайтын мүлік
- Журналистика
- Информатика
- Кеден ісі
- Маркетинг
- Математика, Геометрия
- Медицина
- Мемлекеттік басқару
- Менеджмент
- Мұнай, Газ
- Мұрағат ісі
- Мәдениеттану
- ОБЖ (Основы безопасности жизнедеятельности)
- Педагогика
- Полиграфия
- Психология
- Салық
- Саясаттану
- Сақтандыру
- Сертификаттау, стандарттау
- Социология, Демография
- Спорт
- Статистика
- Тілтану, Филология
- Тарихи тұлғалар
- Тау-кен ісі
- Транспорт
- Туризм
- Физика
- Философия
- Халықаралық қатынастар
- Химия
- Экология, Қоршаған ортаны қорғау
- Экономика
- Экономикалық география
- Электротехника
- Қазақстан тарихы
- Қаржы
- Құрылыс
- Құқық, Криминалистика
- Әдебиет
- Өнер, музыка
- Өнеркәсіп, Өндіріс
Қазақ тілінде жазылған рефераттар, курстық жұмыстар, дипломдық жұмыстар бойынша біздің қор #1 болып табылады.

Ақпарат
Қосымша
Email: info@stud.kz