Туындының геометриялық және механикалық мағыналары


Жоспар
І. Кіріспе
ІІ. Негізгі бөлім
- Туынды ұғымына келтіретін есептер.
- Туындының анықтамасы.
- Туындының геометриялық және механикалық мағыналары.
- Туындысы болатын функцияның үзіліссіздігі.
- Бір жақтық туындылар мен ақырсыз туындылар.
- Жоғары ретті туындылар.
- Параметр арқылы берілген функция туындысы.
- Дифференциал ұғымы.
- Дифференциалдық геометриялық мағынасы.
- Функциялар дифференциалдарының негізгі формулалары.
ІІІ. Қорытынды
IV. Пайдаланылан әдебиеттер
Кіріспе
Түзудің бойындағы белгілі бір кесіндінің бүкіл бойы қандай да болса бір затпен толтырылған болсын. Бұндай материялық кесінді үшін ені мен жуандығы еске алынбаған стерженьді аламыз. Егер берілген кесіндінің, ұзындықтары бірдей, кез келген екі бөлігінің массалары тең болса, ол кесіндінің массасын бір текті дейді.
Бізге [a, b] сегментінде анықталған y=f(x) функциясы берілсін. Анықталу облысының кез келген нүктесіндегі туындысы туралы сөз қылғанда шеттік нүктелердегі туындылар туралы мәселе де қамтылады. Басқаша айтқанда:
біріншіден,
егер, y=f(x) функциясының [a, b] сегментінің сол жақ шетіндегі туындысы туралы сөз болып отырған болса, онда
нольге тек оң жақтан ғана ұмтылғандағы
қатынасының шегін табу керек.
Ақырлы туындыны геометриялық тұрғыдан қарағанда жанаманың бұрыштық коэффициенті деп түсінетініміз бұрын айтылған. Ақырсыз туындының геометриялық мағынасын да дәл солай түсінеміз, бірақ соңғы жағдайда жанама ординаталар осіне параллель болады.
Функцияның ақырлы біржақтық туындыларының бар болуы мүмкін болса, сол сияқты, оның ақырсыз біржақтық туындылары да болуы мүмкін. Ақырсыз біржақтық туындылардың бар болуының аналитикалық сипаттамасы олардың таңбаларының әр түрлілігі болса, геометрияша сипаттамасы жалғыз ғана вертикаль жанаманың бар болатындығы.
- Туынды ұғымына келтіретін есептер.
1. Жылдамдық туралы есеп.
Материялық нүктенің бір қалыпты емес қозғалыс заңы
(1) арқылы берілген. Сонда (1) теңдеу қозғалатын материялық нүктенің жүрген жолы
- ті жолды жүру үшін жұмсалған уақыт
нің функциясы түрінде анықтайды.
t мезгілінен
мезгіліне дейінгі мерзімді
деп, сол мерзім ішінде нүктеніңжүрген жолын
деп белгілейміз. Сонда
Онда
қатынасы нүктенің t мен
мезгілі арасында өткен мерзімдегі орта жылдамдығы деп аталады.
Кез келген t мезгіліндегі жылдамдақ
деп орта жылдамдықтың
шегін айтады, яғни
Сызықтық тығыздық туралы есеп.
Түзудің бойындағы белгілі бір кесіндінің бүкіл бойы қандай да болса бір затпен толтырылған болсын. Бұндай материялық кесінді үшін ені мен жуандығы еске алынбаған стерженьді аламыз. Егер берілген кесіндінің, ұзындықтары бірдей, кез келген екі бөлігінің массалары тең болса, ол кесіндінің массасын бір текті дейді. Берілген материялық кесіндінің ұзындық бірлігіне тиесілі масса
болады. Осы
шамасы материялық кесіндінің сызықтық тығыздығы деп аталады. Нүктедегі сызықтық тығыздық ұғымын енгізу үшін ұзындығы
ге тең берілген материялық кесіндінің бір шетін координата системасының бас нүктесі деп алсақ, екінші шетінің абсциссасы
ге тең болады.
Берілген материялық кесінді
дің кез келген бөлігі
тің бойына орналастырылған заттың массасы
тің қандайда бір функциясы болады, яғни
.
Ұзындығы
ке тең
бөлігінің массасы
болады
Сонда
бөлігінің орта сызықтық тығыздығы деп аталады.
бөлігіндегі орташа сызықтың тығыздықтың
дағы шегі, яғни
шамасы
нүктесінің өте жақын қасындағы сызықтың тығыздық үшін алынады немесе материялық кесіндінің х нүктесіндегі сызықтың тығыздығы деп аталады.
Жанама туралы есеп
функцияның графигі берілген болсын.
Берілген
нүктесі арқылы жанама жүргізілсін. Ізделіп отырған жанаманың өтетін нүктесі
белгілі болғандықтан, есепті шешу үшін жанаманың бұрыштық коэффициентін, яғни жанаманың абсциссалар өсінің оң бағытымен жасайтын бұрышы
үшін
-ді яғни бұрыштық коэффициентті тапсақ жеткілікті. Ол үшін х ке аргумент өсімшесін береміз, сонда, функцияда өсімше алады, ол нүктені
деп белгілейік.
дің бұрыштың коэффициенті
Ендеше
Қисықтың берілген М нүктесінен өтетін жанама
-нің бұрыштың коэффициенті қиюшы
-дің
нүктесі қисықтың бойымен қозғала М нүктесіне ұмтылғандағы шегі
2)
анықтама
қисық сызығының берілен М нүктесіндегі жанамасы деп сол нүкте арқылы жүргізілген қиюшы
дің нүкте
қиысықтың бойымен М нүктесімен беттесуге ұмтылғандағы шектік жағдайы МТ -ні айтады. Яғни хорда (керме)
2. Туындының анықтамасы
Қандай да болса бір
сегментінде анықталған функция
берілген.
деп х тің
сегментіндегі бір нүктесін белгілейік. х ке
өсімшесін берсек, оған сәйкес
функциясы да жаңа мән қабылдайды, ол
Сонда функция өсімшесі
немесе
.
Функция өсімшесінің аргумент өсімшесіне қатынасын табамыз.
Егер тәуелсіз айнымалыныңөсімшесі
да функция өсімшесінің өзінің пайда болуына себепші болған тәуелсіз айнымалының өсімшесіне қатынасының шегі бар болса, яғни
бар болса, бұл шек
функциясының тәуелсіз айнымалы х бойынша алынған
нүктесіндегі туындысы деп аталады. Туындының белгіленуі :
1) Лейбницше
2) Логранж :
немесе
3) Коши:
немесе
Егер
функциясының
сегментінің әрбір х нүктесінде туындысы
бар болса, ол
-тің өзі де х-тің сол
сегментінде анықталған функциясы болады.
Берілген
функциясының туындысы
-ті іздеп табу амалы ол функцияны дифференциялдау деп аталады. Дифференциялдау ережелері мен туындылардың қасиеттері туралы ілім дифференциялдық есептеу деп аталады.
3. Туындының геометриялық және механикалық мағынасы
Берілген қисықтың бойында жатқан нүкте арқылы жанама жүргізу туралы есепті қарастырғанда
деген қорытындыға келгенбіз . Осы формула бойынша туындыға геометриялық мағына беруге болады:
қисығының абщиссасы х-ке тең нүктесі арқылы жүргізілген жанаманың бұрыштық коэффициенті
функциясының туындысы
-ке тең болады.
Қозғалыстағы материялық нүктенің лездік жылдамдығы туралы есепте оның
формуласы арқылы анықталатынын білгенбіз. Қозғалыстағы нүктенің жылдамдығы оның жүрген жолы S- тен уақыт t бойыншаа алынған туындысы болады.
4. Туындысы болатын функцияның үзіліссіздігі.
Егер
сегментінде анықталған
функциясының ол сегменттің белгілі бір нүктесінде туындысы болса, ол функция сол нұктеде үзіліссіз болады.
Теорема
функциясы
нүктесінде үзіліссіз болу үшін ол функцияның сол нүктеде ақырлы туындысы болуы жеткілікті .
Д/У.
функциясының
нүктесінде ақырлы туындысы бар деп ұйғарайық
,
яғни
ақырлы шама дейік.
Мұндағы
-аргумент өсімшесі, немесе ол
ал
осы аргумент. өсімшесіне сәйкес функция өсімшесі. Функция туындысының анықтамасына сәйкес
(2)
(2) формуладан
(3)
формуласы шығады (
да
деп ұйғарамыз)
Бұдан
да
, яғни
функциясы
нүктесінде үзіліссіз.
- Бір жақтық туындылар.
Бізге [a, b] сегментінде анықталған y=f(x) функциясы берілсін. Анықталу облысының кез келген нүктесіндегі туындысы туралы сөз қылғанда шеттік нүктелердегі туындылар туралы мәселе де қамтылады. Басқаша айтқанда:
біріншіден,
егер, y=f(x) функциясының [a, b] сегментінің сол жақ шетіндегі туындысы туралы сөз болып отырған болса, онда
нольге тек оң жақтан ғана ұмтылғандағы
қатынасының шегін табу керек. Бұл жағдайда ізделетін туындыны
оң жақтық туынды
деп атайды да (1-сурет) былай белгілейді:
.
(1-сурет)
Екіншіден,
сол функцияның [a, b] сегментінің оң жақ шетіндегі туындысын есептеп табу керек болса, онда
нольге тек сол жақтан ғана ұмтылғандаы
қатынасының шегін табу керек болады, бұл жағдайда сол жақтық туынды (76-чертеж) туралы айтылады да, ол туындыны былай белгілейді:
2-сурет
Бірақ кейде [a, b] сегментінің қандай да болса бір ішкі
[a, b] нүктесінде
қатынасының шегі
нольге
нүктесінің не тек оң жағынан, не тек сол жағынан ұмтылғанда ғана бар болуы, сонымен бірге ол шектердің екеуі де бар болған жағдайда олар өзара тең болмауы мүмкін. Бұл жағдайда ол шектерді
бір жақтық туындылар
деп атайды. Берілген y=f(x) функциясының өзінің анықталу облысының ішкі нүктесі
-де бір жақтық туындылары бар болуының геометриялық мағынасы сол
нүктесінде біржақтық жанамалардың бар болуы және олардың бір бірімен
нүктесіндегі белгілі бұрыш жасауында.
3-сурет
Ақырсыз туындылар .
Қандай да болсын бір [a, b] сегментінде берілген функция y=f(x) үшін
жағдайда
қатынасы не + ∞ -ке, не - ∞ ке, ұмтылса, бұл символды ақырсыз туынды деп атайды.
Ақырлы туындыны геометриялық тұрғыдан қарағанда жанаманың бұрыштық коэффициенті деп түсінетініміз бұрын айтылған. Ақырсыз туындының геометриялық мағынасын да дәл солай түсінеміз, бірақ соңғы жағдайда жанама ординаталар осіне параллель болады. (3, 4-сурет)
Функцияның ақырлы біржақтық туындыларының бар болуы мүмкін болса, сол сияқты, оның ақырсыз біржақтық туындылары да болуы мүмкін. Ақырсыз біржақтық туындылардың бар болуының аналитикалық сипаттамасы олардың таңбаларының әр түрлілігі болса, геометрияша сипаттамасы жалғыз ғана вертикаль жанаманың бар болатындығы.
4-сурет. 5-сурет.
6-сурет 7-сурет.
Егер
-нүктесінде функцияның ақырлы туындысы болса, ол функцияның сол нүктеде үзіліссіз болатындығы бұдан бұрын айтылған болатын. Ал, егер
0 нүктесінде функцияның ақырсыз туындысы болса, оның осы нүктеде үзіліссіз болуы міндетті емес. Бұл пікірдің дұрыстығын мына мысалдан да көруге болады:
Мына функцияны алалық:
,
делік (8-чертеж) .
және
Бұл теңдіктерден функциямыз
нүктесінде ақырлы секірмелі болатынын көреміз.
8-сурет.
Енді бұл функцияның
нүктесіндегі туындысын табалық. .
Функцияның берілу шарттарына қарағанда
болады.
Демек, f(x) функциясы
нүктесінде ақырсыз туындылы функция болады; сонымен бірге ол нукте f(x) үшін үзіліс нүктесі. Сөйтіп, бұл мысалда жоғарыда айтылған пікіріміздің дұрыстығы айқын көрінді.
Бірнеше мысалдар тексерелік.
1.
функциясының
нүктесіндегі туындыcын есептеп шығару керек (9-сурет) .
Шешуі:
Демек берілген функцияның
нүктесінде тек оң жақтық туындысы ғана бар және ол туынды +∞-ке тең.
9-сурет 10-сурет
2.
функциясының
нүктесіндегі туындысын табу керек
10-сурет.
Шешу:
Демек,
нүктесінде бұл функцияның біржақтық ақырсыз туындылары бар болып шықты.
3.
функциясының
нүктесіндегі туындысын есептеп шығару керек (11-сурет) .
Шешу:
яғны
нүктесінде функцияның ақырсыз туындысы бар.
4.
функциясының -1 және 1 нүктелеріндегі туындыларын табу керек (12-сурет) .
11-сурет 12-сурет
Шешуі: Берілген
функциясының анықталу облысы [-1, +1] сегменті, олай болса, біздің туынды есептемекші болып отырған нүктелеріміз ол сегменттің шеткі нүктелері. Сондықтан біз тек біржақтық туындыларды ғана іздеуге тиістіміз,
яғни:
және
.
5. Мына функцияның
нүктесіндегі туындысын есептеп шығару керек (13-сурет) .
Шешуі.
,
13-сурет
Демек, h(х) функциясының
нүктесіндегі сол жақтық туындысы нольге тең де, оң жақтық туындысы +∞ -ке тең.
6. Жоғарғы ретті туындылар
Анықтама:
Егер
сегментінде берілген
функциясының сол сегменттің әрбір нүктесінде ақырлы туындысы
бар болса, ол туынды х- тің функциясы болады; сонымен бірге оның да сол
сегментінің қандай да болса бір
нүктесінде туындысы болуы мүмкін. Міне, осы туындыны
нүктесіндегі екінші туынды немесе
функциясының екінші ретті туындысы деп атайды да былай белгілейді:
оқылуы:
- (де икс квадрат бойынша де екі игрек ),
у екі штрих,
де екі у.
,
бөлшек деп қарастырмай, тұтас бір символ деп түсінеміз
әрқашанда бөлініп қаралмайтын операциялық символ
Егер
функциясының арқылы екінші туындысы болса, оның туындысын үшінші туынды немесе үшінші ретті туынды деп атап былай белгіленеді:
Сонымен,
ші ретті туынды
Кей жағдайларда туынды қай йнымалы бойынша алынып жатқандығын көрсету мақсатында былай да жазады:
немесе
. Сонымен,
нүктесінің қандай да болса бір маңайында
функцияның
ретті ақырлы туындысы болса, біз
нүктесінде ол функцияның
ретті ақырлы не ақырсыз туындылары, яғни
Мысал:
Екінші туындының механикалық мағынасы.
Материалық нүкте N түзудің бойымен
заңы бойынша қозғалады деп ұйғарайық. . М нүктесінің t мезгіліндегі үдеуін табу талап етілсін. М нүктесінің қозғалу жылдамдығы
формуласы арқылы табылатыны, яғни
шамасы
нің функциясы екендігі мәлім.
мезгілінен
мезгіліне дейінгі мерзімге сәйкес жылдамдықтың өсімшесін
дейік. Егер
-ні
-ге бөлсек
мен
мезгілдері арасындағы мерзім үшін
орта үдеу
.
Орта үдеудің
шегін М нүктесінің
мезгіліндегі үдеуі деп атайды, яғни үдеу
немесе
,
болмаса
болады.
Демек, түзудің бойымен қозғалатын нүктенің үдеуі
мерзім
бойынша алынған жол
тің екінші туындысы.
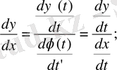
7. Параметірлік түрде функцияның туындылары
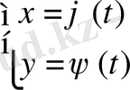
Тәуелсіз айнымалы х пен оның функциясы у -тің арасындағы тәуелділік бір ғана теңдеу арқылы берілмей, оның орнына екі теңдеу системасы арқылы, яғни
(1)
түрінде берілетін жағай жиі-жиі кездеседі, мұндағы t-параметр. (1) түрінде берілген теңдеу параметірлік теңдеу деп аталады.
Егер : 1) x=
(
),
функцияларының туындылары
немесе
бар және ақырлы,
болса;
2) егер берілген
функциясына кері функция
бар және оның
туындысы
та бар болса, онда
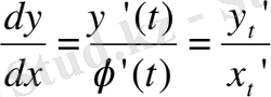
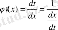
(2) функциясының да туындысы бар болады және ол туынды былай табылады:
(3)
Шынында, (2) - күрделі функция, олай болса
(4)
Бірақ,
.
Сонда (4) формула мына түрге келеді:
Мысал:1) Функция параметрлік
түрінде берілген делік .
-ті табу керек.
Сонымен бірге
.
2) Егер
табу керек.
Шешуі:
8. Дифференциал ұғымы
сегментінде анықталған функция
берілген.
осы сегменттің
бір нүктесі дейік.
Аргумент
-ге
өсімшесін берейік. Сонда
жататын болсын.
Сонда функция у -те өсімше алады, ол
болады.
Егер тәуелсіз айнымалының өсімшесі
-ке сәйкес қарастырылып отырған функцияның алған өсімшесі
-ті
(1)
түріне келтіруге болатын болса, берілген функция
нүктесінде дифференциалданатын функция деп аталады.
- Іс жүргізу
- Автоматтандыру, Техника
- Алғашқы әскери дайындық
- Астрономия
- Ауыл шаруашылығы
- Банк ісі
- Бизнесті бағалау
- Биология
- Бухгалтерлік іс
- Валеология
- Ветеринария
- География
- Геология, Геофизика, Геодезия
- Дін
- Ет, сүт, шарап өнімдері
- Жалпы тарих
- Жер кадастрі, Жылжымайтын мүлік
- Журналистика
- Информатика
- Кеден ісі
- Маркетинг
- Математика, Геометрия
- Медицина
- Мемлекеттік басқару
- Менеджмент
- Мұнай, Газ
- Мұрағат ісі
- Мәдениеттану
- ОБЖ (Основы безопасности жизнедеятельности)
- Педагогика
- Полиграфия
- Психология
- Салық
- Саясаттану
- Сақтандыру
- Сертификаттау, стандарттау
- Социология, Демография
- Спорт
- Статистика
- Тілтану, Филология
- Тарихи тұлғалар
- Тау-кен ісі
- Транспорт
- Туризм
- Физика
- Философия
- Халықаралық қатынастар
- Химия
- Экология, Қоршаған ортаны қорғау
- Экономика
- Экономикалық география
- Электротехника
- Қазақстан тарихы
- Қаржы
- Құрылыс
- Құқық, Криминалистика
- Әдебиет
- Өнер, музыка
- Өнеркәсіп, Өндіріс
Қазақ тілінде жазылған рефераттар, курстық жұмыстар, дипломдық жұмыстар бойынша біздің қор #1 болып табылады.

Ақпарат
Қосымша
Email: info@stud.kz