Физикадан зертханалық жұмыстар


Зертханалық сабақтардың мазмұны
Зертханалық жұмыстар физикалық құбылыстармен, оларды зерттеуге мүмкіндік беретін негізгі ұғымдармен, заңдармен, есептеу әдістерімен және өлшеу аспаптарымен тәжірибе жасау арқылы танысып, студенттердің өз бетімен тұжырым жасауына септігін тигізеді.
№1 зертханалық жұмыс. Тікелей өлшеулердің дәлдігін бағалау.
Жұмыстың мақсаты: микрометр мен штангенциркульдің көмегімен сымдардың диаметрін өлшеу және өлшеулердің дәлдігін бағалау.
Тапсырмалар:
1. Сызғыштың көмегімен сымның диаметрін 5-10 рет өлшеңдер. Өлшеулердің орта мәнін,
0, 95 болғандағы кездейсоқ қатенің
ықтималдық мәнін, өлшенген шаманың салыстырмалы қатесін табыңдар. Өлшеулер нәтижесін кестеге түсіріңдер.
2. Сымның диаметрін штангенциркульмен 5-10 рет өлшеп, өлшеудің орта мәнін,
0, 95 болғандағы кездейсоқ қатенің мәнін өлшеп, ықтималдық және өлшенген шаманың салыстырмалы қатесін анықтаңдар.
3. Өткізгіштің диаметрін 5-10 рет микрометрмен өлшеп, бұрынғыдай оның орта мәнін және
0, 95 болғандағы қатенің ықтималдық мәнін, салыстырмалы қатесін табыңдар.
Қосымша әдебиет: 13 [5-11]
Бақылау сұрақтары:
1. Сенімділік интервалы және сенімділік ықтималдығының мағынасын қалай түсінесің?
2. Орташа квадраттық қате мен стандарт қателердің айырмашылығы қандай?
3. Салыстырмалы қате деген не?
4. Сенімділік интервалы және сенімділік ықтималдығы ұғымдарын мектепте қалай пайдалануға болады?
№2 зертханалық жұмыс. FRM-04 универсалды маятниктің көмегімен математикалық және физикалық маятниктердің тербеліс заңын анықтау.
Жұмыстың мақсаты: FRM-04 универсалды маятниктің көмегімен еркін түсу үдеуін анықтау.
Тапсырмалар:
1. Фотоэлектрлік датчигі бар төменгі кронштейнді бағанның төменгі ұшына бекіту керек. Сонда кронштейннің жоғарғы қыры шкаладағы “50” см деген белгінің тұсында тұру керек.
2. Жоғарғы кронштейнді бұру арқылы математикалық маятникті датчиктің үстіне орналастыру керек.
3. Жоғарғы кронштейндегі тетікті бұрау арқылы математикалық маятниктің қажетті ұзындығын тағайындап алу керек. Сонда шариктің бетіндегі сызық датчиктің корпусындағы сызықпен жалғасу керек.
4. Маятникті 4-6 0 бұрышқа бұрып жібергеннен кейін, құралдың “сброс” деген түймесін басу керек.
5. Маятник 10 тербеліс жасағаннан кейін “стоп” түймесін басып, индикатордағы уақыттың мәнін жазып алу керек.
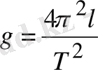
6. Құралдың шкаласынан маятниктің ұзындығын,
өрнегі арқылы тербеліс периодын анықтап, (10) өрнектен еркін түсу үдеуінің мәнін есептеп шығару керек.
(10)
Негізгі әдебиет: 1[234-238]
Қосымша әдебиет: 2[137-142], 3[10-11], 13[161-165]
Бақылау сұрақтары:
1. Гармоникалық тербелістер деп қандай тербелістерді айтады?
2. Гармоникалық тербелістің теңдеуін қорытып жаз.
3. Фаза, бастапқы фаза деген шамалардың физикалық мағынасын түсіндір.
4. Маятниктің қозғалысына әсер ететін күштерге сипаттама бер.
5. Математикалық маятник пен айналмалы маятниктің айырмашылығы неде?
№3 зертханалық жұмыс. Ауаның абсолют салыстырмалы ылғалдылықта-рын және психрометр тұрақтысын анықтау.
Жұмыстың мақсаты: ауа ылғалдылығының физикалық мағынасын түсіну және абсолют салыстырмалы ылғалдылықты анықтау әдістерімен танысу.
Тапсырмалар:
1. Вентиляторды іске қосу керек.
2. Сулы термометрдің көрсетуі орнықты мәнге жеткен кезде t 2 және t 1 мәндерін жазып алады. Бұл 3-5 рет қайталанады.
3. t 2 мәндеріне сәйкес P k мәндері кесте арқылы табылады.
4. Психрометрлік кесте арқылы салыстырмалы ылғалдылық
табылады.
5.
формуласы арқылы P
a
абсолюттік ылғалдылық табылады.
6. Барометр арқылы ауа қысымы Н табылады.
7. Өлшенген және табылған шамалар арқылы психрометр тұрақтысы А (4) формуламен анықталады.
Қосымша әдебиет: 4[237-238], 14[92-95]
Бақылау сұрақтары:
1. Қаныққан бу серпімділігі деп нені айтады?
2. Неге салыстырмалы ылғалдылық деген ұғым енгізілген?
3. Психрометрлік тұрақтылық А барлық психрометр үшін бірдей ме?
№4 зертханалық жұмыс. Ауаның меншікті сыйымдылықтарының қатынасын адиабаталық ұлғаю әдісі арқылы анықтау.
Жұмыстың мақсаты: газдардың жылу сыйымдылығының қысымға (Р) және көлемге (V) тәуелділігін зерттеу және ауа үшін
қатынасын анықтау.
Тапсырмалар:
1. С кранның жабықтығына көз жеткізіп алғаннан кейін, манометрдегі сұйық деңгейлерінің айырмашылығы 60-100 мм шамаға жеткенше насос арқылы ауа үрлейді.
2. Баллондағы қысым тұрақталған кезде (сұйық деңгейлерінің қозғалысы тоқтағанда), сұйық деңгейлерінің h 1 айырмашылығын жазып алады.
3. С кранды тез ашып, деңгейлер теңескенде қайта жабады. Қысым тұрақталғанда манометрдегі сұйық деңгейлерінің h 2 айырмашылығын жазып алады.
4. Тәжірибені h 1 -ді өзгерте отырып, 5-7 рет қайталайды.
5. h
1
мен h
2
мәндерін соңғы формулаға қойып,
Equation. 3 мәндерін табады.
6. Өлшеу нәтижелері кестеге енгізіледі.
Негізгі әдебиет: 1[339-347]
Қосымша әдебиет: 1[83-85], 3[35-37], 4[108-132], 13[62-68], 14[24-26]
Бақылау сұрақтары:
1. Тұрақты қысымдағы жылу сыйымдылық тұрақты көлемдегі жылу сыйымдылықтан неге артық?
2. Газдардың жылу сыйымдылығы классикалық теориясының негізгі қағидаларын баянда.
3. Баллонға ауа кіргенде және шығарғанда, оның ішіндегі ауа температурасының айналадағы ауа температурасымен теңелгенін қайдан білеміз?
№5 зертханалық жұмыс. Тізбектей және параллель жалғанған өткізгіштердің кедергілерін зерттеу.
Жұмыстың мақсаты: тізбектей және параллель жалғанған өткізгіш кедергілеріндегі токтың жүру заңдарын оқып үйрену, кедергілерді есептеу формуласын анықтау.
Тапсырмалар:
1. Құрастыру үстелінде 3-суретте көрсетілген схеманы жинаңдар. Кедергілерді R 1 =1 кОм; R 2 =2 кОм; R 3 =3 кОм; R 4 =4 кОм деп алыңдар.
2. Мультиметрдің көмегімен (кедергілерді өлшеу жағдайында) А және С; С және D; А және D нүктелерінің арасындағы кедергілерді эксперимент түрінде өлшеңдер. Көрсетулерді жазып алыңдар.
3. Жоғарыда келтірілген нүктелердің арасындағы кедергілердің теориялық мәндерін есептеңдер және оларды эксперименттік мәндермен салыстырыңдар. Тәжірибеден қандай тұжырым жасауға болады?
4. Мультиметрдің көмегімен (токты өлшеу жағдайында) әрбір кедергі арқылы жүретін ток күшін өлшеңдер. Өлшеулерді жазып алыңдар.
5. Экспериемент түрінде тізбектей жалғанған кедергілердегі токтың шамасының әрбір кедергілерде бірдей болатынын, ал параллель жалғанған кедергілерде токтардың алгебралық қосындысы жалпы токқа тең болатынын тексеріңдер.
6. Мультиметрдің көмегімен (тұрақты кернеуді өлшеу жағдайында) әрбір кедергілердегі кернеуді есептеңдер. Құралдың көрсетуін жазып алыңдар.
7. Эксперимент түрінде тізбекті желідегі жалпы кернеудің желідегі әрбір элементтің кернеулерінің қосындысына тең болатынын, ал параллель желіде кернеудің әрбір элементте бірдей болатынын тексеріңдер.
Негізгі әдебиет: 2[105-108]
Қосымша әдебиет: 2[1[150-151], 2[104-107], 7[85-86]
Бақылау сұрақтары:
1. Екі параллель жалғанған өткізгіштердің бөлігіндегі кедергілердің шамасы бір-бірінен көп (аз) болуы мүмкін бе? Жауаптарыңды түсіндіріңдер.
2. Тізбектей және параллель жалғанған өткізгіштердің кедергілерін есептеу формулаларын қорыту үшін қандай заңдылықтар қолданылады?
3. Жоғарыда келтірілген формулалар мен өткізгіштің кедергісін оның геометриялық параметрлері арқылы есептеу формуласы
арасындағы ұқсастықты талдаңдар. Ұқсастықтың мәнісі неде?
№6 зертханалық жұмыс. Тұрақты ток көзінің ішкі кедергісі және ЭҚК. Толық тізбек үшін Ом заңы.
Жұмыстың мақсаты: ток көзінің ішкі кедергісін және ЭҚК-ін анықтау.
Тапсырмалар:
1. 1-суретте көрсетілген схеманы құрастырыңдар. Реостаттың кедергісін 7 Ом, батарейканың ЭҚК-ін 1, 5 В, ал ішкі кедергісін 3 Ом деп алыңдар.
2. Кілттің қосылмаған жағдайында мультиметрдің көмегімен батарейканың кернеуін өлше. Бұл (7) -ші формулаға сәйкес батарейканың ЭҚК-і болып табылады.
3. Кілтті қосып реостаттағы ток күші мен кернеуді өлшеңдер. Құралдың көрсетуін жазып алыңдар.
4. Реостаттың кедергісін өзгерте отырып, ток күші мен кернеудің басқа мәндерін жазыңдар.
5. Реостат тетігінің 6 түрлі жағдайындағы ток күші мен кернеудің мәндерін өлшеңдер және оларды кестеге жазыңдар.
6. (6) -шы формула бойынша ішкі кедергіні есептеңдер.
7. ЭҚК пен батарейканың ішкі кедергісін есептеу кезіндегі абсолютті және салыстырмалы қателіктерді табыңдар.
Негізгі әдебиет: 2[101-109], 5[14-15]
Қосымша әдебиет: 1[147-152], 2[102-108], 13[106-108]
Бақылау сұрақтары:
1. Толық тізбекке арналған Ом заңын қорытыңыз.
2. Тізбек тұйықталмаған жағдайда ток көзінің ЭҚК-і неге тең болады?
3. Ток көзінің ішкі кедергісі неден пайда болады?
4. Батарейка қысқаша тұйықталған кезде пайда болатын ток күші немен анықталады?
№7 зертханалық жұмыс. Тармақталмаған электр тізбегін зерттеу.
Жұмыстың мақсаты: тармақталмаған электр тізбегінде оны құраушы реактивті элементтердің параметрлерін өзгерту арқылы тізбекте резонанстық құбылысты туғызу және оны зерттеу.
Тапсырмалар:
1. Қолданылатын құрал-жабдықтармен танысып, тізбекті зерттеуге арналған схема құралады (5-сурет) және оқытушымен бірігіп тексеріледі.
2. Схеманы 220 В ток көзіне қосып, автотрансформатордың (Тр) көмегімен тізбектің кірісіне V 1 -вольтметрінің көрсетуі бойынша U=25-30 В кернеу тағайындау керек және тәжірибе аяқталғанша тұрақты ұстау керек.
3. Алдымен конденсатордың сыйымдылығын аз шамадан бастап өзгерту арқылы тізбектегі токтың, қуаттың және элементтердің кернеулерінің өзгерістері 1-кестеге толтырылады. Электрлік шамаларды өлшеу барысында тізбекте резонанстың орнау процесін мұқият бақылайды. Резонанс орнаған кезде, тізбектегі ток максималды, реактивті элементтердің кернеулері өзара тең және тізбектің кірісіндегі кернеуден әлдеқайда жоғары болады:
I=I 0 ; U 2 =U 3 >>U
Тәжірибені тізбектегі ток максималды мәні арқылы өтіп, қайтадан минималды шамаға ауысқанша жүргізеді.
4. Өлшеу нәтижелері бойынша тізбектің резонансқа дейінгі, резонанс кезіндегі және резонанстан кейінгі күйлерін векторлық диаграммалары мен кедергілер үшбұрыштары масштабпен миллиметрлік қағазға сызылады. Оларды сызу үшін қажет есептеу нәтижелері 2-кестеге жинақталады. Кестеде көрсетілген шамалар берілген өрнектер арқылы анықталады.
5. 1-кестедегі өлшеу нәтижелерін пайдалана отырып, тізбектің резонанстық қисықтары салынады.
6. Тәжірибелер аяқталғаннан кейін, тізбек ток көзінен ажыратылады.
7. Жұмысқа дайындау және орындау барысында бақылау сұрақтарына жауап беріледі.
Негізгі әдебиет: 2[338-341], 5[264-279], 10[17-27]
Қосымша әдебиет: 1[206-207], 2[156-157], 3[89-90], 7[97-98]
Бақылау сұрақтары:
1. Электр тізбегіндегі резонанстың физикалық мағынасы және түрлері.
2. Тармақталмаған тізбекте резонансты туғызу жолдары.
3. Тізбектегі токтың және оның кірісіндегі кернеудің аналитикалық өрнектерін өлшеу нәтижелерін пайдалана отырып резонанстық күй үшін жазып шығар.
4. Кернеудің активті және реактивті құраушылары деп қандай шамаларды айтады және олар қалай табылады?
5. Тізбектің векторлық диаграммалары не үшін қажет және олар қалай сызылады?
№8 зертханалық жұмыс. Тармақталған электр тізбегін зерттеу.
Жұмыстың мақсаты: айнымалы ток көзіне қосылған тармақталған RLC-тізбектегі резонанстық процесстерді зерттеу, тізбекте резонансты туғызу жолдарымен танысу, оның резонанстық қисықтарын экспериментальды түрде алу және тізбектің векторлық диаграммаларын салып үйрену.
Тапсырмалар:
1. 5-суретте көрсетілген схема құрылып, оқытушының көмегімен тексеруден өткізіледі.
2. Схема электр желісіне қосылып, трансформатордың көмегімен тізбекке берілетін кернеудің шамасы тағайындалады (~100 В) .
3. Тізбектің индуктивтілігін өзгеріссіз қалдырып, схемадағы қуаттың, тармақтардағы токтардың шамаларының конденсатордың сыйымдылығына тәуелділігі экспериментальды түрде алынады. Сыйымдылықтың өзгеру диапазоны кем дегенде 8-10 өлшем жүргізетіндей аралықта болуы керек. Өлшеу нәтижелері 1-кестеге жинақталады және оларды пайдалана отырып, тізбектің резонанстық сипаттамалары салынады. Тізбекте резонанстың орнауын тармақтардағы токтардың тең, ал тізбектің кірісіндегі токтың минималды болуынан аса мұқияттықпен бақылау қажет.
4. Өлшеу нәтижелері бойынша, тізбектің барлық көрсеткіштері есептелініп, резонансқа дейінгі (в L >в C , I 1 >I 2 ), резонанс кезіндегі (в L =в C , I 1 =I 2 ), резонанстан кейінгі (в L <в C , I 1 <I 2 ) жағдайлар үшін оның векторлық диаграммалары салынады. Есептеу нәтижелері 2-кестеге топтастырылады.
5. Жұмыстың қорытындысында алынған экспериментальды сипаттамалар-ға толық теориялық түсініктеме беріледі және бақылау сұрақтарына жауаптар дайындалады.
Негізгі әдебиет: 2[348-351], 5[264-280], 10[28-35]
Қосымша әдебиет: 1[203-207], 2[156-157], 7[95-96]
Бақылау сұрақтары:
1. Токтар резонансының физикалық мағынасы қандай?
2. Параллель контурда резонанстың орнау шарттары?
3. Тізбекте резонансты қандай жолдармен туғызуға болады?
4. Өлшеу және есептеу нәтижелерін пайдалана отырып, тізбектегі токтың, кернеудің және қуаттың аналитикалық теңдеулерін жаз.
№9 зертханалық жұмыс. Логикалық элементтерді зерттеу.
Жұмыстың мақсаты: Логикалық схемаларды зерттеу. Логикалық элементтердің көмегімен логикалық функцияларды орындау.
Тапсырмалар:
1. ЖӘНЕ логикалық функциясын зерттеу
а) Логикалық сигналдардың деңгейін беру.
1-суреттегі схеманы құрастыр. Бұл схемада А және В екі позициялы кілттер логикалық схеманың кірістеріне 0 деңгейін (кілттің төменгі күйдегі контактсі) немесе 1 деңгейін (кілттің жоғарғы күйдегі контактісі) береді. Схеманы қос. В кілтін төменгі күйге қой. Вольтметрмен В кірісіндегі кернеуді өлшеңіз және логикалық байқағыштың көмегімен логикалық сигналдың деңгейін анықта. В кілтін жоғарғы күйге әкел. Логикалық сигналдың деңгейін анықта және вольтметрдің көрсетуін жаз; у шығысында қандай логикалық сигнал пайда болатындығын анықта. Нәтижелерді кесте түрінде толтыр.
б) ЖӘНЕ элементінің ақиқаттығының кестесін экспериментальды алу. Схеманың кірістеріне барлық мүмкін сигнал деңгейлерінің АВ комбинациясын бер және әрбір комбинация үшін у шығыс сигналының деңгейін тірке және логикалық схеманың ақиқаттық кестесін толтыр.
2. ЖӘНЕ -ЕМЕС логикалық функцияларын зерттеу
Екі ЖӘНЕ мен ЕМЕС эленменттерінен құралған 2ЖӘНЕ-ЕМЕС логикалық элементтерінің ақиқаттық кестесін экспериментальды алу.
а) 2-суреттегі схеманы құрастыр. Схеманы қос. Схеманың кірістері мен шығыстарындағы сигналдарының деңгейін логикалық байқағыштардың көмегімен бақылап, кіріс сигналдарының барлық мүмкін комбинацияларын бер, 2 ЖӘНЕ-ЕМЕС логикалық схемасының ақиқаттық кестесін толтыр.
3. НЕМЕСЕ логикалық функциясын зерттеу
а) НЕМЕСЕ логикалық элементінің ақиқаттық кестесін эксперименталды алу.
3-суреттегі схеманы жина. Схеманы қос. Схеманың кірістері мен шығыстарындағы сигналдардың деңгейін логикалық байқағыштардың көмегімен бақылап, кіріс сигналдарының барлық мүмкін комбинацияларын бер, НЕМЕСЕ логикалық схемасының ақиқаттық кестесін толтыр.
б) Функция үшін аналитикалық өрнек алу.
Кесте бойынша функцияға аналитикалық өрнек құр және кестені толтыр.
Негізгі әдебиет: 4[255-258], 5[328-332], 6[77-82]
Қосымша әдебиет: 7[189-192], 10[2-T. 219-238]
Бақылау сұрақтары:
1. Логикалық айнымалы және логикалық сигнал деген не? Олар қандай мәндерді қабылдай алады?
2. Логикалық функция деген не?
3. ЖӘНЕ, НЕМЕСЕ, ЕМЕС логикалық элементтерінің құрылысын және жұмыс істеу принциптерін түсіндіріңдер.
4. Логикалық элементтер қайда қолданылады және қандай қызметтер атқарады?
№10 зертханалық жұмыс. Бір жарты периодты және екі жарты периодты түзеткіш.
Жұмыстың мақсаты: бір жарты периодты және екі жарты периодты түзеткіштердің схемасындағы процестерді талдау. Түзеткіш схемасындағы трансформатор жұмысын зерттеу.
Тапсырмалар:
1. Бір жарты периодты түзеткіштің кіріс және шығыс кернеулерін зерттеу .
а) 1-суреттегі схеманы құрастырыңыз. Схеманы қосыңыз. Осциллографтың А кірісіне шығыс сигналы, ал В кірісіне - кіріс сигналы түседі. «Эксперимент нәтижелері» бөліміне осциллограммалардың суретін сал. Максималь кіріс және шығыс кернеулерін өлше.
б) Осциллограмма бойынша шығыс кернеудің Т-периодын өлше және нәтижесін «Эксперимент нәтижелері» бөліміне жаз. Шығыс сигналының жиілігін есепте.
в) Диодтағы U max максималь кері кернеуді анықта және «Эксперимент нәтижелері» бөліміне жаз.
г) Бос жүріске жақын режимдегі трансформатордың бірінші және екінші орамасындағы кернеулер амплитудасының қатынасын, яғни трансформация коэффициентін есепте. «Эксперимент нәтижелері» бөліміне нәтижесін жаз.
... жалғасы- Іс жүргізу
- Автоматтандыру, Техника
- Алғашқы әскери дайындық
- Астрономия
- Ауыл шаруашылығы
- Банк ісі
- Бизнесті бағалау
- Биология
- Бухгалтерлік іс
- Валеология
- Ветеринария
- География
- Геология, Геофизика, Геодезия
- Дін
- Ет, сүт, шарап өнімдері
- Жалпы тарих
- Жер кадастрі, Жылжымайтын мүлік
- Журналистика
- Информатика
- Кеден ісі
- Маркетинг
- Математика, Геометрия
- Медицина
- Мемлекеттік басқару
- Менеджмент
- Мұнай, Газ
- Мұрағат ісі
- Мәдениеттану
- ОБЖ (Основы безопасности жизнедеятельности)
- Педагогика
- Полиграфия
- Психология
- Салық
- Саясаттану
- Сақтандыру
- Сертификаттау, стандарттау
- Социология, Демография
- Спорт
- Статистика
- Тілтану, Филология
- Тарихи тұлғалар
- Тау-кен ісі
- Транспорт
- Туризм
- Физика
- Философия
- Халықаралық қатынастар
- Химия
- Экология, Қоршаған ортаны қорғау
- Экономика
- Экономикалық география
- Электротехника
- Қазақстан тарихы
- Қаржы
- Құрылыс
- Құқық, Криминалистика
- Әдебиет
- Өнер, музыка
- Өнеркәсіп, Өндіріс
Қазақ тілінде жазылған рефераттар, курстық жұмыстар, дипломдық жұмыстар бойынша біздің қор #1 болып табылады.

Ақпарат
Қосымша
Email: info@stud.kz