Венера планетасы


Мазмұны.
Кіріспе . . . 4
І тарау . Венера планетасы туралы жалпы мағұлымат . . . 7
- Венера планетасы жөнінде тарихи деректер . . . 6
- Венера планетасының көрінерлік қозғалысы, конфигурациялары және орбитасы . . . 9
- Венераның массасы, радиусы, тығыздығы . . . 15
- Венера планетасының атмосферасы . . . 19
ІІ тарау. Венера планетасының ғарыштық зерттелу тарихы . . . 22
2. 1 Жер бетінен зерттеу әдісі . . . 23
2. 2 Радиолокациялық әдіспен зерттеу әдісі . . . 28
2. 3 Венера планетасын ғарыштық аппараттар көмегімен зерттеуі. («Венера», «Молния», «Маринер») . . . 32
ІІІ тарау. Венера планетасын зерттеген ғарыштық аппараттардың құрылысы.
- «Венера» автоматтық станциясының құрылысы . . . 36
- «Пионер -Венера» ғарыштық аппаратының құрылысы . . . 43
- «Венера - Экспресс» аппаратының құрылғылары . . . 45
ІV тарау. Венера планетасының ғарыштық зерттеулерінің нәтижелері.
4. 1 «Венера» автоматтық станцияларының нәтижелері . . . 49
4. 2 «Пионер - Венера» ғарыштық аппаратының Жерге жіберген нәтижелері . . . 57
4. 3 «Магеллан» программасы . . . 60
4. 4 «Венера - Экспресс» автоматтық станциясы нәтижелері . . . 61
Қорытынды . . . 64
Пайдаланған әдебиеттер саны . . . 66
Кіріспе
Ғарыштық кезеңнің басталғанына жарты ғасыр. Ғарыштық техниканың дамуының алғашқы этапы - әскери бағытта болды. Ғарыштық техниканың екінші этапы - космостық кеңістікті толық маштабта игеру болып табылды.
Кеңес Одағы 1957 жылы бірінші рет Жердің жасанды серігін жіберді. Ол арқылы ғарыштық нысаналарды бақылауға мүмкіндік алды. Венераны зерттеу бірінші космостық аппараттардан басталды. Барлаушылар әлемі - автоматтық ғаламшар аралық станция - Күн жүйесін зерттеу мақсатымен ұшырылды. 1962 жылы 16 наурызда Жер орбитасына Денепрлік спутник - 2 сынақ түрінде нәтижелі шығалылды. Бұдан кейін де «Южное» конструкторлық бюросы мамандары өңдеп, тағы 400 космостық аппаратты жіберді. Мысалы: «Циклон», «Зенит», «Денепр» т. с. с. Космостық аппараттар көмегімен алынған ақпараттардан адамзат баласы Жер мен жақын космос жайында айтарлықтай ғылыми дәрежеге қол жеткізді. Үшінші этапы - космостық техниканың дамуының жаңаша сапасы блды. Бұдан алғаш рет космоспен байланысу жүиесі басты мақсат болып табылды. Адамзат баласы бұл кезеңде навигациялық космостық жүйеміз, метеорологиялық спутниктерден алынған ақпаратсыз өмір сүре алмайды.
Осы мәселелерді талдай отырып Қазақстан Республикасы әлемдік елдер қатарына, осы заманғы идеялар мен технологиялар рыногының шын мәнәнде ажырағысыз да серпімді бөлігіне айналуымыз керек. Қазақстан үшін қолайлы шарттар мен БСҰ ға кіруі - біз қол жеткізуге міндетті мақсат. Бізге халықаралық техникалық стандарттарды барынша жедел де кеңінен енгізу қажет. [12]
Біз Қазақстанның өте бай Жер қойнауын игеріп жатқан шетелдік әріптестерімізді елдің мүддесіне қарай нақты бетбұрыс жасап, біздің экономикамызды әртараптандыруға шешуші түрде қатысуға, әлбетте, нарықтық негізде қатысуға көндіруге тиіспіз. Қазақстан өзінің ғылыми әлеументіне қоса жоғары технологиялардың халықаралық бизнесіне қатысты және оған бастапқы құрылтайлық денгейде қатысуы жөнінде бастамшылық танытатын уақыт жетті деп білемін. Біздің осы орайда экономикалық дамудың барынша серпілісті бағыттағы озық технологиялық идеяларды игеру үшін күллі дүние жүзіндегі жаңа немесе енді қалыптаса бастаған жоғарғы компаниялар акцияларының пакеттерін сатып алатын басқа елдердің өнегесіне ден қойғанымыз абзал және қолда бар мүмкіндікті Байқоңыр ғарыш айлағындағы шетелдің озық технологияларын бойымызға сіңіре білу және игеруіміз қажет.
Дипломдық жұмыстың аты «Венера планетасының ғарыштық зерттелу тарихы» болып табылады. Ондағы негізгі мақсат Венера планетасын зерттеген ғарыштық аппараттардың тарихын қарастыру, басқаша айтқанда ғарыштық зерттеулердің негізгі мақсатын, жобаларын, олардың ұшқан траекторияларын, оны зерттейтін аппарат неден құрастырылғанын және оның қай дәрежеде жұмыс істейтіні, нәтижелерінің барысы жайында ашып көрсету немесе зерттеу.
Осы жұмыстың негізгі міндеттері :
- Ғарыштық дәуірге дейінгі Венера планетасы жөнінде жалпы мәліметтер, олардың жеткіліксіздігіне көз жеткізу . Ғарыштық дәуірге дейін Венера планетасының атмосферасының ашылуы және оның параметрлерінің белгісіздігі.
- «Венера» аппараттарының жобаларын қарастыру. Олардың планета бетінен ұшып өтуі және бұлт қабатын кесіп өтіп планета бетін зерттеуі.
- «Маринер» ғарыштық аппаратының жобасы және әкелген нәтижелерінің маңыздылығы. [14]
- «Венера - Экспресс» соңғы ұшырылған аппарат жөнінде және оның зерттеу программасы және оптикалық құрылғылары.
- Ғарыштық зерттеулерден алынған нәтижелердің сапалылығы және Жер бетіндегі бақылау нәтижелерімен салыстырғанда айырмашылығы яғни нақтылылығы.
Дипломдық жұмыстың құрылымы 4 тараудан тұрады. Олар: 1 тарау Венера планетасы туралы жалпы мағұлымат - деген тақырыпта. Ол 4 бөлімнен тұрады яғни Венера планетасы туралы тархи деректер, Венера планетасының көрінерлік қозғалысы, конфигурациялары және орбитасы, Планетаның массасы, радиусы, тығыздығы жайында, соңғы бөлімі Планетаның атмосферасы жайында мағұлыматтар кездеседі. 2 тарау Венера планетасының ғарыштық зерттелу тарыхы деген атауға ие. Ол үш бөлімнен құралған яғни Жер бетінен зерттеу әдістері, Радиолокациялық әдіспен зерттеу, Ғарыштық аппараттар көмегімен зерттеу жайында жазынған. Ал 3-ші тарау Венера планетасын зерттеген ғарыштық аппараттардың құрылысы - деген тақырыпта. Ол үш бөлімнен тұрады: 1-ші бөлімінде «Венера» автоматтық станциясының құрылысы. 2-ші бөлімінде «Пионер -Венера» ғарыштық аппаратының құрылысы, 4-ші бөлімінде «Венера -Экспресс» автоматттық станциясының құрылымы кездеседі. 4-ші тарауда Венера планетасының ғарыштық зерттеулерінің нәтижелері. Ол 4 бөлікке бөлінген: 1-ші бөлікте «Венера» автоматтық станцияларының нәтижелері, 2-ші бөлімінде «Пионер - Венера» ғарыштық аппаратының нәтижелері. 3-ші бөлімде «Магеллан программасы», 4-ші бөлімде «Венера - Экспресс» автоматтық станциясы нәтижелері зерттеу программасы.
Қорытынды Венера планетасын болашақта зерттеуі.
- Бұл жұмыста пайдаланған әдебиеттер саны 62. [35]
I тарау. Венера планетасы туралы жалпы мағлұматтар.
1. 1 Венера планетасы жөніндегі тарихи деректер.
Планеталардың ішінен өзінің жарықтылығымен ерекшеленетін тіпті күндіз де көрінетін планета бар, ол қазіргі астрономияда Венера деп аталатын планета болып табылады.
Вавилондықтар бұл планетаны аспанның жарық факелі деп, оны құдайлар анасы Иштар атымен атаған. Бұл планетаның әдемілігімен байланыстырып, көптеген халық оны әйел затына теңеген. Қытайда оны Тай- Пи немесе айдай сұлу деп атаған. Ал Римдіктер махаббат пен сұлулық құдайы мәртебесіне орай оны венера деп атын қойған. [61]
Дагистанда тұратын түркі тілдес құмықтар Венераны Танг Чолпан немесе Ярык Юлдыз деп атаған. Құмықтардың халық өлеңдерінде:
«Ярык Юлдыз ерге айналмай, Танг аьлмас,
Бир агьаргьан акь сакьаллар дагьы кьаралмас».
Ал Орыс халқы Венера планетасын Чигирь деп атаған. «Чигирь» - деген батып шығатын таң ертенгі жұлдыз мағанасын береді. Оның екінші аты Денница. Мысалы:
«Блеснет заутра луч Денница
И заиграет яркий днеь . . . »
Ежелгі римдік ақыны Лукрецийдің «О природе вещей» атты өлеңі Венераның сұлулығының бір қырын ашты:
Рода Энеева мать, людей и бессмартных услада,
О, благая Венера!
Под небом скользящих созвездий
Жизнью ты пополняешь и все судносное море,
И плодородные земли; тобою все сущие твари, родившися
Жить начинают и свет солнечный видят.
Ветры, богиния, бегут перед тобою; с твоим приближением
Гучи уходят с небес, Земля - искусница пыщный
Стелет цветочный ковер, улыбаются волны морские,
Инебесводе лазурь сияет разлившимся светом. [42]
Қазақтар Таң жұлдызы немесе Таң шолпан деп атаған. Кейде қазақта « Шолпан туа түнектегі керуен де көшеді. » деген. Сондықтан оған Керуен жұлдызы деген ат та танылған. Қазақтар арасында да Күн мен Айдан кейінгі ең қадірлі шырақ таң Шолпаны. Ел аузында Ай мен Күн үзенгілес жүретін болса, Венера Аймен тетелес келеді. Қазақ халқының поэзиясында Венера жөніндегі өлеңдер көп кездеседі:
«Үркер Айдың жарығы, Шолпан қызы . . . »
«Ажарың ақ түлкідей қашқан құмнан,
Шолпандай таң алдында жалғыз туған».
« Таң сарғайып атқанда,
Шолпан жұлдыз батқанда . . .
Таң шолпаны батқанда,
Қызарып Күн шыққанда» [1]
Ертеднгі қазақтар Шолпанды ең көп бақылап жарығының ерекше екенін көрген қойшылар, жылқышылар, күзетшілер болатын. Шолпан бірде шақшиып, бірде сеніп (аш) туып, бірде тумай жатып қалып, кейде жаздыгүні таңсәріде, кейде іңірде қыстыгүні туып «түрлене жүреді». Кейде Шолпан ағарып Күннің ажарымен, не бер жағымен өтеді де, Күн жағына шомылып, бізге едәуір уақыт (кейде 5 - 6 ай) көрінбей қалады. Ел мұны Шолпан «жатып қалды» дейді. Шолпан мен жердің арақашықтығы әлгідегідей өзгеріп отыратын болғандықтан, ол бірде «аш» (кішкентай болып), ал бірде Айдай жарқырап туады. Шолпанның Күнді айналуының синодтық периоды дейтіні 584 тәулік. Осы мерзім ішінде Шолпан екі рет көрінбейді («тумай») қалады. Яғни бір жатып қалу мен екінші жатып қалуының арасы орта есеппен 9ай 20 күн. Көрер көзге Венера жүрісінде мынадай төрт мерзім кезек-кезек алмасып отырады: Таң алдында тууы, жатып қалуы, іңірде тууы, тағы жатып қалуы. Осы мерзімнің әрқайсысы орта есеппен 4 - 5 айға созылады және жылдың әр мезгіліне ауысып келіп отырады. Шолпан жолы эклиптикаға жуық . Ал қыс аяғына қарай іңірде эклиптика аспанда тігірек тұрады. Міне сондықтан кешкі тұрым батыста Шолпан элонгация кезінде күн санап өрлеп, қыстың қараңғы аспанында ерекше шақшияды. Ал жаз, күз айларында іңірде Венера төмендеп жүреді. Осы іңірде туған шақшиып туған Шолпанды қазақтар оны «жарық жұлдыз немесе тұлқатын, не нарық жұлдыз, не зүхра жұлдыз» деп атаған. Бұлай атауының себебі ақпан, қаңтардың сырқыраған қызыл шұнақ аязы. Кеш бата аяз күшейінкірегендіктен, аяз сорған арық мал өле бастайды. Қасарысқан аязбен бірге, көзге байлана шатынаған жұлдызды көргенде долы әйелдің шақырайған көзі еске түседі. [53] Суықпен қасқабатталған жұлдыз елге ұнамайды. Елдің тұлқатын туып, өрлей берсе, қыс қатая береді дегені бар. Бірақ күннің суытуына Шолпанның қатысы жоқ, қысқа қарай батыста болған Шолпан өрлемей (шақшимай) тұра алмайды. Оның жолы солай. Қысқы қиыншылықты, әсіресе жұтты пайдаланып саудагерлер нарықты одан бетер көтереді. Сол кезде батыстан шатынап көтерілетін Шолпан аңқау елдің аузында нарық жұлдызы болып та аталады. Тіпті ежелгі астрономдар таң ата және күн батқаннан кейін аспан денесіне екітүрлі ат берген - Фосфор және Люцифер.
Венера туралы әртүрлі халықтардың аузында осындай - осындай әңгімелер, өлеңдер көп таранған. Венера өзгеден бөлек, жарқыраған асыл жұлдыз, жарқыраған кішігірім Айдай деген сөздер, мақтаулар шексіз. [60]
1. 2 Венера планетасының көрінерлік қозғалысы, конфигурациялары және орбитасы.
Венера плалетасының қыдырма жұлдыз деп атауының өзі бәрін түсіндіреді. Венера жылдың қай мезгілінде болса да не таң ата күншығыста, не күн бата күнбатыста туа береді. Венера шоқжұлдыздар бойынша көрінерлік қозғалысы түрліше болады. Венера планетасы Күннен алыстай алмайды да, Күн орналасқан немесе оған көрші шоқжұлдызда кездесіп, Күннен батысқа қарай немесе шығысқа қарай ауытқуы мүмкін. Венераның Күннен ауытқу бұрышы 45 -48 градустан аспайды. Венера планетасы Күннен шығысқа қарай ең үлкен бұрыштық ауытқуы ең үлкен шығыс элонгациясы, ең үлкен батысқа қарай бұрыштық ауытқуы ең үлкен батыс элонгациясы деп аталады. Ал жалпы планетаның Күнмен салыстырғанда шығыста немесе батыста орналасқанда - Шығыс немесе батыс элонгациясымен сипатталады. [58]
Венера планетасы шығыс элонгациясында болғанда Күн батқаннан кейін аспанның батас жағында көрініп, аз уақыттан кейін батып кеткді. Бұл уақытта планета кері қозғалысында болады, Сондықтан батыстағы / өзінен батыс жақта орналасқан/ Күнге жақындап көрінбейтін болады. Бұл кезеңде планетаның Күнмен төменгі қосылуы болады. Осы екі аспан шырағының эклиптикалық бойлықтары өзара тең болады. Біраз уақыттан кейін кері қозғалыстағы планета Күн шығар алдында Шығыста көрінетін болады. Планетаның жылдамдығы бірте - бірте кеміп, планета өзінің ең үлкен батыс элонгациясына жетіп, барып тоқтайды. Осыдан кейін ол өзінің бағытын өзгертіп, батыстан шығысқа қарай қозғалады. Тура қозғалыста планета қайтадан Күнге жақындайды да, көрінбейтін болады. Бұл кезде планетаның Күнмен жоғарғы қосылуы болып, қайтадан екі шырақтың эклиптикалық бойлықтары теңеседі. Біраз уақыттан кейін планета Күннен алыстап батыста Күн батқаннан кейін көрінеді. Қозғалысының жылдамдығы бірте - бірте кеміп, ең үлкен шығыс элонгациясына жетіп, қозғалысының бағытын өзгертіп қайтадан Күнге қарай жақындайды. Венера планетасының осы қозғалыстары белгілі бір периодпен қайталанып отырады. Планетаның кері қозғалыс доғасының орташа мәні 16 0 -қа тең. Венера планетасының Күнмен Жерге салыстырғандағы орналасуы әртүрлі болуы мүмкін. Бір уақыт кезінде Жер өз орбитасының нүктесінде орналассын. Ал Венера планетасы өзінің орбитасының кез - келген нүктесінде орналасуы мүмкін. [46]
1 - Сурет.
1 - Суреттегі Егер планета көрсетілген V 1 , V 2, V 3, V 4 Нүктелерінде орналасатын болсын, оның Күнмен төменгі /V 1 / жоғарғы /V 3 / қосылуы және ең үлкен батыс /V 2 / ең үлкен шығыс /V 4 / элонгациясы болады. Венера планетасының төменгі қосылуында Жерге ең жақын, ал жоғарғы қосылуында Жерге ең алыс қашықтықта орналасады. Венера планетасының төменгі қосылуының /V 1 / маңайында жұлдыздар арасында кері бағытта қозғалады, ал жоғарғы қосылуының /V 3 / маңайында тура бағытпен қозғалады. [44]
Венера планетасын бақылау үшін ең тиімді кезі батыс элонгациясынан кейін кешке шамамен төменгі қосылуы 2, 5 айдың ішінде, ал жоғарғы жалғасуы 1, 5 айдың ішінде бақыланады.
Венера планетысы элиптикалық орбита бойымен Күнді айналса, жазықтығы Жердің орбита жазықтығына 3 0 24 / көлбеу орналасады. Ал эксцентриситеті 0, 0068. Венера планетасының орбитасы шеңберге жақын келеді.
2 - Сурет.
Венераның кері айналу периоды 243 күн. Венера үшін күн тәулігі Жер тәулігімен 117 күн. Сондықтан Венера планетасының күн түні бірдей. Венера планетасының айналуы ерекше, өйткені барлық планеталарды (тек Ураннан басқа) дүниенің солтүстік полюсінен қарағанда өз өстерімен сағат тіліне қарсы бағытта айналады, ал Венера сағат тіліне бағыттас яғни батыстан шығысқа қарай айналады. [43] Планетаның Күнді бір толық айналуына кеткен уақыт аралығы (жұлдыздық) пениод Т деп аталады. Жердің сидерлік периоды жұлдыздық жыл Т Θ болады. Планеталардың сидерлік периоды, синодтық периоды және жұлдыздық жыл арасында жәй математикалық байланыс бар. Планетаның орбита бойынша тәуліктік бұрыштық қозғалысы 360 0 /Т - қа тең, Жердің тәуліктік бұрыштық қозғалысы 360 0 / Т Θ - ға тең. Планета мен Жердің тәуліктік бұрыштық қозғалыстарының айырымы планетаның бір тәуліктегі бұрыштық көрінерлік қозғалысын береді, ал ол 360 0 /s - ке тең болады. Сондықтан Венера үшін:
Мұндағы: s - синодтық период, Т - сидерлік период, Т Θ - жұлдыздық жыл.
Бұл теңднулер синодтық қозғалыстың теңднулері деп аталады. Бақылаудан планеталардың синодтық периоды / s/ анықталып, /Т/ сидерлік периодын осы теңдеуден есептейді. [45]
Планеталардың қозғалыс заңдылықтарын ХVII ғасырдың басында әйлілі неміс математигі Иоган Кеплер ашқан. Қазіргі кезде Кеплердің эмперикалық заңдары былай оқылады:
І. Барлық планеталар эллипс бойымен қозғалып осы эллипстің жалпы бір фокусінде Күн орналасады.
ІІ. Планеталардың радиус - векторлары тең уақыт аралықтарында тең аудандар сызады.
ІІІ. Планеталардың сидерлік периодтарының квадраттары олардың орбиталарының үлкен жарты өстерінің кубтеріне пропорционал болады.
Эллипстің кез - келген нүктелерінің екі қозғалмайтын үлкен остерінің бойында жататын f 1, f 2 (3 - сурет) және фокустер деп аталатын нүктелерден арақашықтықтарының қосындысы тұрақты және үлкен өстің шамасына тең болады.
Суреттегі r 1 + r 2 = 2a = AΠ
Мұндағы: а - үлкен жарты өстің шамасы
e=
- эксцентриситет, шеңбердің
эксцентриситеті нольге жуық. Күн С
нүктесінде орналассын дейік.
Орбитаның Күнге ең жақын нүктесі П Перигелий
деп, ал ең алыс нүктесі А афелий деп аталады.
3 - Сурет. Планетаның Күннен перигелийдегі қашықтығы: q=a(1-e) .
Афелийдегі қашықтығы Q=a(1+e) .
Кез - келген уақыт моментіндегі қашықтықтағы планетаның радиус - векторы r мен сипатталады. [25]
Кеплердің екінші заңы бойынша планеталардың сызықтық жылдамдығы тұрақты болмайды. Перигелидегі жылдамдық өзінің максимал шамасына жетеді:
V п =V с
![]()
Афелийде минимал болады
V
А
=V
с
V с - орташа немесе планетаның шеңберлік жылдамдығы, Жердің шеңберлік жылдамдығы 28, 78 км/с
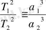
Кеплердің үшінші заңының математикалық формасы:
Т
1,
Т
2
-сидерлік периодтар,
а 1, а 2 - орбитаның үлкен жарты остері. [34]
Егер де планетаның орбитасының үлкен жарты осін Жердің Күннен қашықтығымен, ал сидерлік периодтарын жұлдыздық жылмен есептеитін болсақ, онда Кеплердің III - ші заңы мына түрге келеді:
Т =
Планетаның қозғалысын анықтау үшін олардың орбитасының жазықтығының кеңістікткгі орналасуын, орбитаның өз жазықтығындағы орнын, орбитаның формасын, мөлшерін және планетаның орналасуының белгілі бір нүктеде болу уақытын білу қажет. Планетаның орбитасын анықтайтын шамалар орбитаның элементтері деп аталады.
Орбитаның кеңістікті орналасуын анықтау үшін негізгі жазықтық ретінде эклиптика /Жер орбитасының жазықтығы/ алынады. Екі жазықтықтың қилысу сызығын түйін сызығы деп, орбитаның эклиптика жазықтығымен қилысқан екі нүктені орбитаның нүктелері деп атайды. Эллипстік орбитаны мына алты элементтер арқылы анықтайды:
1. Ώ - шығу түиіннің бойлығы: 0 0 ≤ Ω ≤ 360 0
2. ω - перигелидің шығу түйінінен бұрыштық қашықтығы, 0 0 ≤ ω ≤ 360 0
3. ί - көлбеулік, 0 0 ≤ ί ≤ 180 0
4. а - үлкен жарты осі
5. е =
эксцентриситет
6. t 0 - перигелидің өту моменті.
Венера планетасының бетіне келіп түсетін жарық яғни альбедасы 0, 76. Планетаның аспанының түсі қызғылт - сары болады. Себебі атмосфера Күн жарығының 76% шағылыстырады, сондада планетаның жарықталынуы жеткілікті, Жердегі жеңіл бұлтты күндердей болады. [15]
1. 3 Венера планетасының массасы, радиусы, тығыздығы.
Ньютонның бүкіл әлемдік тартылыс заңы аспан денелерінің массаларын есептеуге мүмкіндік береді. Массаны үш әдіспен анықтауға болады:
- Ауырлық күштің үдеуін өлшеу арқылы (гравитациялық әдіс)
- Кеплнрдің үшінші (дәл» заңының негізінде.
- Аспан денелерінің қозғалысындағы ауытқуларды (теңсіздіктерді) талдау әдісі арқылы.
Бірінші әдісті Жерге ғана қолдануға болады. Жердің бетіндегі ауырлық күштің үдеуі (еркін түсу үдеуі) мынаған тең:
g=
m - Жнрдің массасы, R- Жердің радиусы, G - гравитациялық тұрақты (шамамен Кавендиш, Иолли тәжірибесінде анықталған) . [36]
Екінші әдіс бойынша серіктері бар планеталардың массаларын анықтауға болады. Кеплердің III - ші заңын планетамен Күн үшін және планетамен оның серіктері үшін жазамыз:
Мұндағы: Т - планетаның Күнді айналуына кеткен уақыт аралығы (планетаның сидерлік периоды),
М - Күннің массасы,
m - планетаның массасы,
a- планетаның орбитасының үлкен жарты өсі,
t с - серікткрінің айналу периоды,
m с - серіктерінің массасы,
a с - серіктерінің орбитасының үлкен жарты өсі. [50]
Массалардың қосындыларын планетаның массасына бөлетін болсақ, онда:
қатынас алынады.
Теңдеуді массаларға қатысты шығарсақ, мынадай қатынас аламыз:
Планеталардың серіктерінің массалары планеталардың массаларына қарағанда (Ай мен Жерді есепке алмасақ) өте аз:
m
с
<< m →
Күннің массасы үлкен болғандықтан,
. Сондықтан ақырғы өрнекті мына түрде жазуымызға болады:
Сонда Күннің массасы белгілі болған жағдайда біз басқа планеталардың массаларын есептеуімізге болады. [30] Күннің массасын Жер мен Айдың массалары арқылы есептейді.
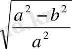
Үшінші әдіспен серіктері жоқ планеталардың массаларын анықтайды. Меркурий мен Венераның массалары Жердің қозғалыстарындағы ауытқулар бойынша анықтайды.
Космостық аппараттардың көмегімен Венераның массаларының дәл мәнін анықтады. Планетаға бақылау жүргізген 1895 жылы С. Ньюкомом Венера мен Күннің алыстығын 408 000 км екенін тапты. 1967 жылы «Маринер - 5» аппаратының қозғалысы бұл қатынастың нәтижесі 408 522±3. Кейіннен бұл жұмысты Харвардта және тағы басқа (1974) «Маринер - 10» қозғалысы анализ нәтижесінің орындалуы, мына массалардың қатынасын алады 408 523, 9 ± 1, 2,, . 1976 жылы Греноблде Халықаралық астрономиялық Союз осы мәнді арнайы қабылдады. [20] Бұл мәнді гравитациялық тұрақты Венераның массасын анықтауға мүмкіндік берді:
γm пл =32458, 6±1 км 3. с -2
Әдетте еркін түсуінің деңгейі R пл =6052 км
g =
см*с
-2
Және жоғарғы шекарасындағы бұлт дәрежесі үшін R б = 6119
g=
см*с
-2
Венераның орташа тығыздығы үшүн масса М=4, 871*10 27 Г және атмосфераның массасы m а = 10 -4 m пл
ρ =
Г*СМ
-3
- Іс жүргізу
- Автоматтандыру, Техника
- Алғашқы әскери дайындық
- Астрономия
- Ауыл шаруашылығы
- Банк ісі
- Бизнесті бағалау
- Биология
- Бухгалтерлік іс
- Валеология
- Ветеринария
- География
- Геология, Геофизика, Геодезия
- Дін
- Ет, сүт, шарап өнімдері
- Жалпы тарих
- Жер кадастрі, Жылжымайтын мүлік
- Журналистика
- Информатика
- Кеден ісі
- Маркетинг
- Математика, Геометрия
- Медицина
- Мемлекеттік басқару
- Менеджмент
- Мұнай, Газ
- Мұрағат ісі
- Мәдениеттану
- ОБЖ (Основы безопасности жизнедеятельности)
- Педагогика
- Полиграфия
- Психология
- Салық
- Саясаттану
- Сақтандыру
- Сертификаттау, стандарттау
- Социология, Демография
- Спорт
- Статистика
- Тілтану, Филология
- Тарихи тұлғалар
- Тау-кен ісі
- Транспорт
- Туризм
- Физика
- Философия
- Халықаралық қатынастар
- Химия
- Экология, Қоршаған ортаны қорғау
- Экономика
- Экономикалық география
- Электротехника
- Қазақстан тарихы
- Қаржы
- Құрылыс
- Құқық, Криминалистика
- Әдебиет
- Өнер, музыка
- Өнеркәсіп, Өндіріс
Қазақ тілінде жазылған рефераттар, курстық жұмыстар, дипломдық жұмыстар бойынша біздің қор #1 болып табылады.

Ақпарат
Қосымша
Email: info@stud.kz