Есеп талабының (сұрағының) әуелгі құрамын өзгерту үрдісі


Есеп талабының (сұрағының) әуелгі құрамын өзгерту үрдісі
Жалпы білім беретін мектептердің түлектерін ҰБТ арқылы аттестациялау және оларды жоғарғы оқу орындарына түсуге дайындау мектеп ұжымдарын, жеке пән мұғалімдерін үлкен жауапкершілікке міндеттейді. Пәнді оқытудың жаңа әдістерін, тиімді тәсілдерін іздеуге итермелейді. ҰБТ-ге дайындық кезінде, жаратылыстану математикалық бағытын, оның ішінде физиканы таңдаған оқушыларға, басқалардың қателері арқылы үйренуге көңіл бөлулері өз кателерін түсінуілеріне көп мүмкіншілік береді. ҰБТ тапсырған өз оқушыларымның нәтижелерінде пәннен жіберетін қателіктеріне көңіл аударып, талдау жасап, себептеріне тоқталдым.
Қателіктер не себептен болатынын және ҰБТ сұрақтарына жауап берген оқушы жауаптарының ішіндегі өте кең таралғандары, ол оқушының:
- физикалық құбылыстар мен заңдарды нақты жағдайларға дұрыс қолдана алмауы
- математикадан алған білімдерін физикалық есептер шығарғанда қолдана алмауы
- тапсырманың берілгеніне дұрыс түсініп оқылуына көңіл бөлмеуі
- физиканың бір бөлімінен алған білімдерін басқа бөлімдерімен дұрыс байланыстыра алмауы
Берілген тест сұрақтарына жауап беруге бөлінетін уақыт аз. Ал оқушының мақсаты осы аз уақыттың ішінде сұрақтың дұрыс жауабын табу. Ол үшін тапсырмаға байланысты нақты бір физикалық заңды немесе шаманы дұрыс түсініп білуі керек. ҰБТ нәтижесі бойынша талдау жасап, электродинамиканың электростатика бөлімінен берілген тапсырмалардың жауаптарында жіберілген қателіктер негізінде мысалдар көрсетіп отырмын.
Бұл бөлімнен жіберілетін қателіктердің ішіндегі өте кең таралғандарының бірі Кулон заңын дұрыс түсінбеуінде. Көбінесе оқушылар Кулон заңының тек нүктелік зарядтардың немесе зарядталған материалық нүктелердің өзара әсерлесуін ғана қарастыратынын және әсерлесу күшінің, осы зарядтарды қосатын түзу сызық бойымен бағытталатынын ұмытады . Сондықтан бұл түсінбеушілік есептер шығарғанда қателік жіберуге әкеліп соғады.
Мысалы:
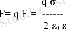
1) Нүктелік заряд q біркелкі зарядталған үлкен текше пластинаның жанында, оның центріне қарама қарсы орналасқан. Зарядтан пластинаға дейінгі қашықтық r, текшенің а қабырғасына қарағанда өте аз. Пластинаның беттік тығыздығы σ , қоршаған ортаның диэлектрлік өтімділігі ε. Зарядқа әсер ететін күшті анықтау керек.
Көптеген оқушылар бұл күшті Кулон заңымен анықтап, қателеседі.
Мұндағы q=σS=σa 2 - пластинаның заряды, ε 0 электр тұрақтысы.
Енді дұрыс шешімін көрсетеміз.
Үлкен жазық пластинаға жақын электр өрісін біртекті деп санаймыз, сондықтан бұл өрістің кернеулігі.
Ендеше бұл өрісте q зарядқа әсер ететін күш.
Cоңғы өрнектен бұл күштің қашықтыққа тәуелді емес екендігі көрінеді.
Зарядталған дененің өлшемдері аса үлкен болған жағдайларда олардың әсерлесу күшін анықтау үшін, оларды ойша нүктелік зарядтар болатындай жекелеген ұсақ зарядталған элементтерге бөлу керек екендігін міндетті түрде оқушылардың назарына ұсынған жөн. Сонан соң, Кулон заңы бойынша әрбір қос зарядтардың өзара әсерлесу күшін тауып, олардың векторлық қосындысын есептейміз.
Жоғарыда көрсетілген (1) формула, яғни Кулон заңының анықтау үшін қолданылады. Формуладағы q 1 және q 2 осы сфералардың зарядтары, ал r олардың центрлерінің арақашықтығы. Яғни бұл күш-зарядтар сфералардың центрлерінде жинақталған жағдайдағы өзара әсерлесу күші.
Бұл формуланы және де екі зарядтың біреуі нүктелік, ал екіншісі сфераның бетінде біркелкі орналасқан жағдайда да қолдану керек. Бұл жерде r нүктелік зарядтан сфераның центріне дейінгі қашықтық.
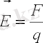
2) Электр өрісінің күштік әсері осы өріске енгізілген сынақ зарядтың көмегімен анықталады. Бірақ сынақ заряд өте кішкентай болуы керек. Себебі қарастырылатын өріске үлкен сынақ заряд өзгеріс енгізеді. Мысалы, карастырылатын өрісті тудыратын зарядтар өткізгіштің үстінде орналасса, сынақ зарядтың электр өрісі әсерінен өткізгіштің заряды орын ауыстырады, бұл олардың өрістерінің өзгерісіне әкеліп соғады.
Көптеген жағдайда кездесетін қателердің бірі оқушының
формуласындағы Е өрісті кернеулігін анықтайтын және тудыратын заряд q деп ойлауы.
Шындығында бұл q сынақ заряд, яғни кернеулігі Е электр өрісінің бір нүктесіне енгізілген заряд, ал өріс тарапынан осы зарядқа әсер ететін күш-F.
3) Бір түзудің бойында үш q 1 <0, q 2 >0, q 3 <0 нүктелік зарядтар орналасқан. А және В нүктелеріндегі өрістің кернеулігін анықтау керек (қашықтықтар суретте көрсетілген) . Жүйе вакуумде (ε=1) деп аламыз.
Бұл күрделі емес есепті шығара отырып, оқушы мынадай қателік жібереді. Ол А нүктесінде өрісті q 1 және q 2 зарядтары тудырады, ал q 3 , q 2 зарядының тасасында қалады деп ойлайды. Сондықтан оны А нүктесінің кернеулігін анықтағанда есепке алмайды. Осындай ақ В нүктесінің кернеулігін анықтағанда да q 1 де есепке алмайды. Суперпозиция принципі бойынша зарядтар бір-біріне тәуелсіз әсерлеседі және электр өрісінің кернеулігі кез келген нүктеде осы зарядтар тудыратын кернеуліктің векторлық қосындысына тең болады.
Осыны ескере отырып А нүктесіндегі кернеуліктің мәнін жазамыз.
Кернеулік векторларын ОХ осінде түзу сызық бойымен оң бағытта зарядтарды орналастырып, олардың осі оське проекциясын жазамыз.
(1) және (2) формулаларға мәндерін қойып Е Ах -ті анықтаймыз. Теңдеуде көрсетілгендей Е Ах q 1 , q 2 , q 3 зарядтардың модульдерінің мәндеріне және А нүктесіне дейінгі қашықтығына байланысты.
Есептеу нәтижесінде Е Ах >0 болса, А нүктесіндегі Е А кернеулік ОХ осінің бойымен оңға бағытталады, ал егер Е Ах <0 болса, солға бағытталады.
В нүктесіндегі кернеулікте осылай анықталды (оқушыға өз бетімен анықтауға ұсынамыз) .
4 Мысал. Жиі кездесетін қателіктердің бірі оқушылардың бәрі бірдей өткізтегі зарядтардың тепе-теңдік жағдайларын дұрыс түсінбеулері. Оны келесі сұрақтан көруге болады:
- Іс жүргізу
- Автоматтандыру, Техника
- Алғашқы әскери дайындық
- Астрономия
- Ауыл шаруашылығы
- Банк ісі
- Бизнесті бағалау
- Биология
- Бухгалтерлік іс
- Валеология
- Ветеринария
- География
- Геология, Геофизика, Геодезия
- Дін
- Ет, сүт, шарап өнімдері
- Жалпы тарих
- Жер кадастрі, Жылжымайтын мүлік
- Журналистика
- Информатика
- Кеден ісі
- Маркетинг
- Математика, Геометрия
- Медицина
- Мемлекеттік басқару
- Менеджмент
- Мұнай, Газ
- Мұрағат ісі
- Мәдениеттану
- ОБЖ (Основы безопасности жизнедеятельности)
- Педагогика
- Полиграфия
- Психология
- Салық
- Саясаттану
- Сақтандыру
- Сертификаттау, стандарттау
- Социология, Демография
- Спорт
- Статистика
- Тілтану, Филология
- Тарихи тұлғалар
- Тау-кен ісі
- Транспорт
- Туризм
- Физика
- Философия
- Халықаралық қатынастар
- Химия
- Экология, Қоршаған ортаны қорғау
- Экономика
- Экономикалық география
- Электротехника
- Қазақстан тарихы
- Қаржы
- Құрылыс
- Құқық, Криминалистика
- Әдебиет
- Өнер, музыка
- Өнеркәсіп, Өндіріс
Қазақ тілінде жазылған рефераттар, курстық жұмыстар, дипломдық жұмыстар бойынша біздің қор #1 болып табылады.

Ақпарат
Қосымша
Email: info@stud.kz