Импульстің сақталу заңы


"Импульс" латынның impulsus деген сөзінен шыққан, оның сөзбе-сөз аудармасы "серпін" («түрткі») дегенді білдіреді. Бұл термин механикада екі күш импульсі мен дене импульсін білдіреді.
Денелердің өзара әсеріне байланысты барлық мәселені Ньютон заңдары негізінен шешіп бере алады. Алайда көп жағдайда өзара әсерлесу күшін табу оңай емес, ал күш туралы білім болмайынша, денелердің алатын үдеуін, демек, олардың жылдамдықтарын және орын ауыстыруын табуға болмайды. Мысалы, Ньютон заңдары арқылы ракетаның және одан шығатын газдардың, қайсыбір соқтығысып қалған денелердің және т. б. өзара әсерлесу күштерін қиын да болса табуға болады. Бұл сияқты мәселелерді шешу үшін механикада арнаулы ұғымдар мен шамалар енгізіліп, Ньютон зандары арқылы олардың арасындагы қатынастар белгіленген. Бұл жаңадан енгізілген шамалардың сандық мәндері денелердің өзара әсерлесу нөтижесінде өзгермейді. Оған денелер массасын мысалға алуға болады. Сондықтан өзгермейтің шамалар арасындағы маңызды қатынастарды сақталу заңдары деп атайды.
Сақталу заңдарын Ньютон заңдарының көмегімен шығарып алғанмен, олар Ньютон заңдарының салдары болып табылмайды. Сақталу заңдары, Ньютон заңдары сияқты, тәжірибелік фактілердің теориялық қорытындысы. Сақталу зандары физиканың іргелі зандары болып саналады. Тек механикада емес, физиканың басқа бөлімдеріне де қолданымды болғаңдықтан, олардың маңызы зор.
1. Күш импульсі . Денелердің өзара әсерлесуінің нәтижесі тек күшке ғана байланысты емес, ол өзара әсерлесу уақытына да байланысты. Оған мына тәжірибе арқылы көз жеткізуге болады.
Горизонталь шыныға болат шар қоялық. Оның үстімен күшті магнитті жылдам жүргізіп өтелік, сонда шардын орнынан аздап болса да қозғалғанын байқаймыз (117, а- сурет)
Тәжірибені қайталап магнитті шардың үстімен жайлап қозғайық, сонда шар магнитке ілесе жылжиды (117, ә-сурет) .
Бұл тәжірибе өзара әсерлесудің нәтижесі өзара әсерлесу уақытына байланысты екенін көрсетеді.
Үстелде жатқан бір парақ қағазға суы бар стакан қоялық. Егер сол қағазды жайлап тартсақ, онда стакан қағазбен бірге қозғалады
(118, а-сурет) .
Ал егер қағазды қаттырақ тартып қалсақ, онда қағаз сусып шығады да, стакан орнында қала береді (118, ә-сурет) .
Тәжірибелер денелердің өзара әсерлесуі тек күшке ғана емес, сонымен қатар өзара әсерлесу уақытында да байланысты болатынын көрсетеді. Сондықтан күш әсерін сипаттау үшін физикаға арнаулы шама - күш импульсі енгізілді.
Күш импулъсі деп белгілі бір уақыт ішінде күш әсерінің өлшемі болып саналатын векторлық физикалық шаманы айтады.
Куш импульсі куштің оның әсер ету уақытына көбейтіндісімен өлшенеді.
мұндағы
күшінің
t
уақыттағы импульсі
Күш импульсі векторының бағыты күш бағытымен сәйкес келеді. Халықаралық бірліктер жүйесінде импульс бірлігі ретінде бір секунд ішінде әсер ететін 1 Н к үш импульсі алынады (н ь ю т о н-с е к у н д) ;
2. Дене импульсі немесе қозғалыс мөлшері . Айталық, көлбеу эстакадамен массасы 2 кг мақта салынған қапшық 5 м/с жылдамдықпен жылжып келеді делік
(119-сурет)
Эстакаданың төменгі жағында бұл қапшықты қолмен оңай тоқтатуға болады. Ал эстакадада осындай жылдамдықпен массасы 50 кг қүм салынған қап жылжып келе жатса, оны қолмен тоқтата алмайсың. Массасы 9г 5 м/с жылдамдықпен ұшқан оқты жұқа шүберек немесе картон мен тоқтатуға болады, ал осы оқ винтовкадан 800 м/с жылдамдықпен үшса, оны өте қалың тақтай да тоқтата алмайды.
Осы мысалдар қозғалған денелердің басқа денелермен өзара өсерлесуін сипаттау үшін оның массасын немесе жылдамдығын білу жеткіліксіз екенін көрсетеді. Сондықтан механикалык қозғалыстың бір өлшеуіші ретінде арнайы шама - дене импульсі (немесе қозғалыс мөлшері) енгізілген.
Дене импулъсі деп механикалық қозғалыстың өлшеуіші болатын физикалық векторлық шаманы айтады.
Дене импулъсі дене массасын оның қозғалыс жылдамдығына көбейткендегі көбейтіндімен өлшенеді:
,
мүндағы
жылдамдықпен қозғалған массасы
т
дененің импульсі.
Халыкаралык бірліктер жүйесінде дене импульсінің бірлігі ретінде массасы 1 кг дененің 1 м/с жылдамдықпен козғалғандағы импульсі кабылданған (секундына килограмм-метр) :
[ р ] = 1 кг • 1 м/с = 1 кг • м/с.
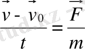
3. Күш импульсі мен дене импульсі арасындағы қатыс. Айталык, массасы т дене m дене v 0 жылдамдықпен козғалсын делік. Содан кейін осы дене басқа денемен t уақыт бойы Ғ күшпен өзара әсерлессін дейік. Осы әсерлесу нәтижесінде дене мынадай үдеумен қозғалады:
мүндағы
- дененің өзара өсерлесуден алған соңғы жылдамдығы.
Алайда Ньютонның екінші заңы бойынша
Демек,
немесе
Бұл формуладағы
- күш импульсі;
- дененің әсерлескенге дейінгі импульсі;
- дененің әсерлескеннен кейінгі импульсі;
дененің өзара әсерлесу нәтижесінде алған импульсінің немесе козғалыс мөлшерінің өзгеруі.
Сонымен, дене импулъсінің өзгеруі күш импульсіне тең.
4. Денелердің оқшауланған жүйесі . Табиғатта барлық денелер бір-бірімен өзара әсерлеседі. Алайда кейбір денелердің өзара әсерлесуінің өте аз екені соншалық, оларды ескермеуге болады. Мысалы, футболшының аяғы мен футбол добының өзара әсерлесуін қарастырғанда, доптың мінбеде отырған көрермендерге тартылу күштерін ескермесе де болады, өйткені бұл күштер өте аз, олар футболшы аяғының допты тебуіне ешқандай әсерін тигізбейді.
Ғарыш кемелердің Күннің жүйесі ішінде үшағындағы траекториясын есептеу барысында оның алыс жұлдыздарға тартылуын есепке алмаса да болады, өйткені бұл күштер кеменің Күнге жөне Күн жүйесінің планеталарына тартылу күштерімен салыстырғанда әлде-қайда аз.
Келтірілген мысалдар зерттеліп отырған құбылысқа тигізетін әсері онша мәнді болмайтын бірқатар жағдайларда денелердің өзара әсерлесуін елемеуге де болатынын көрсетеді. Ол үшін физикада денелердің өлшауланған емесе түйық жұйесі деген ұғым енгізілген.
Оқшауланған немесе тек қана өздері бір-бірімен әсерлесетін, бірақ осы жұйеге кірмейтін басқа денелермен әсерлеспейтін денелер жұйесін айтады.
Түйық жүйеге енетін денелердің бір-бірімен өзара әсерлесу күштерін ішкі күштер деп атайды. Түйық жұйе деп біз бір-бірімен әсерлесетін денелерді түсінетіндіктен, мұндай жүйедегі денелерге сыртқы күштер әсер етпейді деп білеміз.
Жоғарыда берілген анықтамадағыдай оқшауланған жүйе жоқ. Бұл идеалдандыру. Дүниедегі барлық денелер өзара әсерлеседі. Алайда көп жағдайда, нақты жұйелерді оқшауланған деп қарастыруға болады (бұл жағдайда кейбір мәні елеусіз өзара әсерлесу қарастырылмайды) .
Өзара әсерлесетін денелер жұйесін тұйық жүйе деп атауға болатын тағы бірнеше мысалдарды қарастырайық.
Айталық, адам горизонталь еденде тұрған жеңіл қозғалатын арбашаға жұгіріп мінсін дейік ( 120-сурет) .
Бұл жағдайда "арбаша-адам" жұйесін оқшауланған деп қарастыруға болады, өйткені:
а) арбаша мен адамның ауырлық күштері реакция күштерімен теңгеріліп тұрады;
ә) арбаша жеңіл қозғалатындықтан, оның үйкеліс күші өте аз болады.
Жіптерге асылған екі шардың соқтығысуын қарастырғанда (121-сурет)
... жалғасы- Іс жүргізу
- Автоматтандыру, Техника
- Алғашқы әскери дайындық
- Астрономия
- Ауыл шаруашылығы
- Банк ісі
- Бизнесті бағалау
- Биология
- Бухгалтерлік іс
- Валеология
- Ветеринария
- География
- Геология, Геофизика, Геодезия
- Дін
- Ет, сүт, шарап өнімдері
- Жалпы тарих
- Жер кадастрі, Жылжымайтын мүлік
- Журналистика
- Информатика
- Кеден ісі
- Маркетинг
- Математика, Геометрия
- Медицина
- Мемлекеттік басқару
- Менеджмент
- Мұнай, Газ
- Мұрағат ісі
- Мәдениеттану
- ОБЖ (Основы безопасности жизнедеятельности)
- Педагогика
- Полиграфия
- Психология
- Салық
- Саясаттану
- Сақтандыру
- Сертификаттау, стандарттау
- Социология, Демография
- Спорт
- Статистика
- Тілтану, Филология
- Тарихи тұлғалар
- Тау-кен ісі
- Транспорт
- Туризм
- Физика
- Философия
- Халықаралық қатынастар
- Химия
- Экология, Қоршаған ортаны қорғау
- Экономика
- Экономикалық география
- Электротехника
- Қазақстан тарихы
- Қаржы
- Құрылыс
- Құқық, Криминалистика
- Әдебиет
- Өнер, музыка
- Өнеркәсіп, Өндіріс
Қазақ тілінде жазылған рефераттар, курстық жұмыстар, дипломдық жұмыстар бойынша біздің қор #1 болып табылады.

Ақпарат
Қосымша
Email: info@stud.kz