Математиканы тереңдетіп оқытудағы туынды қолданылуының ерекшеліктері


ҚАЗАҚСТАН РЕСПУБЛИКАСЫ ҒЫЛЫМ ЖӘНЕ БІЛІМ МИНИСТІРЛІГІ
МАТЕМАТИКА, ФИЗИКА ЖӘНЕ ТЕХНОЛОГИЯЛАР ФАКУЛЬТЕТІ
Математика кафедрасы
КУРСТЫҚ ЖҰМЫС
Тақырыбы: МАТЕМАТИКАНЫ ТЕРЕҢДЕТІП ОҚЫТУДАҒЫ ТУЫНДЫ ҚОЛДАНЫЛУЫНЫҢ ЕРЕКШЕЛІКТЕРІ.
Ғылыми жетекшісі
аға оқытушы.
«___»20___ж.
Математика кафедрасының
меңгерушыісі, Ф. - м. ғ. к.,
профессор
«___» 20___ж.
Орындаған тобының
студенті
Нормабақылаушы
«___» 20___ж.
МАЗМҰНЫ
КІРІСПЕ 3
1 ТУЫНДЫ ЖӘНЕ ОНЫҢ ҚОЛДАНЫЛУЫ 5
1. 1 Туынды анықтамасы 5
1. 2 Бірінші ретті туынды арқылы тепе - теңдікті дәлелдеу және 7 өрнектерді ықшамдау
1. 3 Бірінші ретті туынды арқылы теңсіздікті дәлелдеу 10
1. 3 Екінші ретті туындынының көмегімен теңсіздіктерді дәлелдеу 14
1. 4 Туындының көмегімен Ньютон биномының формуласын есептеу 16
2 ТУЫНДЫ АРҚЫЛЫ ПӘНАРАЛЫҚ БАЙЛАНЫСТАРДЫ ЖҮЗЕГЕ АСЫРУ 19
2. 1 Туындының физикада қолданылуы 19
2. 2. Туындының биологиялық үрдістерде қолданылуы 20
2. 3. Туындының экономикада қолданылуы 23
ҚОРЫТЫНДЫ 27
ПАЙДАЛАНҒАН ӘДЕБИЕТТЕР ТІЗІМІ 29 Қосымша А ГЛОССАРИЙ 31
Қосымша Ә Туындының көмегімен теңдеулерді шешу. 32
КІРІСПЕ
«Туынды» термині derivee деген француз сөзінің қазақша сөзбе-сөз аудармасы, оны 1797 ж. Ж. Лагранж (1736 - 1813) енгізген, қазіргі кездегі
,
белгілеулерін де сол енгізген. Бұл атау мынадай ұғымның мағынасын ашады:
функциясы
- тен шығады,
- тің туындысы болып табылады.
И. Ньютон функцияның туындысын флюксия деп, ал функцияның өзін флюента деп атаған. Г. Лейбниц дифференциалдық қатынас туралы айтқан және туындыны
түрінде белгілеген. Бұл белгілеу қазіргі әдебиетте де жиі кездеседі. Лейбниц
символын
функциясының дифференциалын белгілеу үшін таңдап алған.
функциясының
дифференциалы -
туындысының
өсімшесіне көбейтіндісі, яғни
белгілеуін
-пен алмастырып, оны былай да жазуға болады:
осыдан
.
Жұмыстың зерттеу нысаны: Математиканы тереңдетіп оқытудағы туындының алгебралық қолданысын, пәнаралық байланысын оқып үйрену.
Мақсаты - математиканы тереңдетіп оқитын сыныптарда туындының алгебралық қолданылуына түсінік беру. Математикалық модельдеудің әдiстерін меңгеру.
«Туынды және оның қолданылуы» тақырыбында функцияларды зерттеу мен кейбір физика есептерін шешуге арналған нұсқаулар ғана көрініс береді. Ал, шынында туындыны қолданып тепе - теңдіктерді, теңдеулер мен теңсіздіктерді шешуге, өрнектерді ықшамдауға болады. Тереңдетіп оқытатын сыныптарда оқушылардың жалпы математикадан дайындық деңгейін арттыра түсудегі туындыны алгебрада кеңінен пайдаланудың дидактикалық құндылығының маңызы зор.
Математиканың көптеген абстрактілі теориялары мен негізгі принциптерінің жаратылыстану ғылымдарының маңызды мәселелерін шешуге қолдану жолдары математиканың бір ірі бөлігі - туынды арқылы жүзеге асады. Туындының көмегімен жаратылыстану ғылымдарындағы ең негізгі проблеманың бірі өзімізді қоршап тұрған табиғат құбылыстарының кейбір жасырын сырының қалай ашылғанын, оның өмірде қалай пайдаланылатынын көрсетуге болады.
Міндеттері:
- Туындының қолданылуы туралы түсінік беру;
- туындының алгебралық қолданылуын оқып үйрену, меңгеру және оны қолдана білуге дағдыландыру;
- математикалық модельдеудің әдiстерін меңгеру мен пәнаралық байланыстарды жүзеге асыру.
Гипотеза
Туынды - математикалық талдаудың негізгі түсінігі болып орта мектеп математика курсында да және жоғары математика саласында да орасан зор маңызы бар. Математиканың барлық бөлімі, саласы бір - біріне тұрақты, тіпті басқа пәндермен де байланысы күшті пән. «Математика дәл нақтылы білім береді және басқа пәндердің дамуына көмектеседі» - деп Әл - Фараби бабамыз босқа айтпаған. Туындының математикада қолданылуы оқушылардың математиканы терең түсінуі үшін ықпалын тигізеді.
Алгебралық әдістерге қарағанда көптеген есептерді туындыны қолданып шешкендегі балама әдіс ретіндегі ұтымдылығын байқау аса қиын мәселе емес. Сондықтан төмендегі мысалдарда, қажетіне қарай, алгебралық есептерді шешудің туындыны қолданған түрін көрсеттік.
1 ТУЫНДЫ ЖӘНЕ ОНЫҢ ҚОЛДАНЫЛУЫ
1. 1 Туынды анықтамасы
Кез келген f функциясы жіне оның анықталу обылысының кез - келген х 0 нүктесі төмендегідей түрде сипатталуы мүмкін.
1. f функциясын анықтайтын формулалар арқылы оның х 0 нүктесіндегі өсімшесін табамыз:
2. Айырымдық қатынас
үшін өрнек жазамыз:
Сонан соң оны түрлендіріп ықшамдаймыз,
-ке қысқартамыз және т. с. с.
3. Егер
нөлге ұмтылады деп есептесек
қандай санға ұмтылатынын айқындаймыз.
Осылайша табылған санды кейде, физикадағы сияқты,
х
0
нүктесіндегі
функцияның жылдамдығының өзгеруі немесе
функцияның
х
0
нүктесіндегі туындысы деп атайды.
Анықтама:
нөлге ұмтылғанда функция өсімшесінің аргументтің өсімшесіне қатынасы ұмтылатын сан
функцияның
х
0
нүктесіндегі туындысы деп аталады.
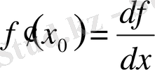
функцисының
х
0
нүктесіндегі туындысы
деп белгіленеді («
х
0
-ден эф штрих» деп оқылады) :
Мысал 1.
(
k
мен
b
тұрақтылар) функцияның
х
0
нүктесіндегі туындысын табайық.
1)
.
2)
3)
k
- тұрақты,
саны кез келген
үшінші тұрақты, демек
Болса
Сөйтіп,
.
х
0
нүктесінде туындысы бар функция осы нүктеде дифференциалданатын функция деп аталады. Айталық, D
1
- функция дифференциалданатын нүктелердің жиыны болсын. Әрбір
санына
санын сәйкес қойа отырып, анықталу обылысы D
1
болатын жаңа функция аламыз. Бұл функция
функциясының туындысы деп аталады да,
немесе
деп белгіленеді.
Берілген
функциясының туындысын табу дифференциалдау деп аталады.
Біз бұл бапта мынадай дифференциалдау формулаларын алдық:
формаласында
k
=0,
b
=C (C-еркімізше алынған тұрақты) деп ұйғырсақ,
екені шығады, яғни тұрақтының туындысы нөлге тең.
1. 2 Бірінші ретті туынды арқылы тепе - теңдікті дәлелдеу және өрнектерді ықшамдау
«Егер қандайда бір І аралығында
болса, онда
функциясы осы аралықта тұрақты шама болады».
Тепе - теңдіктер әдетте
түрінде берілетіндіктен бұл теореманы сәл өзгертіп аламыз.
«Егер
және
функцияларының туындылары І аралығының әрбір нүктесінде өзара тең болса, онда осы аралықта функциялардың айырмасы тұрақты».
Тепе - теңдікті дәлелдеу төмендегі алгоритм бойынша жүргізіледі.
1. Берілген тепе - теңдікті
түрінде немесе
түрінде қарастырамыз (анықталу облысы, І аралығында үздіксіздігі)
2.
немесе
түрінде туындыларды табамыз.
3. Егер
болса, онда
болады.
4. Анықталу облысынан
үшін есептеуге ыңғайлы бір мәнді алып,
яғни
екенін дәлелдесек, онда
болғаны, яғни тепе - теңдікті дәлелдеу аяқталады.
Мысал 2. Тепе - теңдікті дәлелде:
1)
;
Шешуі:
түрінде теңдіктің екі жағынан жеке - жеке туынды аламыз.
;
яғни
; Ендеше
;
болсын,
;
. Тепе - теңдік дәлелдеңді.
Туынды арқылы алгебралық және тригонометриялық теңдеулерді түрлендіруге, яғни өрнектерді көбейткіштерге жіктеуге болады.
Мысал 3. Мына өрнекті
көбейткіштерге жіктейік.
-ны айнымалы деп алып өрнекті
функциясы деп алып туындыны табамыз.
Сондықтан
Мұнда
,
,
,
параметрлерімен берілген өрнек, бұдан
деп алып
онда
өрнекті алғашқы өрнектің шешімі болып табылады.
Мысал 4.
өрнегін көбейткіштерге жіктеп
-ны айнымалы деп алып, туындыны табамыз.
онда
деп алсақ,
, онда
өрнегі берілген функцияның шешімі болады.
Мысал 5.
өрнекті
деп белгілей отырып
Equation. 3
Сонымен берілген өрнектің шешімі
.
1. 3 Бірінші ретті туынды арқылы теңсіздікті дәлелдеу
Оқулықта интервалдар әдісі арқылы теңсіздіктерді шешу үлгісі көрсетілгенімен, оларды дәлелдеу әдістері келтірілмеген. Сондықтан мына «Егер І интервалының әрбір нүктесінде
,
болса, онда
f
функциясы І интервалында өседі (кемиді) » теоремаға аздаған өзгеріс енгізсек, теңсіздіктерді дәлелдеуге қолайлы тұжырымға келеміз. «Егер
аралығындағы
нүктесінде үздіксіз
функциясы үшін
және
,
болса, онда осы аралықта функция оң (теріс) болады».
Шынында да
,
, және
болса, онда
аралығында функция өседі, яғни
демек,
.
яғни функциясының теріс болу жағдайы да осылай дәлелденеді. Осы тұжырымдарды теңсіздіктерді дәлелдеуде туындыны қолдану алгоритмі ретінде қабылдаймыз.
Мысал 6. Дәлелдеңдер:
, мұнда
.
Шешуі:
функциясын қарастырамыз, мұнда
,
шарт бойынша
болғандықтан
. Ендеше
аралығында
демек
;
;
Мысал 7. Дәлелдеңдер:
,
.
Шешуі:
функциясын қарастырамыз, мұнда
,
. 1 - ші мысалды пайдаланып,
және
болатының білеміз. Сондықтан, жоғарыда айтуымыз бойынша
болғанда
болады. Демек,
.
Мысал 8
.
x
-тің барлық оң мәндері үшін
, болатының дәлелдеңдер.
Шешуі:
үшін
функциясын қарастырамыз.
;
, берілген
аралығында ;
; ендеше
, яғни
,
.
Теорема 1. Егер
,
функциялары үшін
да үзіліссіз және туындылары бар және
,
өспелі функциялар үшін
шарты орындалатын болса, онда сол интервалда
шарты да орындалады.
Мысал 9.
теңсіздікті дәлелдеу керек, мұндағы
;
;
болсын делік.
болсын.
- басы
оңға бағытталған шексіз аралықта.
функциясының туындысының таңбасын
болғанда тексерсек,
шығады. Сондықтан белгілі теорема бойынша
функциясы
сәулесінде кемиді, олай болса
шартынан
теңсіздігі шығады, яғни
бұл арадан
.
Теорема 2.
интервалының әрбір нүктесінде
функциясының туындысы болсын. Осы интервалдың шектеулі нүктелерінде туынды нөлге айналсын. Интервалдың қалған нүктелерінде туынды таңбасы оң болса, онда
функциясы
интервалында өседі.
Теорема 3.
интервалының әрбір нүктесінде
және
функциялары үзіліссіз және әрбір нүктеде туындысы болсын.
интервалының барлық нүктелерінде
(1) теңсіздігі орындалатын болса, онда осы интервалда
(2) және
орындалады.
Мысал 10.
;
теңсіздікті дәлелдеңдер. Туындысын табалық
. Бұдан теңсіздіктің дұрыстығын байқаймыз.
Мысал 11.
теңсіздікті дәлелдеңдер, мұндағы үшінші теореманың екі шартының орындалатынын тексереміз.
аралықта берілген теңсіздікті мүшелеп дифференциалдасақ,
шығады.
болғанда теңсіздіктің дұрыстығы өзінен байқалады. Егер
десек, теңсіздік теңдікке айналады. Сонымен, теорема 3 бойынша теңсіздік орындалады.
Теорема 2′.
интервалының әрбір нүктесінде
және
функциясының туындысы болсын.
жарты интервалында функцияоар үзіліссіз.
интервалының бүкіл өн бойында
(1) теңсіздік орындалу үшін бір мезгілде келесі шарттар орындалуы керек.
1.
(1′) ;
интервалының бойындағы барлық
-тер үшін орындалады;
2. Бұл үшін
(2′) теңдігі орындалатын
нүктелер жиыны
түріндегі ешқандай интервалды толтырмайды. Мұндағы
;
3.
(3′)
болсын. Онда
;
интервалында үзіліссіз және осы интервалда
:
;
:
;
ешбір интервалда толық қарастырмайтын жиында
.
Ең алдымен
жағдайды қарастыралық. Теорема 1 бойынша
интервалда
кемімейді. Сондықтан
; егер
болса, онда
үшін
, яғни
интервалында
.
Енді
жағдайды қарастыралық.
сәулесінде
функциясы кемитіндіктен
.
интервалынан
санын белгілейік, (Яғни
) .
интервалынан ең болмағанда
болатындай бір нүкте табылатынын көрсетелік. Шынында да, керісінше жорысақ,
интервалында
деген қорытындыға келіп едік. Сонымен,
интервалында
, бұл (2′′) шартына қайшы. Демек,
интервалында
болатындай
нүкте болады. Сондай - ақ
және
, себебі
аралығында
. Бірақ біз
нүктесін
нүктесіне өте жақсы етіп алуымызға болады. Демек,
интервалының барлық нүктесінде
, яғни,
-да
.
Теорема 4.
және
функцияларының әрбірі
жарты интервалында үзіліссіз және
интервалдың әр нүктесінде
-ші дәрежелі туындысы болса, онда
интервалдың бойында
(4) теңсіздігі орындалуы үшін мынадай шарттардың орындалуы жеткілікті.
1.
интервалдың әр нүктесінде (4) теңсіздігінен
-рет туынды алғанда шығатын
(5) теңсіздігі берілген интервалда дұрыс болады.
2. Жарты интервалдың басында (яғни
) ең болмағанда
;
, . . . ,
;
(6) тұжырымсыз теңсіздіктер орындалады.
Дәлелдеу.
-да
болғандықтан (5- теңсіздік) және
шарты орындалатынын ескерсек,
-да
теңсіздігі орындалады. Демек,
шарты
интервалдың әр нүктесінде орындалады. Сонымен бірге (6) шарт бойынша
.
Сондықтан теорема 3 бойынша
-ның әр нүктесінде
шарты орындалады. Осыларға ұқсас тұжырымдар жасай отырып
-ның барлық нүктесінде қатаң теңсіздіктер орындалатындығына көз жеткізуге болады:
; . . . ,
;
және
.
Мысал 12.
(7) теңсіздікті дәлелде, мұндағы
. Берілген (7) теңсіздікті біртіңдеп дифференциалдасақ
,
(8)
, (9) . Соңғы теңсіздік (яғни
) дұрыс орындалады.
болғанда
.
Сонымен бірге (7), (8) - дегі қатаң теңсіздіктерді тұжырымсыз теңсіздіктермен ауыстыруға болады. Сонда
шығады да (7), (8) ақиқат теңсіздікке айналады. Сондықтан теорема 4 бойынша
болғанда (7) теңсіздк орындалады.
Мысал 13.
(10) теңсіздікті дәлелдеңдер. (10) теңсіздіктегі a; b реті айтылғандықтан
деп аламыз. (10) теңсіздікті
түрінде жазамыз.
десек, берілген теңсіздікті
,
(11) теңсіздікті екі рет дифференциалдасақ,
,
(12) .
Соңғы теңсіздіктің ақиқаттығы бірден байқалады. Сонымен бірге (11), (12) теңсіздіктердегі < таңбасын ≤ ауыстырсақ,
десек,
сияқты ақиқат теңсіздік аламыз, теорема 4 бойынша (11), ал одан (10) теңсіздігі орындалады.
1. 3 Екінші ретті туындынының көмегімен теңсіздіктерді дәлелдеу
Егер
кесіндісінде
болса, онда
f
функциясының графигі
аралығында хордадан жоғары жатқан
және
, бірігу нүктелерінде болады. Хорда нүктелеріне сәйкес келетін ординатаны табамыз және
кесіндісінен кез келген
нүктесін таңдап аламыз.
және
нүктелері арқылы өтетін түзудің теңдеуі:
y=
. x=c
болғанда
y
хорда
=
.
Сондықтан
y≤
(13)
Егер
болса, онда
болады. Бұл (1) теңсіздігін қайта жазуға мүмкіндік береді.
мұндағы
.
болғанда, табатынымыз
. (14)
Сөйтіп, біз келесі теореманы дәлелдедік:
Теорема 5. Егер
кесіндісінде
теңсіздігі орындалса, онда кез келген
үшін
теңсіздігі орындалады.
Егер
аралығында
, онда
теңсіздігі осы сияқты дәлелденеді.
Мысал 14. Теңсіздікті дәлелдендер:
. (15)
Шешуі:
, онда
және
болғанда, (14) және (15) -тен қорытып шығарамыз.
Мысал 15. Дәлелдеңдер:
егер
болса,
Шешуі:
;
;
,
яғни
,
, ендеше
.
Мысал 16.
, болғанда
екенін дәлелдейік.
,
;
,
;
;
,
,
,
. Енді кері жүріп және
өйткені
болғанда
екені жоғарыда дәлелдегенін ескеріп
екені жоғарыда дәлелденгенін ескеріп
деген қорытындыға келеміз, яғни теңсіздік дәлелденді.
Туындыны қолданып алгебраның көптеген есептерін шешуге болады, мысалы теңдеулер:
;
;
;
.
Осы нүктеде функция өзінің максимум мәнін қабылдайды,
мәнін теңдеуге қойсақ, ол теңдеудің түбірі екенін көреміз.
Мына
функциясы периодты функция ма?
Шешуі:
яғни функция барлық
аралығында өседі, әрі кризистік нүктелерінде үздіксіз, яғни функция периодты емес. Себебі периодты функция аргументтің бір мәніне сәйкес мәнін қайталай береді, ал мұнда аргументтің бір мәніне функцияның бір ғана мәні сәйкес келеді.
1. 4 Туындының көмегімен Ньютон биномының формуласын есептеу
Бұл формулалар жеке жағдайының жалпы формулалары болады.
өрнегінің жақшаларын ашсақ немесе өз өзіне n рет екімүшесін көбейтсек,
-ке қатысты
дәрежелі көпмүшелік шығады. Оның коэффициенттерін білмегендіктен, жауабын мына түрде жазайық.
(16)
Бізге
коэффициентерінің өрнегін табу керек.
табу үшін (16) теңдеуінің екі жағын да
мәнінің орнына 0 қоямыз. Сонда
(17)
-ді табу үшін (16) теңдеуінің екі жағын да дифференциалдап,
-тің орнына 0-ді қоямыз. Дифференциалдау формуласынан мынаны аламыз:
.
Екінші жағынан
.
Ендеше,
(18)
-тің орнына 0-ді қойып,
na
n-1
=A
1
аламыз. Сөйтіп
(19)
-ны табу үшін (18) теңдеуінің екі жағын да дифференциалдап
-тің орнына 0-ді қоямыз. Табатынымыз:
, бұдан
.
Ендеше
(20)
Қалған коэффициенттерін осы тәсілмен табады. Егер (16) теңдеуін
рет дифференциалдасақ, онда алатынымыз:
Бұл теңдікте
деп алып, табатынымыз:
одан
(21)
сандарын биномиальдық коэффициенттер деп атаймыз және
деп белгілейміз. Осылайша,
, мұндағы
(22)
Сондықтан
(23)
(23) формуласын Ньютон биномы формуласы деп атаймыз. Теңдіктің оң жағы
биномының дәрежелік жіктелуі деп аталады.
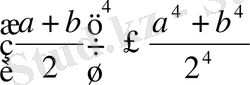
Биномиальдық коэффициенттер формуласын басқа түрде жазуға болады, ол үшін
көбейтінді үшін
(n-факториал) белгілеуін қолданып, (22) формуласындағы бөлшектің бөлімі мен алымын
-ға көбейтіп, алатынымыз:
Сөйтіп,
(24)
Есіңде болсын,
.
(23) формуласында
-ның коэффициентті 1-ге тең. Сондықтан
деп есептейді.
-ның коэффициетті да 1-ге тең, болғандықтан
деп есептейді. Бұл теңдіктер (24) формуласынан шығады, егер
шарттары орындалса.
Мысал 17.
биномының дәрежелік жіктелуін табамыз.
Шешуі: Біздің жағдайымызда
.
биномиальдық коэффициенттерін есептейік:
,
,
,
,
,
.
Ендеше, (23) формуласынан табатынымыз:
.
Мысал 18.
биномының дәрежелік жіктелуін табайық.
Шешуі: Біздің жағдайымызда
,
-ның орнына
,
-тің орнына
қоямыз. Өйткені,
,
,
,
,
,
,
,
Болса, онда
болады.
- ТУЫНДЫ АРҚЫЛЫ ПӘНАРАЛЫҚ БАЙЛАНЫСТАРДЫ ЖҮЗЕГЕ АСЫРУ
2. 1 Туындының физикада қолданылуы
Дүниедеге нақты үрдістердің ең қарапайымы - бірқалыпты үрдістер. Бұл үрдістер тұрақты жылдамдық арқылы туындайды. Күрделелігі жағынан келесі үрдіс - ол үдеулері тұрақты, яғни жылдамдықтары бірқалыпты өзгеретін үрдістер. Осы екі жағдайда жылдамдық айнымалы шамалардың мәндерінен тәуелсіз. Алайда, көбінесе, шаманың өзгеру жылдамдығының мәні сол шаманың мәніне байланысты. Сондықтан көп жағдайда t мезгілiндегі шаманың өзгеру жылдамдығы мен осы шаманың дәл сол мезгіл ішіндегі мәні пропорционал деп қарастыруға болады. Осы айтылғандардан келесі түрде тұжырымдалатын математикалық есепке келеміз: t мезгілдегі у шаманың мәні у 0 -ге тең болса, онда t мезгілiндегі у-тің мәнін табыңыз.
Есептің шарты бойынша
, ал
олай болса
туындыны аламыз. Тікелей тексеру арқылы
функцияның осы теңдеуді қанағаттандыратынын көз жеткізу қиын емес, яғни ол теңдеудің шешуі болып табылады және басқа шешуi жоқ. Шындығында, айталық
болсын.
Сөйтіп
осыдан
яғни
Сонымен
функциясы да
теңдеудің шешуі екен. Шарт бойынша
у=у
0
,
яғни
олай болса
Сөйтіп іздеп отырған мәніміз
болады екен.
Осы қарастырған математикалық моделіміз көптеген физикалық, химиялық, биологиялық т. б. үрдістерді айқындауға мүмкіндік береді.
Мысал 19. Сыраны ашытуға қажет ферменттердің өсу жылдамдығы оның
санына пропорционал. Алғашқы бір сағатта ферменттердің саны екі есе өссе, үш сағаттан кейін ол қанша есе өседі?
Шешуі. Есептің шарты бойынша оның дифференциалдық теңдеуі
болады. Мұндағы
-пропорционалдық коэффициент. Бұл теңдеудің шешуі
Пропорционалдық коэффициенттерін бастапқы шарт арқылы анықтаймыз. Яғни
болғанда
болады. Олай болса
немесе
. Осы өрнекті теңдеудің шешіміне қойып, қарастырып отырған процестің заңдылығын
теңдігі түрінде аламыз. Осыдан, егер
болса, онда
,
яғни үш сағат өткеннен кейін ферменттердің саны 8 есе өседі екен.
2. 1 Туындыны биологиялық үрдістерде қолдану.
Туынды арқылы популяция (мекендес өсіп-өну) санының қарапайым моделін көрсетейiк. Популяция саны - қоршаған ортаны қорғаудың, яғни биоэкологияның ең маңызды мәселесі болып табылады. Популяцияның математикалық моделін құру биологиялық түрдің сан жағынан өсуінің жылдамдығын анықтау есеп ретінде қарастырады.
Популяция динамикасының дәл сипаттамасын 1845 жылы алынған Ферхюльст-Перл теңдеуі береді. Ол теңдеуде популяцияның «Өзін-өзі уландыру» немесе «популяциядағы түр ішіндегі тіршілік үшін күрес» факторы ескерілген.
(25)
Бұл заң Ферхюльст-Перл моделі деп аталады.
Тундыны қолданып, осы функцияның графигін зерттейік.
(26) теңдеуді пайдалана отырып,
екенін ескерсек,
барлық
мәндерінде оң болатыны айқын
(26) теңдеудің екінші ретті туындысын табайық
(27)
(25) теңдеудегі х-тің мәнін осы теңдеуге қоямыз. Сонда
(28)
Егер
болса,
яғни
графигі ойыс, ал
болса,
х
’’
(t)
<
0
және
функциясының графигі дөңес болады.
теңсіздігін шешіп, функциясының ойыстық аралығын табамыз:
Сонымен ойыстың дөңестік аралығын тапсақ ол мына теңсіздікпен беріледі:
мәнінде
және
болады. Бұдан
нүктесі
функциясының иілу нүктесі екені шығады.
туындысы
-ның барлық мәндерінде оң болғандықтан оның экстремумы жоқ. Сондықтан
екенін ескерсек,
-да
функциясы мәніне төменнен ұмтылады.
Енді (25) теңдеумен берілген
функциясының графигін сызып көрсетуге болады. (1-сурет)
1-суреттен популяцияның алғашқы саны
аз болса, онда популяцияның өсуі
нүктесіне дейін ойыс қисық бойымен жүреді. Бұл нүктеде қисық, иілiп, дөңес болады және
-да
түзуіне
х
M
0
t
1-сурет
шексіз жақындайды, бірақ ешқашан онымен қиылыспайды. Сондықтан
шамасын теория жүзінде берілген жағдайдағы популяция санынын максимальды мәні деп атайды.
функциясының графигі (1-сурет) созылған
әрпіне ұқсас болғандықтан қисықты
-тәрізді қисық деп атайды.
2. 3 Туындының экономикада қолданылуы
Туындының экономикада қолдануының түсіну үшін өндірістік функцияны қарастырайық. Кез келген өнім өндірісі әртүрлі ресурстардың қолданылыумен байланысты. Осы ресурстардың мөлшерін
х
1
, х
2
, . . . , х
n
деп белгілейді. Егер біздің өнімнің максимал саны у белгілі болса, онда ресурс көлемін
(х
1
, х
2
, . . . , х
n
), х
1
, х
2
, . . . , х
n
0
жұмсап,
у=f(x
1
, x
2
, …, x
n
)
- өндірістік функция беріледі дейміз.
Экономистер ресурстарды екі топқа бөлінеді. Біріншіден, L әрпімен белгілеп - «еңбек» ресурсы деп, ал екіншісін, К әрпімен белгілеп- «капитал» ресурсы деп атайды. Еңбек - бұл өнім өндіруде қолданылатын қара күштің және ойдың шығыны, ал капитал - бұл құрал - жабдық, сайман, ғимарат, құрылыс, материалдық қор, жер ауданы және т. б.
Өнімнің шығару көлемін оылай белгілейміз:
Q=F(L, K), L
0, K
0 (29)
1928 ж американ ғалымдары К. Кобб жәнне П. Дуглас ең бірінші өндіріс функциясын ұсынған.
Q=aK
2
L
1-2
,
а
>0, 0<
<1 (30)
Кобба - Дугластың өндірістік функциясы деп атайды.
Өндірістік функциясының қасиеттрі:
1. К немесе L ресурстарының біреуі жоқ болса, онда өнім шығару мүмкін емес.
F(0, L) =F(K, 0) =0
2. Ресурс қолданылуын t есе артсақ, онда өнім шығару көлемі t есе артады.
3. Қолданылатын ресурс мөлшері артқанда, шығару өнім көлемі артады.
4. Бір өндірістің К немесе L ресурстарының шығынының өсіуі, оның қолданлуының төменденуіне әсер етеді.
Өндіріс функциясының екі түрін көрсетейік: изокванта және изокоста.
Q=a K
L
1-
(**)
өндірістік функция болсын. Q=Q 0 деп алып, (**) K және L арқылы есептейік. Онда:
а∙K
L
1-
=Q
0
немесе К
2
=
K
L
1-
K=
Equation. 3 (31)
- Іс жүргізу
- Автоматтандыру, Техника
- Алғашқы әскери дайындық
- Астрономия
- Ауыл шаруашылығы
- Банк ісі
- Бизнесті бағалау
- Биология
- Бухгалтерлік іс
- Валеология
- Ветеринария
- География
- Геология, Геофизика, Геодезия
- Дін
- Ет, сүт, шарап өнімдері
- Жалпы тарих
- Жер кадастрі, Жылжымайтын мүлік
- Журналистика
- Информатика
- Кеден ісі
- Маркетинг
- Математика, Геометрия
- Медицина
- Мемлекеттік басқару
- Менеджмент
- Мұнай, Газ
- Мұрағат ісі
- Мәдениеттану
- ОБЖ (Основы безопасности жизнедеятельности)
- Педагогика
- Полиграфия
- Психология
- Салық
- Саясаттану
- Сақтандыру
- Сертификаттау, стандарттау
- Социология, Демография
- Спорт
- Статистика
- Тілтану, Филология
- Тарихи тұлғалар
- Тау-кен ісі
- Транспорт
- Туризм
- Физика
- Философия
- Халықаралық қатынастар
- Химия
- Экология, Қоршаған ортаны қорғау
- Экономика
- Экономикалық география
- Электротехника
- Қазақстан тарихы
- Қаржы
- Құрылыс
- Құқық, Криминалистика
- Әдебиет
- Өнер, музыка
- Өнеркәсіп, Өндіріс
Қазақ тілінде жазылған рефераттар, курстық жұмыстар, дипломдық жұмыстар бойынша біздің қор #1 болып табылады.

Ақпарат
Қосымша
Email: info@stud.kz