Алгебралық теңдеулер жүйесін шешу


Жұмыс түрі: Дипломдық жұмыс
Тегін: Антиплагиат
Көлемі: 63 бет
Таңдаулыға:
МАЗМҰНЫ
КІРІСПЕ 4
1 АЛГЕБРАЛЫҚ ТЕҢДЕУЛЕР ЖҮЙЕСІН ШЕШУ 5
1. 1 Сызықтық теңдеулер жүйесін шешу туралы мағұлмат 5
1. 2 Гаусс әдісі 5
1. 3 Гаусс әдісінің көмегімен анықтауышты есептеу 9 1. 4 Гаусс әдісімен кері матрицаны есептеу 11
1. 5 Квадрат түбірлер әдісімен теңдеулер жүйесін шешу 13
1. 6 Негізгі элементтер әдісі 15
1. 7 Халецкий әдісі 16
1. 8 Итерация әдісі 19
1. 9 Зейдел әдісі 23
1. 10 Релаксация әдісі 25
2 ЗЕРТХАНАЛЫҚ САБАҚТАРДЫ ҰЙЫМДАСТЫРУ 27
2. 1 Зертханалық жұмыс №1 Гаусс әдісі және оның қолданылуы 27
2. 2 Зертханалық жұмыс №2 Гаусс әдісінің көмегімен кері матрицаны есептеу 31
2. 3 Зертханалық жұмыс №3 Квадрат түбірлер әдісі 32
2. 4 Зертханалық жұмыс №4 Халецкий әдісі 35
2. 5 Зертханалық жұмыс №5 Итерация әдісі 38
2. 6 Зертханалық жұмыс №6 Зейдел әдісі 41
2. 7 Зертханалық жұмыс №7 Релаксация әдісі 43
3 ЗЕРТХАНАЛЫҚ ЖҰМЫСТАРҒА АРНАЛҒАН ТАПСЫРМАЛАР 48
3. 1 Гаусс әдісінің көмегімен теңдеулер жүйесін шешу 48
3. 2 Гаусс әдісінің көмегімен анықтауыштың мәнін есептеу 49
3. 3 Гаусс әдісімен кері матрицаны есептеу 50
3. 4 Квадрат түбірлер әдісі 51
3. 5 Негізгі элементтер әдісі 52
3. 6 Халецкий әдісімен теңдеулер жүйесін шешу 53
3. 7 Итерация әдісімен теңдеулер жүйесін шешу 55
3. 8 Зейдел әдісі 58
ҚОРЫТЫНДЫ 59
ҚОЛДАНЫЛҒАН ӘДЕБИЕТТЕР ТІЗІМІ 60
КІРІСПЕ
Сызықтық теңдеулер жүйесін шешу әдістері сандық әдістер курсының негізгі бөлімдерінің бірі болып табылады. Ғылыми-техникалық есептеулер жұмыстарын жүргізу, сол сияқты инженерлік зерттеулер кезінде т. б. көптеген жағдайларда сызықтық теңдеулер жүйесін шешуге тура келеді. Сондықтан қолданбалы математика, информатика және математика мамандықтары бойынша студенттерді жоғарғы мектеп талаптарына сай дәрежеде дайындау- қазіргі заманның өзекті мәселелерінің бірі болып табылады.
Бітіру жұмыстың мақсаты “сандық әдістер” курсының теңдеулер жүйесін шешу тақырыптары бойынша дәрістік, зертханалық сабақтарды жүргізуде қолданылатын әдістемелік құрал жасау.
Бітіру жұмысының өзектілігі пәнді жетік меңгеруде қазақ тілінде жазылған оқулық, әдістемелік нұсқаулардың аздығы белгілі бір дәрежеде қиындықтар тудыруда. Осындай қажеттілікті шешудің бір жолы - ол мемлекеттік тілде әдістемелік нұсқаулар құру болып табылады.
Бітіру жұмысы кіріспеден, теориялық, практикалық бөлімдерден, тапсырмалардан, қорытынды және әдебиеттер тізімінен тұрады.
Теориялық бөлімде дәл әдістер тобына жататын Гаусс, квадрат түбірлер, Халецкий, негізгі элементтер, итерациялық әдістері тобына жататын Зейдел, релаксация, қарапайым итерация әдістері жан - жақты қарастырылған.
Практикалық бөлімде Гаусс, квадрат түбірлер, Халецкий, Зейдел, итерация, релаксация әдістері бойынша зертханалық сабақтарды жүргізу нұсқаулары көрнекті түрде жазылып, әр тақырып мысалдардың көмегімен тиянақталып, олардың excel алгоритмдері және pascal тіліндегі бағдарламаларын құру жолдары көрсетілген.
Зертханалық жұмыстарға арналған бөлімінде барлық тоғыз әдістің әр қайсысына он бес нұсқадан тұратын тапсырмалар келтірілген (135 тапсырма) .
1 ТЕҢДЕУЛЕР ЖҮЙЕСІН ШЕШУ
1. 1Сызықтық теңдеулер жүйесін шешу туралы мағлұмат
Теңдеулер жүйесін шешу әдістері негізінен екі топқа бөлінеді:
1 - топ - дәл әдістер тобы - мұнда теңдеулер жүйесін шешу алгоритмі ақырлы. Бұл топқа Гаусс әдісі, негізгі элементтер әдісі, квадрат түбірлер әдісі және т. б жатады.
2 - топ - итерациялық әдістер тобы, мұнда теңдеулер жүйесі берілген дәлдікпен, жинақты болатын шексіз процесстердің нәтижесінде шешіледі. Оларға итерация, Зейдель, релаксация және т. б әдістер жатады.
Есептеулер кезінде дөңгелектеу қолданылатындықтан, дәл әдістердің нәтижелері де жуық болады. Ал итерациялық процесстерде есептеулер қателіктеріне, әдіс қателігі де қосылады. Итерациялық үрдістің эффективтілігі алынған алғашқы жуықтауға және процесс жинақтылығының жылдамдығына байланысты болады.
1. 2 Гаусс әдісі
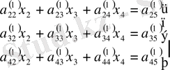
Анықтық үшін төрт белгісізі бар төрт теңдеуден тұратын жүйені қарастырайық.
(1. 2. 1)
,
болсын.
жетекші элемент деп аталады. (1. 2. 1) - жүйесінің бірінші теңдеуін
ге мүшелеп бөлеміз:
белгілеуін енгізсек:
(1. 2. 2)
(1. 2. 2) - теңдеуін қолданып, (1. 2. 1) - жүйесінің
белгісізін алып тастауға болады. Ол үшін (1. 2. 2) - теңдеуді алдымен
- ге, одан соң
- ге көбейтіп, (1. 2. 1) жүйесінің 2 - ші, 3 - ші, 4 - ші теңдеулерінен шегеру керек.
Нәтижесінде үш теңдеуден тұратын жүйе аламыз:
белгілеуі арқылы
(1. 2. 1
/
)
аламыз. Мұндағы
,
- жетекші элемент болсын.
жүйесінің бірінші теңдеуін мүшелеп жетекші элементке бөлсек:
белгілеуін енгізсек:
, (2. 2. 2
/
)
Енді (1. 2. 1
/
) жүйесінен
белгісізін жоғарыдағыдай жолмен алып тастаймыз, нәтижесінде екі белгісізі бар екі теңдеулер жүйесін аламыз:
(1. 2. 1
//
)
Мұнда
- жетекші элемент.
(1. 2. 1 // ) жүйесінің бірінші теңдеуін жетекші элементке мүшелеп бөлсек:
, (
)
Енді (1. 2. 1
//
) жүйесінен
белгісізін алып тастаймыз:
,
.
Бұдан
,
және
теңдеулерін жинақтап жазсақ, белгісіздерді анықтауға мүмкіндік беретін үшбұрышты жүйе аламыз:
(1. 2. 3)
Гаусс әдісін қолданып теңдеулер жүйесін шешу үшін қажетті және жеткілікті шарты - ол жетекші элеметтердің барлығының нөлге тең болмауы болып табылады.
Үшбұрышты матрицаның (1. 2. 3) коэффициенттерін анықтау үрдісі тура жүріс, ал (1. 2. 1) жүйесінің белгісіздерін анықтау кері жүріс деп аталады.
Практикада Гаусс әдісімен теңдеулер жүйесін шешуді жеңілдету үшін арнайы есептеу кестелері қолданылады.
Тура жүріс кестенің А бөліміне жүйенің коэффициенттерін және бос мүшелерді жазудан басталады. А бөлімінің ең соңғы жолы бірінші жолды мүшелеп
- ге бөлудің нәтижелерінен тұрады. А
1
бөлімінің кез келген элементі
А бөлімінің сәйкесінше
элементтерінен бірінші тік жол мен соңғы жатық жолдың сәйкес элементерінің көбейтіндісін шегерумен анықталады.
Ал А
1
бөлімінің соңғы жатық жолы бірінші жолды
- жетекші элементке бөлгеннен пайда болады.
Осындай жолмен қалған А 2 , А 3 бөлімдері құрылады.
Ал, кері жүрісте А
i
бөлімдерінің (белгіленген жатық жолдары) 1 саны бар жатық жолдары қолданылады. Бұлардан алдымен
Equation. 3, одан соң
Equation. 3 белгісіздері анықталады. Олардың мәндері ең соңғы бөлімге жазылады.
Есептеулерді бақылау үшін «бақылау қосындылары» қолданылады.
(1. 2. 4)
Бұл қосындылар сәйкес жатық жолдағы коэффициенттер мен бос мүшелердің қосындысын анықтайды.
Егер (1. 1. 1) жүйесінде бос мүшелер ретінде
коэффициентін алсақ, онда түрлендірілген сызықтық жүйедегі:
(1. 2. 5)
белгісіздері алғашқы жүйенің белгісіздері
мен төмендегідей қатынаста болды:
(1. 2. 6)
Шындығында да (1. 2. 6) формуласын (1. 2. 5) теңдеуіне қойып, (1. 2. 1) және (1. 2. 4) формуласын қолдансақ, тепе - теңдік аламыз:
.
Практикада әрбір жолдағы есептеуді бақылау үшін, кестеде тағы бір тік жол қолданылады. Ол жол «жолдық бақылау» деп аталады. Ол тік жолдың элементтері әрбір бөлімнің элементтері қалай анықталса, сондай әдіспен анықталады. Нәтижелері S бағанына жазылады.
Егер ағымдық жолда ешқандай қателер пайда болмаса, онда осы жолдағы
мен S бағандарының элементтері бірдей болады (белгілі бір дәлдікке дейін) .
Кестеде үш теңдеулердің жүйесін қарастырайық
Кесте 1 Гаусс сызбасы


























1. 3 Гаусс әдісінің көмегімен анықтауышты есептеу
(1. 3. 1)
сызықтық теңдеулер жүйесінің коэффициенттерінің анықтауышы.
(1. 32)
Сызықтық теңдеулер жүйесін
(1. 3. 3)
қарастырайық. (1. 3. 3) жүйесін Гаусс әдісімен үшбұрышты матрицасына түрлендіреміз, яғни
(1. 3. 3)
мұндағы В:
В матрицасының элементтері А матрицасының элементтерінен және
көмекші матрицаларынан төмендегідей элементарлық түрлендірулердің көмегімен анықталады:
1)
жетекші элементтерге бөлу. Мұнда жетекші элементтер нөлге тең емес.
2) А матрицасының сәйкес элементтерінен тік жол мен жатық жол элементтерінің көбейтіндісі игеріледі.
Мұндай операциялар нәтижесінде:
- А матрицасының анықтауышы да сәйкес жетекші элементтерге бөлінеді.
б) екінші операцияда А анықтауышы өзгермейді.
Олай болса,
; бұдан
(1. 3. 4)
Сонымен, жүйенің анықтауышы жетекші элементтердің көбейтіндісіне тең. Ал жетекші элементтерді анықтау үшін арнайы жоғарыда қарастырылған Гаусс кестесін қолдану тиімді.
Егер белгілі бір қадамдарда
немесе нөлге жуық сандар болса, онда жатық және тік жолдарын ауыстыру керек.
Мысал 1. 3. 1 : Төмендегі анықтауыштың мәнін есептеңіз:
Анықтауыштың мәнін есептеу үшін Гаусс әдісін қолданамыз.
Кесте 3 Анықтауышты есептеу кестесі
Кесте 3 жалғасы
- анықтауыштың мәні.
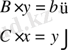
1. 4 Гаусс әдісімен кері матрицаны есептеу
Бізге айрықша емес матрица берілсін
(1. 4. 1)
Анықтама.
Егер
болса, онда
А
матрицасы айрықша емес матрица деп аталады.
Оның кері матрицасы
анықтау үшін алгебра курсынан белгілі негізгі қатынасты қолданамыз, яғни:
, мұндағы
Е
- бірлік матрица.
А
және
А
-1
матрицаларын көбейтіп,
белгісіздерін анықтауға мүмкіндік беретін
n
теңдеулер жүйесін аламыз.
мұндағы
.
жүйелердің барлығының матрицасы бірдей, ол берлген теңдеулер жүйесінің коэффициенттерінің матрицасы, яғни (1. 4. 1) . Бұл жүйелердің әрқайсысына Гаусс әдісін қолданып, бір уақытта шешуге болады.
Практикада арнайы кестелер қолданылады, мұнда есептеулер бақылау қосындылары арқылы тексеріліп отырылады.
Мысал 2. 4. 1
: Берілген матрица үшін
кері матрицасын табыңдар:
.
Кесте 4 Кері матрицаны анықтау кестесі
Есептеуді бақылау үшін ∑ бағанасын есептеп отыру қажет. Оның элементтері кестенің А бөлімінен басқа элементтері қандай жолмен есептелсе, сондай жолмен анықталады. Ал екінші жағынан ∑ - қосындының элементтері жолдағы элементтердің қосындысына тең болады.
Мысалы:
1)
Екінші жағынан:
;
2)
1. 5 Квадрат түбірлер әдісі
Бізге
(1. 6. 1) теңдеулер жүйесі берілген,
А
матрицасы симметриялы матрица, яғни
.
Мұндай матрицаны транспонирленген екі үшбұрышты матрицаның көбейтіндісі түрінде жазуға болатыны алгебра курсынан белгілі, яғни
, (1. 5. 2)
мұндағы
, (1. 5. 3)
. (1. 5. 4)
T
және
T’
матрицаларын көбейте отырып
Т
матрицасының элементтерін
анықтауға мүмкіндік беретін төмендегідей формулаларды аламыз:
(1. 5. 5)
(1. 5. 2) теңдігі орынды болса, онда (1. 5. 1) жүйесі төмендегідей жүйелерге эквивалентті болады:
және
(1. 5. 6)
Теңдеулер жүйесін ашып жазсақ:
(1. 5. 7)
(1. 5. 8)
(1. 5. 7) - жүйеден
т. с. с.
аламыз.
(1. 5. 8) - жүйеден:
(1. 5. 9) анықтмимыз.
Есептеу кезінде бақылау қосындылары қолданылады. Қайсыбір қосынды жолында
болуы мүмкін, онда сәйкес
элементтері жорамал сандар болады. Есептеулерді жеңілдету үшін кестелер қолданылады. Кестенің толтыру үлгісі зертханалық сабақтарды ұйымдастыру бөлімдерінде көрсетіледі.
1. 6 Негізгі элементтер әдісі
Сызықтық теңдеулер жүйесі берілсін:
(1. 6. 1)
(1. 6. 1) жүйесінің коэффициенттері мен бос мүшелерінен тұратын кеңейтілген тікбұрышты матрицаны қарастырайық:
.
М матрицасынан бос мүшелер бағанында жатпайтын, модулі бойынша ең үлкен, нөлден айрықша элементті таңдаймыз. Ол
элементі болсын, оны негізгі элемент деп атайды
. Ал сәйкес жатық жол - негізгі жол деп аталады. Барлық жатық жолдар үшін көбейткіштерді есептейміз:
М матрицасымен төмендегідей амалдарды орындаймыз. М матрицасының әрбір негізгі емес жатық жолдарына негізгі жолдың сәйкес көбейткіштерге көбейтіп қосамыз. Нәтижесінде
- ші бағананың
- дан басқа элементері нөлге айналады.
- тік жолмен негізгі жолды алып тастасқ, бір жатық, бір тік жолға кем М
(1)
матрицасын аламыз.
М (1) матрицасымен жоғарыдағыдай операцияларды жасасақ, М (1) матрицасының орнына бір жатық, бір тік жолдары кем болатын М (2) матрицасын аламыз. Осы үрдісті әрі қарай жалғастыра отырып,
тізбегін аламыз. Ең соңғы М (n-1) матрицасы екі элементті, бір жатық жолдан тұратын матрица. Бұл жатық жолда негізгі жол ретінде қарастырамыз.
Енді барлық матрицалардағы негізгі жатық жолдарды жинап жазсақ, белгісіздерді анықтауға мүмкіндік беретін үшбұрышты матрица аламыз.
Негізгі элементтер әдісімен теңдеулер жүйесін шешуге болады, егер жүйесін шешуге болады, егер жүйенің анықтауышы нөлден айрықша болса:
.
Сонымен, бұрын қарастырылған Гаусс әдісі негізгі элементтер әдісінің дербес түрі екендігін байқаймыз.
1. 7 Халецкий әдісі
Бізге матрицалық түрде сызықтық теңдеулер жүйесі берілсін.
(1. 7. 1)
Equation. 3 - n - ші ретті квадрат матрица.
Equation. 3,
Equation. 3
- вектор - бағаналар.
A матрицасын екі ұшбұрышты матрицалардың көбейтіндісі түрінде жазайық,
. (1. 7. 2)
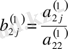
Мұндағы
және
Equation. 3
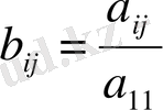
B және С матрицалары бір - біріне көбейтіп b ij және c ij элементтерін анықтауға мүмкіндік беретін төмендегідей формуланы аламыз:
b 11 =a 11
b i1 =a i1
Егер
k>j,
болса
c
kj
=0,
олай болса,
Equation. 3
себебі
(1. 7. 3)
және
,
Equation. 3
; егер
Equation. 3
,
онда
Equation. 3
.
Equation. 3 i<j
Сонымен:
Equation. 3 (1. 7. 4)
Бұдан жүйенің белгісіздерін анықтауға мүмкіндік беретін екі теңдеулер жүйесін аламыз:
.
В және С үшбұрышты матрицаларын ашып жазсақ:
Equation. 3 (1. 7. 5)
бұдан шығады:
,
(1. 7. 6)
Equation. 3 (1. 7. 7)
Бұдан
Equation. 3
Equation. 3
Есептеулерді жеңілдету үшін арнайы кесте - Халецкий сызбасы төмендегідей түрде (кесте 5) қолданылады.
Кесте 5 Халецкий сызбасы




Кестенің бірінші бөліміне матрицаның коэффициенттерін, оның бос мүшелерін және бақылау қосындыларын жазамыз.
сәйкес элементтерді
Equation. 3 бөлгеннен шығады.
Екінші тік жолдың
элементерін анықтаймыз:
Екінші жатық жолдың элементтерін анықтайық:
Бақылау қосындысы
элементтеріне қолданылған формуламен табылады. Екінші жағынан ол сол жолдағы Σ
элементтердің қосындысымен анықталады.
Үшінші бөлімі (1. 7. 6), (1. 7. 7) формулаларының көмегіментолтырылады.
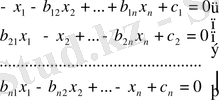
1. 8 Итерация әдісі
Теңдеулер жүйесін итерациялық әдістердің көмегімен шешуді қарастырайық. Ол әдістер тобына қарапайым итерация, Зейдел, релаксация және т. б. әдістер жатады. Олардың ішіндегі ең қарапайымы итерация әдісін толық қарастырайық.
Бізге
(1. 8. 1)
теңдеулер жүйесі берілсін дейік.
Мұнда диагональдық элементтер
. (1. 8. 1) жүйесінің бірінші теңдеуінен
- ді, екінші теңдеуінен
- ні, . . . ,
- ші теңдеуінен
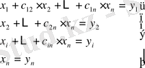
- ді анықтайтындай етіп, (1. 8. 1) жүйесіне эквивалентті түрлендіріп, төмендегідей итерацияға ыңғайлы жүйені алуға болады:
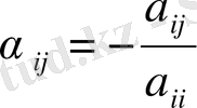
, (1. 8. 2)
Мұндағы
, мұнда
, ал егер
, онда,
.
(1. 8. 2) жүйесін матрицалық түрде жазуға болады:
(1. 8. 2
/
)
мұндағы
және
.
Алғашқы жуықтау ретінде
бос мүшелер бағанын алып, (1. 8. 2
/
) жүйесін жуықтап шешуге болады, яғни:
бірінші жуық тауып:
,
екінші жуық тауып:
- - - - - - - - - - - - - - -
- ші жуық тауып:
. (1. 8. 3)
Сонымен
жуық шешімдер тізбегін аламыз.
Егер
тізбегі жинақты болса, онда оның шегі
(1. 8. 2
/
) жүйесінің шешімі болады. Шынында да, (1. 8. 3) - те шекке көшсек,
,
![]()
Ескерту:
- Кейбір жағдайларда (1. 8. 1) жүйесін (1. 8. 2) жүйесіне келтіру негізіндеыңғайлы.
Мысалы:
мұндайда:
![]()
- Алғашқы жуықтау ретіндекез келген векторды алуға болады.
Сонымен (1. 8. 1) түріндегі жүйені итерация әдісімен шешу үшін
тізбегі жинақты болу керек. Итерация үрдісінің жинақты болуы үшін қажетті шарттарды қарастырайық. Ол үшін математикалық анализ курсында дәлелденген төмендегі теореманы қолданамыз.
Теорема: (1. 8. 1) түрдегі жүйе үшін төмендегідей шарттардың тым болмағанда біреуі орындалса:
- жатық жолдағы коэффициенттердің қосындысы, онда (1. 8. 3) үрдіс жинақты болады және ол (1. 6. 1) жүйесінің шешімі болады.
Салдар:
(1. 8. 1) жүйесі үшін итерация үрдісі жинақты болуы үшін әрбір диагональдық коэффициенттері
сол жолдағы қалған коэффициенттердің модульдерінің қосындысынан үлкен болуы қажет, яғни:
.
Практикада итерация әдісімен жүйені шешу үшін төмендегі метрикалардың біреуінің орындалуы жеткілікті.
а)
- (1. 8. 2) жүйесінің оң жағындағы коэффициенттер модульдерінің жатық жолдық қосындыларының максимумы бірден кіші болуы керек;
б)
- (1. 8. 2) жүйесінің оң жағындағы коэффициенттер модульдерінің тік жол қосындысының максимумы бірден кіші болуы керек;
в)
- (1. 8. 2) жүйесінің оң жағындағы барлық коэффициенттерінің квадраттарының қосындысы бірден кіші болуы керек. Мұндағы
- сығылу коэффициенті деп аталады.
- ге дейінгі дәлдікпен жүйені шешу үшін итерациялық үрдісті
шарты орындалғанша жүргіземіз.
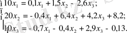
Мысал 1. 8. 1
: Жүйенің шешімін
дәлдікпен анықтаңдар:
Енді жинақты болу шарттарының біреуінің орындалуын тексерейік, яғни сығылу коэффициентін анықтайық.
Тік жолдың элементтерінің модульдерінің қосындыларын анықтасақ, олар:
.
бірақ бұл қосындының шамасы бірден үлкен.
Енді 3 - ші метриканы қарастырайық, яғни жүйенің коэффициентінің квадраттарының қосындысын есептейік:
Сығылу коэффициенті
Итерация үрдісін
шарты орындалғанша жалғастырамыз.
Есептеуді кесте түрінде жүргізген тиімді:
Кесте 6 Итерация әдісі




Соңғы мәндерді
дейін дөңгелектесек
1. 9 Зейдел әдісі
Теңдеулер жүйесі төмендегідей түрде берілсін
(1. 9. 1)
Жүйенің алғашқы жуық шешімін қалауымызша
деп алып, оларды (1. 8. 1) жүйесінің бірінші теңдеуіне қойсақ:
.
Табылған
- дің мәнін (1) жүйесінің екінші теңдеуіне қойсақ:
.
Сол сияқты:
Сонымен,
- бірінші жуық шешімін анықтайық. Дәл осындай жолмен 2 - ші, 3 - ші, . . . , к - ші жуық шешімдерін анықтауға болады. (1. 8. 1) жүйесінің
жуық шешімі анықталған деп ұйғарсақ,
жуықтауын анықтау үшін төмендегідей формулаларды қолданамыз:
(1. 9. 2)
Қарастырылған үрдіс Зейдель үрдісі деп аталады. Зейдель үрдісі жинақты болуы үшін төмендегідей метрикалардың (нормалардың) біреуінің орындалуы жеткілікті:
(1. 9. 3)
Мұндағы
- сығылу коэффициенті.
Әдістің қатесін төмендегідей формуламен есептейміз:
. (1. 9. 4)
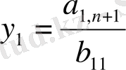
Мысал 1. 9. 1 :
теңдеулер жүйесін
дәлдікпен шешу үшін Зейдель әдісінің көмегімен қанша
жуықтау итерациясын құру керек?
Жүйені түрлендіреміз:
;
.
,
,
,
(1. 9. 4) теңсіздігінен:
Яғни, берілген жүйені
дәлдікпен шешу үшін жүйенің кем дегенде
- ші жуықтауын есептеу керек (13 қадам) .
1. 10 Релаксация әдісімен теңдеулер жүйесін шешу.
Сызықтық теңдеулер жүйесі берілсін
(1. 10. 1)
жүйенің бос мүшелерін жүйенің сол жағына шығарамыз да бірінші теңдеуді -а 11 ге, екінші теңдеуді -а 22 ге және т. с. с. бөлеміз, нәтижесінде.
Релаксацияға ыңғайлы теңдеулер жүйесін аламыз.
(1. 10. 2)
мұндағы
b ij = -
![]()
(i
)
және
с
i
=
х (0) =(x 1 (0) , x 2 (0) , …, x n (0) ) (2) жүйенің шешімінің бастапқы жуықтауы болсын. Осы мәндерді (1. 10. 2) теңдеулер жүйесіне қойып, төмендегідей алшақтық аламыз.
(1. 10. 3)
Егер
белгісіздерінің біріне
өсімшесін берсек, онда сәйкес R
алшақтығы
шамасына азаяды, ал қалған R
(i
j) алшақтықтар b
is
шамасына артады. Осылайша кезектегі R
(1)
s
алшақтықты нөлге айналдыру үшін
келесі өсімшені берсек жеткілікті:
= R
осыдан
R (1) s =0
және
i
s
Релаксация (әлсірету әдісі) әдісінің негізгі идеясы - сәйкес жуықтау коэффициенттерінің мәндерін өзгерту арқылы әрбір қадамда модулі бойынша ең үлкен алшақтықты нөлге айналдыру. Соңғы келтірілген жүйедегі барлық алшақтықтар беріген дәлдікте нөлге тең болса, үрдіс аяқталады.
2 ЗЕРТХАНАЛЫҚ ЖҰМЫСТАРДЫ ҰЙЫМДАСТЫРУ
Сандық әдістер курсы халық шаруашылығының әртүрлі аймақтарында жұмыс жасайтын мамандарды дайындау үшін қажетті негізгі пәндердің бірі болып табылады. Мамандарды дайындауда дәрістерде баяндалған теориялық мағлұматтарды толық меңгеріп, практикада орынды қолдана білуге машықтандырудың маңызы зор. Ол үшін зертханалық сабақтарды әдістемелік жоғарғы деңгейде ұйымдастыру қажет.
... жалғасы- Іс жүргізу
- Автоматтандыру, Техника
- Алғашқы әскери дайындық
- Астрономия
- Ауыл шаруашылығы
- Банк ісі
- Бизнесті бағалау
- Биология
- Бухгалтерлік іс
- Валеология
- Ветеринария
- География
- Геология, Геофизика, Геодезия
- Дін
- Ет, сүт, шарап өнімдері
- Жалпы тарих
- Жер кадастрі, Жылжымайтын мүлік
- Журналистика
- Информатика
- Кеден ісі
- Маркетинг
- Математика, Геометрия
- Медицина
- Мемлекеттік басқару
- Менеджмент
- Мұнай, Газ
- Мұрағат ісі
- Мәдениеттану
- ОБЖ (Основы безопасности жизнедеятельности)
- Педагогика
- Полиграфия
- Психология
- Салық
- Саясаттану
- Сақтандыру
- Сертификаттау, стандарттау
- Социология, Демография
- Спорт
- Статистика
- Тілтану, Филология
- Тарихи тұлғалар
- Тау-кен ісі
- Транспорт
- Туризм
- Физика
- Философия
- Халықаралық қатынастар
- Химия
- Экология, Қоршаған ортаны қорғау
- Экономика
- Экономикалық география
- Электротехника
- Қазақстан тарихы
- Қаржы
- Құрылыс
- Құқық, Криминалистика
- Әдебиет
- Өнер, музыка
- Өнеркәсіп, Өндіріс
Қазақ тілінде жазылған рефераттар, курстық жұмыстар, дипломдық жұмыстар бойынша біздің қор #1 болып табылады.

Ақпарат
Қосымша
Email: info@stud.kz