Анықталмаған теңдеулерді шешудің жаңа тәсілдері


Қазақстан Республикасы
Білім және Ғылым Министрлігі
Ленгер қаласы Төлеби ауданы
арнайы дарынды балалар мектебі
Бақашбаев Азат, 11 - сынып
Рысбеков Нұрсұлтан, 10 - сынып
Анықталмаған теңдеулерді шешудің жаңа әдістері
Экономикалық және әлеуметтік процестерді
математикалық модельдеу
Секция: Математика
Шығармашылық жетекші: Бақашбаева Зәуре
Арнайы дарынды балалар
мектебінің жоғарғы
санатты математика пән
мұғалімі.
Ғылыми жетекші: Ибрагимов Рысқұл
Халықаралық Қазақ - Түрік
университетінің Шымкент
институты жоғары
математика кафедрасының
доценті, педагогика
ғылымының докторы
Шымкент 2007
Аннотация
«Анықталмаған теңдеулерді шешудің жаңа әдістері» тақырыбындағы жазылған ғылыми - ізденіс жұмысында анықталған және анықталмаған теңдеулер арасындағы байланыс, анықталған теңдеулер жүйесін анықталмаған теңдеуге келтіру және керісінше, анықталған және анықталмаған теңдеуді және анықталмаған теңдеулер жүйесін шешудің анықтауыш әдісі мен шешу жолдары іздестіріліп, қорытындыланып, мысалдар арқылы дәлелденген, анықталмаған теңдеудің бүтін шешімдерін және өзге де шешімдерін табудың жаңа әдістері қарастырылып, қорытындысы жасалған.
Аннотация
Научно-исследовательская работа на тему «Новые методы решения неопределенных уравнений» является ценной научно-обоснованной методической новинкой в решении определенных и неопределенных уравнений.
Вместе с тем, в поисковой работе сделан глубокий анализ решения системы определенных уравнений в неопределенные и, наоборот, определенные и неопределенные уравнения и систему неопределенных уравнений с использованием определителей и методов решения и доказаны на примере решенных задач.
Annotation
The research work on a theme " New methods of the decision of the uncertain equations " is a valuable scientifically - is proved methodical novelty in the decision of the certain and uncertain equations.
At the same time, in search work the deep analysis of the decision of system of the certain equations in uncertain and, on the contrary is made, the certain and uncertain equations and system of the uncertain equations with use of determinants and methods of the decision and are proved on an example of the decided tasks.
Төлеби аудандық арнайы дарынды балалар мектебінің 11-сынып оқушысы Бақашбаев Азат пен 10-сынып оқушысы Рысбеков Нұрсұлтанның «Анықталмаған теңдеулерді шешудің жаңа әдістері» тақырыбында жазған ғылыми жұмысына
Пікір
Зерттеушінің «Анықталмаған теңдеулерді шешудің жаңа әдістері» тақырыбындағы ғылыми жұмысы көпмүшелер теориясының негізгі мәліметтерінің бірі болған теңдеулер теориясына қатысты жазылған. Ғылыми жұмыста n-ші дәрежелі теңдеулерді шешу жаңаша көзқарас тұрғысында баяндалған.
Олар:
- анықталған және анықталмаған теңдеулерді шешу;
- анықталмаған теңдеулерді анықтауыш әдісімен шешу;
- n-ші дәрежелі анықталған теңдеулерді анықтауыш әдісімен шешу;
- жоғары дәрежелі теңдеуді шешудің жаңа әдістері т. с. с.
Зерттеу жұмыстарының ғылыми жаңалығы өте құнды. Жаңа әдіспен жоғары дәрежелі теңдеулердің түбірлерін есептеу теориясы берілген және зерттеушілер өз әдістерін мысалдар арқылы дәлелдеген. Анықталған және анықталмаған теңдеулерді шешуде зерттеушілердің өз талдауы, өз болжамы берілген, сондықтан еңбектің маңызы зор.
Сол себепті ғылыми жұмысты байқауға жіберуге болады.
Пікір білдіруші: Ибрагимов Рысқұл
Халықаралық Қазақ-
Түрік университеті
Шымкент институты
жоғарғы математика
кафедрасының доценті,
педагогика ғылымының
докторы
Төлеби аудандық арнайы дарынды балалар мектебінің 11-сынып оқушысы Бақашбаев Азат пен 10-сынып оқушысы Рысбеков Нұрсұлтанның «Анықталмаған теңдеулерді шешудің жаңа әдістері» тақырыбында жазған ғылыми жұмысына
ПІКІР
Зерттеушінің «Анықталмаған теңдеулерді шешудің жаңа әдістері» тақырыбындағы ғылыми-ізденіс жұмысы математика ғылымының негізгі бөлігінің бірі болған теңдеулерді шешу, атап айтқанда, анықталған және анықталмаған теңдеулер, жоғары дәрежелі теңдеулер, Пьер Ферманың теоремалары, теңдеулерді анықтауыш әдісіне сүйене отырып табуға негізделген.
Анықталған және анықталмаған теңдеулерді шешуде зерттеушінің өз пікірі мен өз талдауы қарастырылған. Жұмыс n-ші дәрежелі теңдеулердің шешімін жаңа әдістермен қарастырылуымен бағалы.
Ғылыми-ізденісті байқауға жіберуге болады.
Шығармашылық жетекшісі: Бақашбаева З. К.
Арнайы дарынды балалар
мектебінің жоғарғы
санатты математика пән
мұғалімі.
Мазмұны
I. Кіріспе . . .
1. Мақсаты мен міндеті
2. Зерттеу жаңалығы
II. Негізгі бөлім: . . .
- Анықталмаған теңдеулерді шешу әдістері.
Есептеудегі жаңалықтар тізбесі:
- Анықталмаған теңдеуді жаңа әдіспен (анықтауыштар әдісімен) шешу.
- Анықталмаған теңдеулер жүйесін анықтауыштар әдісімен шешу.
- n - ші дәрежелі анықталған теңдеулерді теңдеулер жүйесіне ауыстыру.
- Анықталған теңдеуді (квадрат теңдеуді) анықтауыштар әдісімен шешу.
- Үшінші дәрежелі теңдеулерді шешудің жаңа әдістері.
6. 1 Дискриминанты әр түрлі жағдайдағы үшінші дәрежелі теңдеулерді шешу формулалары.
6. 2 Үшінші дәрежелі теңдеулерді шешудің графиктік әдісі.
III. Қорытынды: . . .
Зерттеу жұмысын есептер шығаруда қолдану-
дың мәні
IV. Пайдаланған әдебиеттер тізімі . . .
. . .
Кіріспе
Екі және одан да көп айнымалысы бар теңдеулерді анықталмаған теңдеулер деп атайды. Анықталмаған теңдеудің шешімі деп осы теңдеуді қанағаттандыратын айнымалылар мәндерінің барлық жиынын айтады.
Математикада 1, 2, 3, 4 дәрежелі теңдеулерді шешудің (радикалдарда) жалпы әідістері табылған, бесінші және одан жоғары дәрежелі теңдеулерді шешудің жалпы әдістері, сонымен бірге анықталмаған теңдеулерді шешудің жалпы әдістері қарастырылмаған .
Міне, осы мақсатта, анықталған және анықталмаған теңдеулер арасындағы тығыз байланысты ескере отырып, анықталмаған теңдеулерді шешудің жаңа әдістері қарастырылып, мысалдар қарастыру арқылы дұрыстығын көрсеттік.
Осы мақсатта төмендегі ізденіс жұмыстары жүргізілді:
а) Теңдеу түрлерінің бір-біріне байланыстылығына негізделе отырып, анықталмаған теңдеуді анықтауыш әдісі бойынша шештік.
ә) Анықталмаған теңдеулер жүйесін анықтауыштар арқылы шештік.
б) Үшінші дәрежелі теңдеуді дискриминантына (∆ = 0, ∆ > 0, ∆ < 0) байланысты және график тәсілімен шешуге ізденіс жұмыстары жүргізілді.
Ғылыми жұмыс мынадай жоспарда жүргізілген :
I. Анықталмаған теңдеулерді шешу әдістері.
Есептеудегі жаңалықтар тізбесі:
II. Анықталмаған теңдеуді жаңа әдіспен (анықтауыштар әдісімен) шешу.
III. Анықталмаған теңдеулер жүйесін анықтауыштар әдісімен шешу.
IV. n - ші дәрежелі анықталған теңдеулерді теңдеулер жүйесіне ауыстыру.
V. Анықталған теңдеуді (квадрат теңдеуді) анықтауыштар әдісімен шешу.
VI. Үшінші дәрежелі теңдеулерді шешудің жаңа әдістері.
1. Дискриминанты әр түрлі жағдайдағы үшінші дәрежелі теңдеулерді шешу, үшінші дәрежелі теңдеулерді шешудің тиімді формулаларын қорытып шығару және мысалдар қарастыру арқылы дәлелдеу.
2. Үшінші дәрежелі теңдеулерді шешудің графиктік әдісі.
Қорытынды: . . .
Зерттеу жұмысын есептер шығаруда қолдану-
дың мәні
Пайдаланған әдебиеттер тізімі . . .
. . .
1-тарау. Анықталмаған теңдеулерді шешу әдістері.
Егер a, b, c - бүтін сандар болса, онда ах + by = c сызықтық теңдеуін бүтін сандар жиынында шешу тәсілдерін анықтайтын бірнеше теоремалар қарастыралық.
Теорема 1. Егер (а, b) = d болса, онда ах + by = d теңдеуінің бүтін шешімдері бар.
Анықталмаған теңдеудің бүтін шешімін табуды қарастырайық.
ах + ву + с = 0 теңдеуінде d = ( а, в ) болғанда, теңдікті d-ға бөліп,
с / d = c 1 , депe алатын болсақ
а 1 х + в 1 у + с 1 = 0 теңдеуі шығады.
Егер с = 0 деп алсақ, ах + ву = 0 болады.
Теорема 2. Егер (а, b) = 1 болса, онда ах + by = 1 теңдеуінің кем дегенде бір пар (х, у ) бүтін шешімі бар.
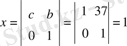
1 - мысал. 15х + 37у = 1 теңдеуінің бүтін шешімдерін табу керек.
Шешуі. 1 - тәсіл. 1 - санын 15 пен 37 сандары арқылы жіктеу керек: 1 = 15 . 5 + 37 . ( - 2) . Осыдан х = 5, у= - 2.
2 - тәсіл. Евклид алгоритмін қолдана отырып,
37 = 15 . 2 15 = 2 . 7 + 1 теңдігін аламыз. Осыдан
1 = 15 - 2 . 7 = 15 - 2(37 - 15 . 2) = 15 . 5 + ( - 2) . 37. Онда x = 5, y = - 2
2 - мысал. ( 16, 34) = 2және 7 саны 2-ге бөлінбейтіндіктен, 16х - 34у = 7 теңдеуінің бүтін шешімдері болмайды.
Теорема 3. Егер (а, b) = d >1 және с саны d - ға бөлінбейтін болса, онда ах + bу = с теңдеуінің бүтін шешімдері болмайды.
Теорема 4. Егер (а, b) = 1 болса, онда ах + bу = с теңдеуінің барлық бүтін шешімдері
х 0 = х 0 с + bt, y = y 0 c - at
формуласымен анықталады. Мұнда х 0 , y 0 сандары - ax + by = 1 теңдеуінің бүтін шешімдері, ал t - кез келген сан.
Мысалы: 127х - 52у + 1 = 0
теңдеудің дербес шешімі х = 9, у = 22 болады.
Олай болса, ( t=0, ±1, ±2, . . . ) болғанда
х = 9+52t,
y = 22+127t теңдеудің барлық бүтін шешімдері болады.
Анықталмаған теңдеудің бүтін шешімдерін табу, оның дербес шешімін табуға келіп тірелді. Осы дербес ( х 0 ; у 0 ) түбірді оңай, жылдам табу жолын қарастырайық.
Жоғарғы сыныптың алгебра курсында бұл анықталмаған теңдеулердің бүтін шешімін табудың шектеусіз бөлшектер әдісі қолданылады.
Ол әдісті Евклид алгоритмі жәрдемінде лайықты бөлшектер арқылы келтіріп шығаруға болады.
Теорема 5. Егер ( х 0 ; у 0 ) ах + by + c = 0, ( a, b ) = 1 болғандағы теңдеудің дербес бүтін түбірі болса,
х 0 = ( -1 ) n-1 ·c·Q n-1 ,
y 0 =( -1 ) n ·c·p n-1
болады, ал жалпы түбірлері
х = ( -1 ) n-1 ·c·Q n-1 - bt
y = ( -1 ) n ·c·p n-1 + at ( t = 0, ± 1, ± 2 . . . , ал p n-1 пен Q n-1 лайықты бөлшектер) .
Сандар теориясы курсында ах + by = c түріндегі қарапайым анықталмаған теңдеулер мен х 2 - Dy 2 = ±1 Пелль теңдеулерін шешу әдістері қарастырылады.
Осындай теңдеулерді шешудің жоғарыдағы теореманы қолдану әдісін келтірейік:
Мысалы : 91х + 27у = 11
теңдеуінің бүтін шешімдерін табайық
мұнда
а = 91 b = 27 болғандықтан,
91/27 = 3, 2, 1, 2, 3 .
Лайықты бөлшектердің мәнін біртіндеп табайық :
P 0 /Q 0 = 3/1=3,
p 1 /Q 1 = 7/2,
p 2 /Q 2 = 10/3,
p 3 /Q 3 = 27/8,
P 4 /Q 4 = 91/27.
Демек, К = 4, p 3 = 27, Q 3 = 8 болғанда,
х 0 = ( -1 ) 4+1 ·11·8 = -88
у 0 = ( -1 ) 4 ·11·27 = 297 болады, олай болса,
х = -88 + 27t, y = 297 - 91t жалпы шешім болады.
Салдар. Егер (а, b) = 1 және х 1 , y 1 сандары ах + by = с теңдеуінің бүтін шешімдері болса, онда бұл теңдеудің өзге бүтін шешімдері
х = х 1 + bt, y = y 1 - аt формулаларымен анықталады. Мұнда t - кез келген натурал сан.
Теңдеулер жүйесін Крамер әдісімен (анықтауыштар әдісімен) шешу.
a 1 x+b 1 y=c 1
a 2 x+b 2 y=c 2 (6) теңдеулер жүйесін Крамер әдісімен шешу жоғарғы математика курсынан белгілі болғандықтан, оның формуласын келтірейік
a 1 b 1 c 1 b 1 a 1 c 1 ∆ = ∆ x = ∆ y =
a 2 b 2 c 2 b 2 a 2 c 2
Егер ∆ ≠ 0 болса, ( 6 ) теңдеудің шешімі х = ∆x/ ∆ , y = ∆ y/ ∆ формулалары арқылы табылады.
n - дәрежелі үш айнымалысы бар теңдеулер және оларды шешу.
Мынадай анықталмаған теңдеулерді шешудің жалпы формуласын келтірейік.
( бұл біздің жеке шешу әдісіміз болады )
а) х + у = z теңдеуін шешу үшін мына формулаларды пайдалануға болады :
1) х = 2n, y = 1 - n, z = n+1 (7) n = 0, 1, 2, . . . , болғанда бүтін шешімдері болады.
2) x = 2n, y = ( 1 - 2n ) /2, z = ( 2n + 1 ) /2 теңдіктерін пайдаланып, қалған шешімдерін табуға болады.
б) x 2 + y 2 = z 2 теңдеуінің шешімін табу үшін мынадай түрлендіруді орындаймыз :
( х + у ) 2 = х 2 + 2ху + у 2 формуласын пайдаланып, х 2 + у 2 = z 2 теңдеуін былай жазуға болады:
( х + у ) 2 - 2ху = z 2 . Бұл теңдеудегі x, y, z орнына (7) теңдіктегі мәндерін қойғанда:
4n 2 + 4n( 1 - n ) +(1 - n) 2 = ( 1 + n ) 2 теңдігін алуға болады. Осыдан мынадай формула
x 2 = 4n 2 , y 2 = 4n( 1 - n ) + (1 - n) 2 , z 2 = ( 1 + n ) 2 ( 8 ) келіп шығады.
Демек x 2 + y 2 = z 2 теңдеуінің шешімдері
x = 2n, y =
2
, z = 1 + n (8) болады.
в) x 3 + y 3 = z 3 теңдеудің шешімдерін табайық, ол үшін
2n + ( 1 - n ) = n + 1 теңдігін пайдаланайық . Осы теңдікті куб дәрежеге шығарғанда,
( 2n ) 3 + 3*( 2n ) 2 *( 1 - n ) + 3*2n*( 1 - n ) 2 + ( 1 - n ) 3 = ( n + 1 ) 3 болады
Бұл теңдіктен x 3 = 8n 3
y 3 = 6n*( 1 - n 2 ) + ( 1 - n ) 3
z 3 = ( n + 1 ) 3 формулаларды табуға болады.
Олай болса, кез келген n > 2 үшін x n + y n = z n теңдеудің шешімдерін табуға болады.
г) x n + y n = z n
теңдеудің шешімдерін табу немесе Пьер Ферманның үлкен теоремасына ерекше жасалған жол .
Диофант Александрскийдің «Арифметика» кітабына жазылған Пьер Ферманның сонау «Мен мұны дәлелдеуді білемін, бірақ бос жай жетпегендіктен дәлелді келтірмедім» деген сөзіне әлі күнге дейін толық жауап берілмегені математиктерге белгілі жай .
Сол анықталмаған Ферма теңдеуін
x n + y n = z n n > 2 болғандағы шешудің жалпы жолын қарастырамыз.
x n = ( 2m ) k+1 , y n = 2m( k + 1 ) *( 1 - m k ) + ( 1 - m ) k+1 , z n = ( 1 + m) k+1 (10)
Мұндағы m
( -
,
), n= 1, 2, 3, … k = 0, 1, 2, …
2-тарау. Анықталмаған теңдеулерді анықтауыш әдісімен шешу және мысалдар арқылы дәлелдеу
Анықталған теңдеулерді теңдеулер жүйесіне келтіру мүмкіндігін және теңдеулер жүйесін анықталмаған теңдеулерге келтіру мүмкіндігін пайдаланып, анықталмаған теңдеуді шешудің анықтауыш әдісін келтіріп шығаруға болады.
Осылардан пайдаланып, кейбір есептеудің дербес және жалпы түбірлерін табуға мысалдар келтірейік:
ax + by = c
мұндағы а, в, с - тұрақты
сандар.
Осы теңдеуді анықтауыш әдісімен шешейік.
∆ = а - в болғанда,
, ал
болады. Сөйтіп теңдеудің дербес шешімі
x 0 = c / (a - b)
y 0 = - c / (a - b) болады.
Олай болса, оның жалпы шешімі
x = c / (a - b) + bt y = - c / (a - b) - at болатындығын табамыз.
Мысал 1: 54x+37y=1
∆ = a - b = 54 - 37 = 17 ∆ = 17
∆
, ∆y =
,
Equation. 3
Equation. 3
Тексеру:
Жауабы: x = 1/17, y = - 1/17
Мысал 2: 27x-40y=1
∆ = 27 + 40 = 67
Equation. 3,
Equation. 3
Equation. 3,
Equation. 3
Тексеру:
Жауабы: x = 1 / 67, y = - 1 / 67
Мысал 3: 13x-15y=7
∆ = 13 - (-15) = 28
Equation. 3,
Equation. 3,
Equation. 3,
Equation. 3 .
Тексеру:
Equation. 3
Жауабы: x = 1 / 4, y = - 1 / 4
Мысал 4: 253x-449y=3
∆ = 253 + 449 = 702
Equation. 3,
Equation. 3,
Equation. 3,
Equation. 3,
Тексеру:
Equation. 3
Жауабы: x = 1 / 234, y = - 1 / 234
3-тарау. Анықталмаған теңдеулер жүйесін анықтауыш
әдісімен шешу
1-әдіс:
f(x) =
= 0,
,
x = 0 болғанда, y = -1. 5 ( 0; -1. 5 ), x = -0. 5 болғанда, y = - 4 ( -0. 5; -4 )
Жауабы: ( 0; -1. 5 ), ( -0. 5; -4 )
2-әдіс:
,
∆ =
=
= 1- 4 = - 3, ∆ = - 3.
∆u =
, ∆
, u
.
Жауабы: (1; 2), (2; 1)
4-тарау. n-ші дәрежелі анықталған теңдеулерді теңдеулер
жүйесіне ауыстыру әдісі және оның ерекше жолдары.
- х2- 5х + 6 = 0
Теңдеуді - Виет теоремасы бойынша, теңдеулер жүйесіне айналдыруға болады.
х 1 + х 2 = 5
х 1 ∙ х 2 = 6
Осы жүйенің коэфиценттерін алайық :
1 1 5
1 1 6
сандары пайда болады.
5 санын екі санның қосындысы түрінде былай жазуға болады .
5 = 1 + 4
5 = 2 + 3
6 санын екі санның көбейтіндісі түрінде былай жазуға болады :
6 = 1*6
6 = 2*3 Осы екеуінен жауаптың 2 және 3 болатындығын табуға болады.
1. x 2 - 8x + 15 = 0 теңдеуін анықтауыш әдісімен шешейік. Теңдеулер жүйесіне айналдырсақ, ол былай болады:
x 1 + x 2 = 8
3x 1 - 4x 2 =3 Виет теоремасы мен іріктеу әдістері арқылы осы жүйені шығаруды жалғастырамыз.
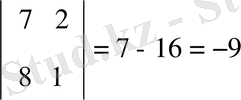
Бұл системаны анықтауыш әдісімен шешейік:
1 1
∆ = = - 4 - 3 = - 7 ∆ = - 7
3 - 4
8 1
∆x 1 = = - 32 - 3 = - 35, ∆x 1 = - 35
3 - 4
1 8
∆x 2 = = 3 - 24 = - 21 ∆x 2 = - 21
3 3
x 1 = ∆x 1 / ∆ = - 35 / - 7 = 5 x 1 = 5
x 2 = ∆x 2 / ∆ = -21 / - 7 = 3 x 2 = 3
Жауабы: x 1 = 5, x 2 = 3
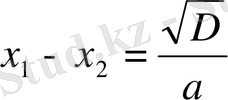
5-тарау. Анықталған теңдеуді (квадрат теңдеуді) анықтауыш әдісімен шешу
a 0 x 2 + a 1 x + a 2 = 0 теңдеуін a 0 = 1 болған жағдайдағы шешуді қарастырайық:
Мысал 1: x 2 - 8x + 15 = 0 болғанда,
,
,
.
болатындығын табамыз.
D=64 - 60=4
болғандықтан, Виет теоремасыменен
теңдігі бойынша,
болады,
Сонда
болғанда
,
;
болады.
Жауабы:
,
Мысал 2: x 2 + 12x + 27 = 0
Equation. 3
D=144-108=36,
Equation. 3 ;
Equation. 3,
Equation. 3,
Equation. 3 .
Equation. 3,
Equation. 3,
Equation. 3 Жауабы:
6-тарау. Үшінші дәрежелі теңдеуді шешудің жаңа әдістері.
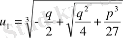
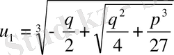
Кез келген x 3 + ax 2 + bx + c = 0 (1) теңдеуді шешудің Кардано формуласы былай есептеледі:
(2)
Бұл жерде
және
;
Кардано әдісі бойынша u және v-ларды есептеу, содан кейін (2) формула бойынша түбірлерін табу үшін көп уақыт жұмсалады. Сондықтан Кардано әдісін ыңғайлы түрге келтіру керек, яғни жаңа әдіс табылуы тиіс. Біз бұл жұмыста үшінші дәрежелі теңдеуді шешудің жаңа әдісін қарастырамыз.
6. 1 Дискриминанты әр түрлі жағдайдағы үшінші дәрежелі теңдеулерді шешу формулалары.
Кез - келген үшінші дәрежелі x 3 + ax 2 + bx + c = 0 теңдеуді x = y - a/3 алмастыруы нәтижесінде y 3 + py + q = 0 (мұндағы p = - a 2 /3 + b,
q = 2a 3 /27 - ab/3 + c) теңдеуге келтіруге болады. Ол теңдеуді шешу үшін
∆ = (q/2) 2 + (p/3) 3
дискриминантын зерттеу керек.
x 3 + px + q = 0 (2) теңдеуінің дискриминанты
∆ = (q/2) 2 + (p/3) 3 болады.
I) ∆ = 0, p
0, q
0 болғанда, (1) теңдеу x
1
= 3q/p және
x 2, 3 = - 3q/2p түбірлерге ие болады.
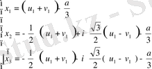
II) ∆ > 0 болғанда, (2) бір нақты және екі комплекс түбірі болатыны Кардано формуласынан келіп шығады.
x 1 = u 1 + v 1
x
2
= - ½( u
1
+ v
1
) + i
( u
1
- v
1
)
x
3
= - ½( u
1
+ v
1
) - i
( u
1
- v
1
)
Мұндағы
және
;
III)
∆ < 0, p < 0 болғанда, (2) теңдеудің үш түбірі де нақты сан болады.
Жоғары математикадан белгілі комплекс сандардан түбір табу формуласы бойынша
x
1
= 2
cosφ/3
x
2
= 2
cos(φ+2π) /3
x
3
= 2
cos(φ+4π) /3
=
болады.
Мұндағы cosφ = - q/2p, sinφ = a/r > 0
Бұл III жағдайдағы, ∆ < 0, p < 0 болғандағы (2) теңдеуді шешу логарифмдер таблица көмегімен жуықтап есептеледі. Сондықтан, басқа әдістерін іздестірейік.
Кардано формуласындағы күрделі түбірді былай ауыстырғанда, үшінші дәрежелі теңдеуді шешу оңай болады:
ax 3 + bx 2 + cx + d = 0 (1)
x =
+
-
(2)
Мұнда k = ( 2b 3 - 9abc + 27a 2 d) /a 3 (3)
D = ( b 2 c 2 - 4ac 3 - 4b 3 d + abcd - 27a 2 d 2 ) /a 4 (4)
Егер (1) формулада a = 1, b = 0 болғанда, x 3 + cx + d = 0 теңдеу пайда болады.
Біздің анықтаған жаңа формуламыз: x 3 + cx + d = 0
Бұл теңдеуді шешу үшін a = 1, b = 0 болғандықтан k = 27a 2 d = 27d
D = ( - 4c 3 - 27d 2 ) болады. Сонда формула:
x =
Equation. 3 +
Equation. 3 болады.
Мысалдар қарастырайық :
Мысал 1. x 3 + 3х +2і = 0 болғанда, ∆ = 0 болады.
Р = 3 q = 2i
Онда оның түбірі
х 1 = 3q/р = 6i/3 = 2i
х 2, 3 = - 6i/6 = - i
Жауабы: - i; 2i
Мысал 2. х 3 + 3х - 4 = 0
р = 3, q = - 4 болғанда,
∆ = 4 + 1 = 5 > 0, демек, ∆ > 0 болады.
Кардано формуласы бойынша: х =
болады.
Теңдеудің бір нақты шешімін таптық. х =
Мысал 3. х 3 + 6х - 2 = 0
р = 6, q = - 2 болғанда,
∆ = 1 + 8 = 9 > 0, Кардано формуласы бойынша
х =
болады.
Жауабы: х =
Мысал 4. х 3 - 7х - 6 = 0
р = - 7, q = - 6 болғанда,
∆ = 9 - (7/3) 3 = 9 - 343/27 = (243 - 343) /27 = - 100/27 < 0
демек, р < 0, ∆ < 0 болғанда, Кардано бір ғана формуласы бойынша түбір табу мүмкін емес, яғни
х =
+
орта мектепте
болса, теңдеу түбірі жоқ деп айтылады. Бірақ, біз (3) теңдеудің нақты түбірі бар болатындығын білеміз.
Мысал 5. х 3 - 7х - 6 = 0
теңдеудің түбірін жаңа (5) формула бойынша табайық.
c = - 7, d = - 6
k = 27 · (-6) = - 162
D = - 4 · (7) 3 - 27 (-6) 2 = 4 · 7 3 - 27 · 6 2 = 28 . 49 - 27 . 36 = 1372 - 972 = 400 болғандықтан,
х =
+
=
+
6. 2 Үшінші дәрежелі теңдеуді шешудің графиктік әдісі.
х 3 + рх + q =0 теңдеуді Кардано формуласы бойынша есептегенде.
x =
теңдіктен пайдаланатын едік. Бұл теңдікті есептеу өте ыңғайсыз. Енді ах 3 +вх 2 +сх+d=0 (*) теңдеуді график тәсілімен шешу әдісін (жаңа әдісін) келтіреміз.
y Мұндағы
Q В (d, c) (NB) (MA)
(МА) ┴ (МN)
N А (в, а) (NB) ┴ (MN)
(AP) ┴ (MP)
0 M P x
Циркуль және сызғыш көмегімен шешуге болмайтын көптеген есептерді басқа құралдар немесе сызғыш көмегімен шешуге болады. Дәл солай, үшінші дәрежелі теңдеулерді екі тік бұрышты үшбұрыш және сызғыш көмегімен шешуге болады. Ол үшін тік бұрышты координаталық хоу жазықтығында А(b; а), B(d; c) (сурет 1 ) нүктелерін белгілейміз. Егер А нүктесін сызық абцисса осіне (сурет 1-дегі М нүкте) В нүктесін ордината осіне әр жолы 90 0 бұра отырып, А нүктесінен В нүктесіне баратын болсақ х 0 = (x m - b) /a болады. Мұндағы x m - М нүкте абциссасы, х 0 (*) теңдеудің нақты түбірі болады.
Яғни х 0 АМ - ның ох осіндегі проекциясының ұзындығының а - ға бөліндісіне тең (таңбасын ескере отырып) . Егер тек бір ғана осындай сынық жүргізсек, онда бір нақты түбір, екі түйіндес комплекс түбірлер, немесе өзара тең үш нақты түбір, егер екі түзу жүргізсек, онда екеуі өзара тең үш нақты түбір, егер осындай үш сынық салсақ, онда әр түрлі үш түбірі болады.
Үшінші дәрежелі теңдеулерді графиктік тәсілмен шешуде АМNВ сынығын салу қиындау, сондықтан оны сызғыш пен екі тік бұрышты үшбұрыш көмегіменен орындауға болады.
Мысал: 2х 3 + 5х 2 - х - 1 = 0
болғанда, х 0 = 1/2 болады.
Яғни, бұл теңдеудің үш нақты түбірі болады.
Демек, үшінші дәрежелі теңдеуді графиктік тәсілмен шешуге болады екен.
Қорытынды
... жалғасы- Іс жүргізу
- Автоматтандыру, Техника
- Алғашқы әскери дайындық
- Астрономия
- Ауыл шаруашылығы
- Банк ісі
- Бизнесті бағалау
- Биология
- Бухгалтерлік іс
- Валеология
- Ветеринария
- География
- Геология, Геофизика, Геодезия
- Дін
- Ет, сүт, шарап өнімдері
- Жалпы тарих
- Жер кадастрі, Жылжымайтын мүлік
- Журналистика
- Информатика
- Кеден ісі
- Маркетинг
- Математика, Геометрия
- Медицина
- Мемлекеттік басқару
- Менеджмент
- Мұнай, Газ
- Мұрағат ісі
- Мәдениеттану
- ОБЖ (Основы безопасности жизнедеятельности)
- Педагогика
- Полиграфия
- Психология
- Салық
- Саясаттану
- Сақтандыру
- Сертификаттау, стандарттау
- Социология, Демография
- Спорт
- Статистика
- Тілтану, Филология
- Тарихи тұлғалар
- Тау-кен ісі
- Транспорт
- Туризм
- Физика
- Философия
- Халықаралық қатынастар
- Химия
- Экология, Қоршаған ортаны қорғау
- Экономика
- Экономикалық география
- Электротехника
- Қазақстан тарихы
- Қаржы
- Құрылыс
- Құқық, Криминалистика
- Әдебиет
- Өнер, музыка
- Өнеркәсіп, Өндіріс
Қазақ тілінде жазылған рефераттар, курстық жұмыстар, дипломдық жұмыстар бойынша біздің қор #1 болып табылады.

Ақпарат
Қосымша
Email: info@stud.kz