Элементар бөлшектер


Мазмұны
Кіріспе . . . 3
I. Элементар бөлшектер . . . 4
1. 1. Элементар бөлшектер физикасы . . . 5
1. 2. Антибөлшектер . . . 6
1. 3. Элементар бөлшектер классификациясы . . . 8
1. 4. Бөлшектердің бір-бірінен ажыратушы қасиеттері . . . 10
1. 5. Элементар бөлшектер зоопаркі . . . 12
Қорытынды . . . 14
Пайдаланылған әдебиеттер . . . 15
Кіріспе
Элементар бөлшектердің қасиеттері мен құрылымын зерттеу - қазіргі физиканың негізгі мәселелерінің бірі. Қазіргі кезде антибөлшектерді қосқанда 200-ге жуық элементар бөлшек белгілі болып отыр. Солардың ішінен атомдар құрамына кіретін электрон, протон және нейтрон ғана. Протон мен нейтрондардан атом ядросы, ал электрондардан атомның электрондық қабықтары түзіледі. Қалған Элементар бөлшектер әдетте секундтың өте аз үлесіндей уақыт қана өмір сүреді. Элементар бөлшектер зат атомдарымен әсерлесуі нәтижесінде электрондар мен протондарға түрленеді. Электрон, позитрон, протон, антипротон, нейтрино, антинейтрино және фотоннан басқа бөлшектердің барлығы өздігінен ыдырайды. Э. б-дің пайда болу мезеті мен ыдырау мезетінің арасындағы уақыт (тұрақсыз Э. б-дің өмір сүру уақыты деп аталатын) әдетте секундтың миллиондық және миллиардтық үлесіндей болады.
Табиғаттағы тұрақсыз Элементар бөлшектер ғарыштық сәулелерде (ғарыштағы үдей қозғалған протондар мен электрондардың атмосферадағы бөлшектерді соққылау кезінде) пайда болады. Алайда ғарыштық сәулелердегі тұрақсыз Элементар бөлшектердің қасиеттерін дәлірек зерттеу қиынырақ. Өйткені олардың қарқындылығы өте аз. Сондықтан одан гөрі зарядты бөлшектер үдеткішінде алынған Элементар бөлшектер шоғын зерттеу қолайлы. Үдеткіште жылдамдатылған протондардың не электрондардың энергиясы неғұрлым жоғары болған сайын ауыр, тұрақсыз Элементар бөлшектер алынады. Қазіргі кезде үдеткіштер бөлшектердің энергиясын 70 ГэВ-ке дейін жеткізе алады.
Элементар бөлшектердің мөлшері өте кішкентай (мыс., протонның мөлшері шамамен 10-13 см) болғандықтан, оларды ешқандай оптик. прибордың көмегімен көруге болмайды. Физиктер Элементар бөлшектер жөніндегі деректерді Элементар бөлшектердің зат арқылы өтуі кезінде пайда болған құбылыстарды зерттеу нәтижесінде алады. Мұндай құбылыстарға қозғалған бөлшектердің фотоэмульсиядағы (қ. Қалың қабатты фотопластинка әдісі) не арнаулы прибордағы (мыс., Вильсон камерасы, Көпіршікті камера, т. б. ) іздері, Элементар бөлшектердің Черенков - Вавилов сәуле шығаруы, Элементар бөлшектер өткен кезде арнаулы санауыштарда пайда болатын разрядтар жатады.
I. Элементар бөлшектер
Элементар бөлшектер - заттың ең ұсақ және ішкі құрылымы ең қарапайым деп есептелетін бөлшектері. Элементар бөлшектердің қасиеттері мен құрылымын зерттеу - қазіргі физиканың негізгі мәселелерінің бірі. Қазіргі кезде антибөлшектерді қосқанда 200-ге жуық элементар бөлшек белгілі болып отыр. Солардың ішінен атомдар құрамына кіретін электрон, протон және нейтрон ғана. Протон мен нейтрондардан атом ядросы, ал электрондардан атомның электрондық қабықтары түзіледі. Қалған Элементар бөлшектер әдетте секундтың өте аз үлесіндей уақыт қана өмір сүреді. Элементар бөлшектер зат атомдарымен әсерлесуі нәтижесінде электрондар мен протондарға түрленеді. Электрон, позитрон, протон, антипротон, нейтрино, антинейтрино және фотоннан басқа бөлшектердің барлығы өздігінен ыдырайды. Э. б-дің пайда болу мезеті мен ыдырау мезетінің арасындағы уақыт (тұрақсыз Э. б-дің өмір сүру уақыты деп аталатын) әдетте секундтың миллиондық және миллиардтық үлесіндей болады.
Табиғаттағы тұрақсыз Элементар бөлшектер ғарыштық сәулелерде (ғарыштағы үдей қозғалған протондар мен электрондардың атмосферадағы бөлшектерді соққылау кезінде) пайда болады. Алайда ғарыштық сәулелердегі тұрақсыз Элементар бөлшектердің қасиеттерін дәлірек зерттеу қиынырақ. Өйткені олардың қарқындылығы өте аз. Сондықтан одан гөрі зарядты бөлшектер үдеткішінде алынған Элементар бөлшектер шоғын зерттеу қолайлы. Үдеткіште жылдамдатылған протондардың не электрондардың энергиясы неғұрлым жоғары болған сайын ауыр, тұрақсыз Элементар бөлшектер алынады. Қазіргі кезде үдеткіштер бөлшектердің энергиясын 70 ГэВ-ке дейін жеткізе алады.
Элементар бөлшектердің мөлшері өте кішкентай (мыс., протонның мөлшері шамамен 10-13 см) болғандықтан, оларды ешқандай оптик. прибордың көмегімен көруге болмайды. Физиктер Элементар бөлшектер жөніндегі деректерді Элементар бөлшектердің зат арқылы өтуі кезінде пайда болған құбылыстарды зерттеу нәтижесінде алады. Мұндай құбылыстарға қозғалған бөлшектердің фотоэмульсиядағы (қ. Қалың қабатты фотопластинка әдісі) не арнаулы прибордағы (мыс., Вильсон камерасы, Көпіршікті камера, т. б. ) іздері, Элементар бөлшектердің Черенков - Вавилов сәуле шығаруы, Элементар бөлшектер өткен кезде арнаулы санауыштарда пайда болатын разрядтар жатады.
Элементар бөлшектерді зерттеу саласында соңғы уақытта ірі табыстарға қол жетті. Элементар бөлшектердің құрылымы әзірше айқындалмаса да оларды нағыз элементар деп айтуға болмайды. Элементар бөлшектердің күрделі болатындығы олардың бір-бірімен әсерлесетіндігіне байланысты. Элементар бөлшектер бір-бірімен әсерлесе отырып басқа бір Элементар бөлшектерге түрленеді. Осы түрлену кезінде энергияның, импульстың және қозғалыс мөлшерінің заңдары, сондай-ақ арнаулы заңдар да (мыс, электр зарядының сақталу заңы, ғажаптылықтың сақталу заңы) орындалады.
Элементар бөлшектердің фотоннан басқасы лептондар, мезондар және бариондар деп аталатын үш топқа бөлінеді. Әр топтың өздеріне тән кванттық сандары болады. Э. б. гравитац. өзара әсерден басқа - күшті, эл. -магн. және әлсіз өзара әсерге қатысады. Әрбір элементар бөлшектің антибөлшегі бар. Бөлшек пен антибөлшек жұбының қарапайым мысалына электрон мен позитрон жатады. Өзара әсерлесудің әр түріне сәйкес өзінің симметриясы болады. 20 ғ-дың 60-жылдары барлық белгілі Э. б. құ-ралады деп жорамалданатын және адрондардың күшті өзара әсеріне қатысатын - кварктер теориясы жасалды (американ физигі М. Гелл-Ман, австрия физигі Г. Цвейг) . Кварктердің болатындығы әзірше іс жүзінде дәлелденген жоқ.
Біздерге таныс атом бөлшектері электрон, протон, нейтрон, солармен қатар фотон және нейтринолар элементар бөлшектер болып табылады. Элементар бөлшектер қатарына антибөлшектер де кіреді. Электронның антибелшегін позитрон, ал протондікін антипротон деп атайды. Олар бір-бірінен зарядтарының таңбасымен ғана ерекшеленеді. Мысалы, электронның бір теріс элементар заряды бар болса (е ), позитрон бір оң элементар зарядты иеленеді (е+) . Дәл осылай протон (р) бір оң элементар зарядты, ал анти-протон (р) бір теріс элементар зарядты иеленеді.
Өз құрылымы мен құрамы болмайтын бөлшекті элементар бөлшек дейміз.
Элементар бөлшектер қатарына нуклондар мен электрондарды және басқа да бөлшектерді қосқанымызбен, олардың қаншалықты элементар екенін дәл басып айта алмаймыз. Бір кездері молекулаларды, одан кейін атомдарды дүниенің бөлінбейтін кірпіші, яғни элементар бөлшегі деп айтқан болатын. Ал қазір элементар бөлшектер қатарында 400-ден аса бөлшектер бар. Шынында да, олар элементар белшектер ме? Бұл сұрактың жауабы әзірге ғылыми болжамдар деңгейінен аса алмай отыр. Оған негіз де жоқ емес
1. 1. Элементар бөлшектер физикасы.
Элементар бөлшектер физикасы пәні материяның табиғатын және өзгерістерін субядролық деңгейде немесе элементар бөлшектер деңгейінде үйренетін пәнге айтылады. Сол пәнді өте кіші қашықтықтар мен өте кіші энергиялар сипаттайды. Ал оны физиканың жоғарғы энергиялы физикасы бөлімі үйренеді. Атом құрамының өте күрделі процесте екендігі бекітілген соң оның ядросының құрамыда басқа деңгейде ғылыми жағынан үйәненіле бастаған. Ядроның бөлінбейтін 3 бөлшектен (протон, электрон, нейтрон) тыс басқа да микробөлшектер барлығы анықтала бастады. Фотон қосылды. Олардың әр біреуі өзінше дискрет болуына сәйкес оларды элементар бөлшектер деп атайды.
Элементар- қарапайым.
Ал табылып жатқан бөлшектер мысалы, миюондар, пиондар және нейтринолар қарапайымдылық ролін атқармайды.
Қазіргі күндегі элементар бөлшектер немесе атомдар Менделеев элементіне қарағанда өте көп екендігі анықталды. Сонда протон және нейтрон элементарлық бөлшектерден шығып кетті. Элементар бөлшектер термині ішінде жататын материялар өте көп кіші топтарға немесе микро объектерге бөлінеді.
Нақты элементар бөлшектер деп- барлық фундаменталь бөлшектер және субъбөлшектерге айтылады. Ал физикада барлығын жай ғана элементар бөлшектер деп атайды.
- Барлық жаңа ашылып жатқан бөлшектер серпімсіз шашылу реакциясы нәтижесінде пайда болып жатыр. Олардың бірі нейтрино. Оны жүзеге келтіруде үлкен энергиялы бөлшектер өзара бөлшектер өзара соқтығысып, кейін олардан арнайы детекторлар арқылы нейтриноның шашылуын үйренеді. Бірінші бөлшектердің негізгі көзі 1950ж космостық сәулелер болса кейін жасанды түрде немесе үдеткіштер жәрдемінде басқарылатын жоғарғы энергиялы интенсивті бөлшектер жиынтығы жүзеге асырылды. Олардың тізімі кестелерде беріледі. әр екі жылда бір рет жаңаланып арнайы комиссия көріп шығады. Комиссияның аты -Particle Data Group. Қазіргі күнде 400-ге жуық элементар бөлшектер анықталған және олардың саны ай сайын өсуде. Төменде олардың хронологиялық ретімен келтірілген кестесі болады. Олардың бірнешеуімен бізде танысамыз:Электрон - е-. 1897ж Дж. Дж Томсон, М. Фарадей, Е Вихерд ашқан. Сөзсіз электронды 1911ж тәжірибеде Милликен анықтаған. Протон белгісі р. Ол сутегі атом ядросы болып, 1919ж элементар бөлшектер жүйесіне Резерфорд енгізген. Фотон белгісі -. 1922-23жж М Планк А Энштейн және Комптон тарапынан енгізілген. Ал оны нағыз фотон деп атаған 1926ж Г Льюис. Фотон ерікті электромагниттік өрістер кванты болуымен бірге электромагниттік өзара әсерді тасушылар болып табылады. Гравитон G ол да фотон сияқты функцияны атқарады. Бірақ гравитациялық қатынасында эксперименте оны күзету өте қиын болған. Себебі олардың гравитациялық өзара әсерлері өте кіші болған. Гравитонның интенсивтігі 10-38, әсер ету радиусы шексіз, жасау уақыты белгісіз. Нейтрон белгісі- n. Теория жүзінде 1920ж Резерфорд айтып келсе, 1932ж Чедвик оны ашқан. Антибөлшектер. 1930ж Дирак тарапынан айтылған. 1932ж позитрон заряды е+, е-анти ашылған. Пиондар (пи-мезондар) белгісі-. 1935ж Х. Юкаба жағынан табылған. Ал 1947ж С. Пауэлл, Акиолини жағынан зарядталған пиондар ашылған. Ал 1950ж Р. Верхлунд жағынан зарядсыз пиондар ашылған.
1. 2. Антибөлшектер
- 1930ж Дирак тарапынан бірінші болып заряды нолге тең болмаған әрбір элементар бөлшектің қарама-қарсы таңбалы зарядқа ие болған анртибөлшегі барлығы айтылады.
1932ж К. Андерсон тарапынан бірінші антибөлшек болған электронның сыңары табылды. Яғни е + . Олар левтондар отбасына кіреді және массасы электрон массасына тең. Меншікті энергиясы 0, 511МэВ спині ½-ге тең.
Спин деп
- берілген бөлшектің өз осі орбитасымен айналуындағы қозғалыс мөлшерінің моментіне айтылады. Оның бірлігі етіп
алынған . Левтон сөзінің мағынасы грек тілінің “левто” сөзінен алғанда ең майда монета деп аталады.
Реакция кезінде шашылуы тұрақты, жасау уақыты шамалы.
1935ж Жапон физигі ядрокүштерінің табиғатын түсіндіру үшін пи-мезондарды енгізді. Олар плюсты, зарядсыз, теріс зарядты болады. Олар мезондар тобына кіріп, гректің “мезос” сөзінен ауңдарғанда “орталықты” деген сөз.
-тің энергиялары 140МэВ массалары электрон массасынан 273есе үлкен, спиндері 0.
Реакция кезінде шашырауы:
Жоғарғы екеуінің жасау уақыты 2, 6*10
-8
с. Ал
-дікі 1, 8*10
-16
с. Олар жоғарғы энергиялы вариондардың ядромен өзара әсерлері уақытында шашырап шығады.
Вариондар деп - элементар бөлшектердің үшінші негізгі тобында аталып, гректің “бар” деген сөзінен шығып “ауыр” деген мағынаны білдіреді.
Зарядталған пиондар 1947ж, ал нейтраль пиондар 1950ж тәжірибеде табылған. 1930ж Андерсон және Нидермайер тарапынан мию-мезондар тәжірибеде күзетілді. 1930ж Паули тарапынан β бөлшекті бөле алу түсінігі мақсатында істелген тәжірибеде нейтрино ν түсінігі пәнге кіріп келді. Нейтрино нейтронның сыңары болып табылады. Оның массасы электрон массасына 1839есе үлкен. Меншікті энергоиясы 940 Мэ . спині ½ . Шашырауы:
Антибөлшектердің төбесіне ~ қоямыз. Жасау уақыты 10 3 с.
Протон мен нейтрон атом ядросын түзетін болса оның антибөлшектері немесе егізектері үдеткіштерде жоғары энергиялы протонның ядромен өзара әсері кезінде жүзеге келеді. Нейтриноның барлығы 1950ж тәжірибелерде күзетіледі. Солай етіп 1940ж сонына келіп элементар бөлшектер саны 15-ке жетті.
1960ж ортасында Менделеев элементінің сандарынан артып кетті. Мұндай табылулар элементар бөлшектердің шынымен элементар екендігіне сенімді жоғалта бастады. Тексерулер нәтижесінде олар өз структурасына ие болмаған және одан әрі майда бөлшектерге бөлінбейтін бөлшек деп табылды.
- Элементар бөлшектер физикасында 4түрлі өзара әсерлесу күші бар. Күшті өзара әсерлеасу күші. Бұл әсерлесуге қатысушы аталады. Бұл бөлшектер әсеріндегі ядродағы протонмен нейтрондарды ұстап тұрады. Бұл күштер арқылы кварктар өзара байланысып адрондарды жүзеге келтірген. Электромагниттік өзара әсерлесу күші. Бұл әсерде негізінен зарядталған бөлшектер қатысады. Бірақ нейтраль бөлшектерде өз структурасына ие болғандығы себепті бұл әсерде қатынасуы мүмкін . Мысалы, неитрон күрделі структураға ие болғандығы себепті өз магнит моментіне ие болып, мұндай әсерде толығымен қатынасады. Бұл әсер қазіргі заманда зерттелген, үйренілгенәсер түрі болып есептеледі. Күшсіз өзара әсерлесу күші. Мұнда барлық элементар бөлшектер қатынасуы мүмкін. Бүл әсер астында жүзеге келетін процестер өте баяу жүреді. Атом ядроларының β шашырауы күшсіз өзара әсерге мысал бола алады. Гравитациялық өзара әсерлесу ең универсалы болып саналады. Мұнда барлық бөлшектер қатысады. Әрқандай өзара әсер 3 шамамен сипатталады. Олар:1 әсер интенсивтігі немесе қарқындылығы. 2-ші әсер радиусы, 3-ші әсерлесу қарқындылығы өзара әсерлесу уақыты өзара әсерлесу механизмін есепке алғандағы 3 физикалық шама кестеде келтірілген.

1. 3. Элементар бөлшектер классификациясы.
1. Адрондар. 2. Мезондар. 3. Резонанстар. 4. Лептондар. 5. Гиперондар.
Күшті әсерде қатынасушы(сонымен бірге электромагниттік және әсерде де) элементар бөлшектерге адрондар дейді. Олар вариондар мен мезондарға бөлінеді. Вариондар нуклондарға (протон және нейтрондардың жалпы атына айтылады) . Гиперондарға және резонанстарға бөлінеді. Гиперондар массасы протондікінен ауыр болатын бөлшектер болып, оларға бұларды ламбда гиперондар дейді. Одан тыс сигма гиперондар бар:
Кси гиперондар:
Гиперондардың периоды
Резонанстардың орташа жасау периоды өте кіші болып,
. Оларөткен ғасырдың 60 жылы ашылған болып, қазіргі күнде олардың саны 300-ден артық. Нуклондар мнен гиперодар жасау периодтары резонанстардікіне қарағанда үлкен болғандығы үшін оларды стабиль бөлшек деп аталады. Ең нақты стабиль бөлшек болып протон саналады. Себебі, оның жасау периоды
Нейтрон еркін күйде шамамен 15 минут айналасында жасайды. Мезондарда стабиль болып саналып олар резонансты мезондарға бөлінеді.
Стабиль мезондарға жатады. Стабиль-тұрақты. Стабиль мезондардың жасау периодыРезонансты мезондарғаСияқты мезондар мысал бола алады.
Жалпы барион және мезон резонанстарының жасау периоды. Олар мұндай өте қысқа уақыт ішінде жасауына қарамастан белбілі спиндерімен жұптықтарына ие болып белгілі ішкі квант сандарына да ие болғандығы үшін оларды да элементер бөлшектер қатарына қосқан.
Резонастар нық массаңы ие болмай үздіксіз масса спектріне ғана ие. Осы спектрдің максимумына сәйкес келуші мән резонанс массасы деп қыблданған. Олардың болу ықтималдығы.
теңдеуімен анықталынып, бұған ыдырау ықтималдығы делінеді.
Г-резонастардың ыдырау ықтималығы.
4. Күшті өзара әсерде қатынаспайтын элементар бөлшектерге лептондар деп аталады. Қазіргі күнде 3 топқа бөлінген лептондар анықталған
бөлшек
,
,
антибөлшек
және олардың бөлшек немесе антибөлшектері болып бөлінеді.
Электрон
,
,
,
нейтрондар болып олар стабиль жасайды. Ал
мезон немесе
лептондар стабиль емес.
Барлық стабиль емес бөлшектредің жасау периоды негізінен кестелерде келтіріледі. Лептондардың өз структурасы фундамаенталь бөлшектерге жатады. Себебі қзіргі күндегі үдеткіштерде жүзеге келтіру мүмкін болған мысалы шамамен 10 -18 м масштабтағы немесе өлшемдегі электронда структураға ие местігі ашылған.
Электрон
мезон немесе
лептондар электромагниттік немесе өзара әсерде болса нейтрондар тек күшсіз әсерде ғана қатынасады. Солай еіп қазіргі күнге элементар бөлшектер классификациясын көз алдымызға келтіу үшін келесі кестені пайдаланамыз.
бөлшектер
адрон
Әсер тасушылар Лептондар Стабиль Резонанстар
адрондар
Мезон Барион
Мезон Барион резонанс резонанс
Адрондар мен лептондар өздерінің антибөлшектеріне ие. Егер бөлше пен оның антибөлшегі бетпе-бет түссе онда оларға нақты нейтраль бөлшек делінеді.
1. 4. Бөлшектердің бір -бірінен ажыратушы қасиеттері.
1. Масса2. Спин3. Жұптық4. Электр заряды5. Магнит моменті6. Изоспин
Бөлшектерді сипаттаушы квант салаларының сақталу заңдары негізінде жүзеге келеді. Бұл заңдар кеңістік пен уақыттық симметриясы немесе ішкі кеңестік симметриясы нәтижесінде пайда болады. Ішкі симметрия өзара әсер симметриясымен белгілейді және ішкі квант сандарды да алып келеді. Олардан:
- Масса деп- берілген бөлшектің өзіндігін белгілеуші қасиетке айтылады. Эйнштейн теңдеуіне сәйкес
МэВ-пен өлшенеді.
![]()
Әрқандай өзара әсерде масса сақталуы керек. Себебі, масса динамикалық табиғатқа ие болып және бөлшектің негізгі классификациялық белгісі болып есептеледі.
Менделеевте элементар периодтық кестелерден алдымен атомдар массасына қарай түзілген. Бірақ ол кесте қате болып табылады.
2. Спин. Бөлшектердің сипаттамасы болып Планк тұрақтысының белбаулы бірлігімен өлшенеді. J[ħ] - бөлшектің меншікті қозғалыс мөлшері моментін белгілейді.
Мысалы: Фотонның спині 1-ге тең.
Гравитонныың спині 2-ге тең.
Левтондікі ½-ге тең.
Мезон 0-ге тең.
Гиферондар 3/2-ге тең.
Барион ½-ге тең.
Олар тобындағы бүтін санды спиндерге бозондар деп аталады. Ал жартылай немесе бөлшек санды спиндерге фермиондар деп аталады.
3. Жұптық. Кеңестік жұптылығы деп бөлшек толқын функциясының кеңестік координатасына
сияқты өзгертетін өзін ұстап немесе тұтып тұру қасиетіне айтылады.
Егер жұптылығы
-ге өтудефизикалық шамалар компонентталары өзгермей қалса, онда бұл шама оң таңбалы жұптыққа ие болады және
Егер өз таңбаларын өзгертсе, онда
яғни теріс таңбалы жұптылыққа ие болады. Кеңестік жұптық түсінігінен тыс ішкі кеңістік жұптылығыда табылған. Сонда кеңестік жұптылығы бөлшектердің орнын сипаттайды.
Ал ішкі кеңестік жұптығы тікелей бөлшектің өзін сипаттайды.
Бөлшектің сипаттаушы квант сандарды осы кеңестік жұптығымен тәуелді немесе байланысты. Егер бөлшектер системасы жұптылығынан басқа бөлшектер жұптығы енетін болса, ол системаның жұптығы сол бөлшектер жұптығының көбейтіндісіне тең болады.
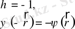
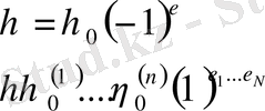
η 0 -бөлшектің ішкі жұтығы. (-1) е -тең болады. η е - оның орбиталь жұптылығы болып табылады. (-1) е = η 0
Гравитоннан басқа барлық бозондар жұптығы теріс болып жүреді. Ал мезон резонанстары терісте, оң да жұптарға ие. Барлық бариондардың кеңістік жұптығы оң болады. ал антибариондар теріс болады.
Кестелерде спин және жұптарды J η деп белгілеп, біргелікте берілуі мүмкін. Ол: фотон үшін 1 - , гравитон үшін 2 + , пион үшін 0-ге, протон үшін 1 η /2 .
Бөлшектің 3 қасиеті (масса, спин, жұптық) олардың “геометриялық ” немесе кеңестік уақыт симметриясына незізделген сипаттама болып шықты. Бөлшектің қалған басқа қасиеттері ішкі кеңестік “жасырын” симметриясына негізделген болып ішкі квант сандарына, яғни сақталушы шамалардан келіп шығады. Сонымен бірге оларда сақталушы шамалар болып табылады.
4. Бөлшектің электр заряды-әдетте 0немесе 1-ге тең болса, ∆ бөлшектерде +2, ал олардың анти бөлшектерінде -2-ге тең болады.
Лептон заряды өзі үшін +1-ге, ал антилептондар үшін -1-ге тең. Сонда электрон лептон заряды -l e , ал мюон лептон заряды -l μ , ал тауон лептон заряды өзіне сәйкес l τ болып лептон зарядының сақталу заңына сәйкес:
- Іс жүргізу
- Автоматтандыру, Техника
- Алғашқы әскери дайындық
- Астрономия
- Ауыл шаруашылығы
- Банк ісі
- Бизнесті бағалау
- Биология
- Бухгалтерлік іс
- Валеология
- Ветеринария
- География
- Геология, Геофизика, Геодезия
- Дін
- Ет, сүт, шарап өнімдері
- Жалпы тарих
- Жер кадастрі, Жылжымайтын мүлік
- Журналистика
- Информатика
- Кеден ісі
- Маркетинг
- Математика, Геометрия
- Медицина
- Мемлекеттік басқару
- Менеджмент
- Мұнай, Газ
- Мұрағат ісі
- Мәдениеттану
- ОБЖ (Основы безопасности жизнедеятельности)
- Педагогика
- Полиграфия
- Психология
- Салық
- Саясаттану
- Сақтандыру
- Сертификаттау, стандарттау
- Социология, Демография
- Спорт
- Статистика
- Тілтану, Филология
- Тарихи тұлғалар
- Тау-кен ісі
- Транспорт
- Туризм
- Физика
- Философия
- Халықаралық қатынастар
- Химия
- Экология, Қоршаған ортаны қорғау
- Экономика
- Экономикалық география
- Электротехника
- Қазақстан тарихы
- Қаржы
- Құрылыс
- Құқық, Криминалистика
- Әдебиет
- Өнер, музыка
- Өнеркәсіп, Өндіріс
Қазақ тілінде жазылған рефераттар, курстық жұмыстар, дипломдық жұмыстар бойынша біздің қор #1 болып табылады.

Ақпарат
Қосымша
Email: info@stud.kz