Ядролық физиканың даму тарихынан қысқаша мәліметтер


1. 1. Ядролық физиканың даму тарихынан қысқаша мәліметтер
Ядролық физика-атом ядросы мен элементар бөлшектердің құрылымын, түрленулерін және олардың қатысуымен өтетін құбылыстарды зерттейді. Ол ең жас ғылымдардың бірі. ХІХ ғасырдың аяғына дейін дерлік атомдар заттардың бөлінбейтін ең кіші, құрылымсыз бөлігі деп есептеліп келді. Тек 1895-жылы катод сәулелері ашылғаннан кейін ғана, оның құрамына электронның кіретіндігі және белгілі бір жағдайларда оның ұшып шыға алатындығы мен бұл қасиеттің атомдардың барлығына тән екендігі анықталды. Ал 1896-жылы ашылған радиоактивтілік құбылысы ауыр атомдардың
және
-нұрлар шығара алатынын көрсетті. Сөйтіп адамзат бірінші элементар бөлшектермен
-квантпен және электронмен танысты.
Атом ядросы туралы ұғымды 1911-жылы Резерфорд енгізді. Ол, өзінің шәкірттері Гейгер мен Марсденнің -бөлшектердің жұқа металл қабыршақтарымен шашыратылуына тәжірибелерінің нәтижесін түсіндіру үшін, атомның ядролық моледін ұсынды. Ол бойынша, атом, оның центрінде орналасқан, мөлшерлері өте кішкентай , оң салыстырмалы үлкен қашықтыққа айналып жүретін электрондардан тұрады. Электрондардың массасы өте аз, сондықтан атомның барлық массасы дерлік ядрода шағырланған.
Атомның ядролық моделі -бөлшектердің металл қабыршықтармен шашыратылуын тамаша түсіндіріп, материялық құрылымын түсіну бағытында жасалған елеулі қадам болды. Ядролық физика осы моделден басталады деп есептеуге болады. Бірақ бұл моделдің үлкен кемшіліг бар. Ол мұндай атомның нықсыздығы. Ядролық модел Күн жүйесіне ұқсас. Күн жүйесіндегі планета оның Күнге тартылу күші әсер етеді. Осы (F≈1/r 2 ) күш планетаның орнықты қозғалысын қамтамасыз етеді. Атомдық электрондарға әсер ететін электростатикалық тартылу күштері планеталарға әсер ететін гравитациялық тартылу күшіне ұқсас. Сондықтан, бұл жүйеде нық болу керек сияқты. Бірақ, электрон электрлік зарядты бөлшек және ол қисық бойымен, яғни үдеумен қозғалады. Ал, электродинамикаға сәйкес, үдемелі қозғалыстағы зарядталған бөлшек электромагниттік нұр шығарып, өзінің энергиясын азайтады. Демек, оның жылдамдығы сонымен қатар, оны орбитада ұстап тұруға қажет центрге тартқыш күш кемиді. Кулондық тартылыс күші сол күйінде қалатындықтан, электрон ядроға жақындайды. Бұл құбылыс электрон ядроға құлап түскенге дейін жалғасады. Сөйтіп, электрондардың ядроны айнала қозғалысы нық, мәңгілік бола алмайды. Электронның ядроға құлау барасында оның ядроны айналу периоды, демек атом шығаратын нұрдың жиілігі өзгеріп отырады. Демек, атом шығаратын нұрдың спектрі үздіксіз (тұтас) болуы керек. Сөйтіп, атомның ядролық моделі тәжірибелер көрсеткен екі нәтижеге: атомдардың нықтығы мен олардың шығаратын нұрларының спектрлерінің дискреттігіне қайшы келеді.
Бұл қайшылықты жою үшін Н. Бор 1913-жылы батыл қадам жасап, сол кездегі қалыптасқан ғылыми көзқараспен үйлеспейтін, өзінің атақты постулаттарын ұсынды. Борша: Атомдағы электрондар стационар орбиталар бойымен ғана қозғала алады және бұл қозғалыс кезінде олар нұр шығармайды. Бұл орбиталар үшін электронның импульс моменті еселенген Планк тұрақтысына тең
мұнда
-бүтін сан,
-сәйкес, электронның массасы, жылдамдығ және оның орбитасының радиусы (1-постулат) .
Электрон бір стационар орбитадан екінші сатционар орбитаға өту кезінде ғана нұр шағарады немесе жұтады, және ол нұрдың жиілігі электронның осы күйлердегі энергияларының айырмасымен анықталады (2-постулат)
мұнда:
.
Бор постулаттары атомдық процестерді дұрыс түсіндіруге мүмкіндік береді, бірақ ол өзінің ішкі қайшылықтарын-неге атомдық құбылыстар үшін дағдылы классикалық ұғымдардан бас тарта отырып, есептеулерді классикалық әдістермен жүргізу керектігін түсіндіре алмады.
Бұл қайшылық тек 1926-жылы Гейзенберг пен Шредингер кванттық механиканы ұсынғаннан кейін ғана жеңілді.
1919-жылы Астон бірінші масс-спектрографты құрастырады. Оның көмегімен бірінші рет атомдардың массалары дәл анықталады, изотоптар ашылады. Сол жылы Резерфорд α-бөлшектермен жасаған тәжірибелерін жалғастыра отырып, азот ядросының ыдырауы кезінде, одан заряды +е, массасы сутегі атомының ядросының массасына тең бөлшек ұшып шығатынын байқады. Тәжірибе басқа заттармен де қайталады. Олар барлық жағдайларда дерлік α-бөлшектермен атқыланған заттардан сутегі атомы ядросының ұшып шығатынын көрсетті. Бұл ядролардың құрамына қарапайым ядро - сутегі атомының ядросы кіретінінің куәсі болды. Бұл қарапайым ядро « протон » деп аталды.
Протонның ашылуы атом ядросының протон-электрондық моделін ұсынуға мүмкіндік берді. Бірақ есептеулер мен тәжірибелерді салыстыру атом ядросының А протон мен A-Z электроннан құрылуы мүмкін еместігін көрсетті.
Боте мен Беккер 1930-жылы кейбір жеңіл элементтерді (Li, Be) α-бөлшектермен атқылау кезінде протонның орнына заттар да өте нашар жұтылатын бөлшектер ұшып шығатынын байқады. 1932-жылы ерлі-зайыпты Жолио-Кюрилер бұл нұрдың жеңіл ядролармен әсерлесу кезінде ядролардың тебілетінін анықтады. Ол кезде белгілі нашар жұтылатын нұр
-ғана болатын. Бірақ, импульс пен энергияның сақталу заңдарына сүйенген есептеулер бұл бөлшектердің
-кванттар еместігін көрсетті. Сол жылы Чэдвик импульс пен энергияның сақталу заңына сүйеніп, осы бөлшектің массасын есептеп, оның протонның массасына жуық екенін тапты. Затта нашар жұтылу үшін, бұл бөлшек электрбейтарап болуы керек. Сөйтіп, «нейтрон» деп аталған, массасы протонның массасына тең дерлік, электрбейтарап жаңа бөлшек ашылды. Дәл өлшеулер нейтронның массасының протонның массасынан 2, 5 электрон массасына артық екенін көрсетті. Олай болса, ол бөлшектің протон мен электронға ыдырауы мүмкін. Ондай ыдырауды 1950-жылы бір-бірлеріне тәуелсіз Спивак пен Сосновский, Робсон мен Спелл ашты. Нейтрон бірінші ашылған орнықсыз элементар бөлшек. Оның өмір сүру уақыты
~16 мин.
Нейтрон ашылғаннан кейін көп ұзамай Д. Д. Иваненко мен В. Гейзенберг ядроның протон-нейтрондық моделін ұсынды. Бұл модел, протон-электрондық моделдің қиыншылықтарынан арылып, ядроның құрылымы мен қасиеттерін түсіндіріп берді. Қазіргі кезде ядроның протон-нейтрондық құрылымы тәжірибе жүзінде дәлелденген.
1928-жылы Дирак, электрон үшін релятивистік кванттық механикалық теңдеуді зерттеу кезінде, зарядтан басқа қасиеттері электронмен бірдей, ал электр заряды оң, бөлшек-позитрон болу керек деген тұжырым жасады. Ондай бөлшекті 1932-жылы Андерсон, космостық сәулелерді зерттей барысында ашты. Бұл бірінші ашылған антибөлшек болатын.
1934-жылы Жолио-Кюри, жеңіл ядроларды α -бөлшектермен атқылау кезінде жасанды радиоактивтілік пайда болатынын ашып, лаборатория жағдайында позитронды бақылады.
Паули
-ыдыраудың тұтас спектрін түсіндіру үшін 1931-жылы тағы бір элементар бдөлшектің болуы керектігі жайлы болжам жасады. Бета-спектрді түсіндіру және тіркелуінің өте қиындығын түсіндіру үшін, бұл бөлшек электроннан көп жеңіл және электрбейтарап болуы керек. Оны ол
«нейтрино»
деп атады. Нейтриноны тікелей тәжірибе жүзінде тіркеуді 1953-жылы Рейнес пен Коуэн іске асырды.
1938-жылы Альварец радиоактивтіліктің ерекше түрі-е-карпуды бақылады. Электрондық карпу кезінде ядро өзінің электрондық қабығынан (көбінесе К-қабықтан) бір электронды жұтады. Карпу кезінде
-ыдырау кезіндегі сияқты нейтрино бөлініп шығады.
1939-жылы Ган мен Штрассман, уранды нейтрондармен нұрландыру кезінде оның ядросының массалары бірдей дерлік екі бөлікке бөлінетінін байқады. Кейінірек, жасанды бөліну барысында, қосымша, бірнеше нейтрон ұшып щығатыны анықталды. Бұл нейтрондарды басқа уран фдроларын бөлуге пайдалануға, сөйтіп, тізбекті бөліну реакциясын іске асыруға болады.
Дүние жүзінде бірінші ядролық реактор 1942-жылы АҚШ-тың Чикаго қаласында Э. Фермидің басқаруымен іске қосылды. Евроазияда бірінші реактор Мәскеуде 1946-жылы іске қосылды.
1932-жылы Кокфорт пен Уолтон бірінші протондық үдеткішті құрып, оның көмегімен литий ядроларының үдетілген бөлшектердің әсерінен ыдырауын бақылады. Осыдан бастап физиктер ядролы түрлендірудің қуатты құралын тапты. Қазіргі заманғы үдеткіштер тек қана протон мен электронды емес, Менделеев кестесіндегі кез-келген элементтің ядросын үдетуге мүмкіндік береді және үдетілген бөлшектердің энергиясы бірнеше ТэВ-қа дейін жеткізілді.
1938-жылы Андерсон мен Неддермейер бірінші аралық массалы (протоннан жеңіл, электроннан ауыр) бөлшек мюонды ашты. Одан сәл ертерек (1935ж) Юкава ядролық күштердің мезондық теориясын ұсынып, -оған жауапты бөлшектің массасы электронның массасынан 200
300 есе артық болуы керектігін көрсеткен болатын. Мюонның массасы
, яғни дәл Юкаваның болжамдағындай. Бірақ зерттеулер мюонның ядролық әсерлесуге қатынаспайтынын, яғни, оның ядролық әсерлесу кванты еместігін көрсетті.
Ядролық әсерлесудің кванты бола алатын ьірінші бөлшекті 1947-жылы Пауэлл космос нұрларының құрамынан тапты. Бұл бөлшек
пи-мезон
(
) деп аталады.
1950-жылдары бөлшектерді тіркеудің жаңа әдістері (эмульсиялық және көпіршіктік камералар) табылды, оларды үдету әдістері жетілдірілді. Осылардың нәтижесінде 1950-90 жылдар арасында көптеген жаңалықтар жасалды. Ерекше қасиетті (оғаш, тәнті, әдемі, шыншыл) элементар бөлшектер, нәзік әсерлесу барысында жұптылықтың сақталмайтындығы, адрондардың кварктық құрамы, нәзік әсерлесу кванттары және т. б. ашылды.
Соңғы жылдардың ерекше табыстары ретінде күшті әсерлесудің теориясы-кванттық хромодинамиканың дамуы мен электромагниттік әсерлесу мен нәзік әсерлесудің біріккен электронәзік әсерлесу теориясын атауға болады.
1. 2. Ядролық физикадағы мөлшерлер мен бірліктер
Ядролық физика атом ядролары мен элементар бөлшектер әлемінде өтетін құбылыстарды қарастырады. Бұл ретте ядролық физика субатомдық құбылыстар физикасы болып табылады. Ядролық физикада қарастырылатын құбылыстар өте қысқа қашықтықтар мен біо бөлшекке (немесе масса бірлігіне) келетін энергияның өте үлкен мәндеріне сәйкес келеді. Ядролық физикада қарастырылатын ең үлкен қашықтық ретінде атом радиусын (шамамен 10 -10 м) алуға болады. Ал энергияның кіші шегі атомдағы электрондардың байланыс энергиясына (10 -17 -10 -18 Дж) тең болады.
Энегияның жоғары шегі мен қашықтықтың төменгі шектері әлі анықталмаған. Олар эксперименттік техниканың сезгіштігіне мүмкіндіктерімен анықталады. Оның дамуына сәйкес өзгеріп отырады. Осы заманғы техниканың шамамен ~10 -18 м=1ам (аттометр) сәйкес келеді. Осы заманғы үдеткіштерде алуға болатын протондардың энергиясы шамамен 10 -5 Дж. Бұл, өте аз энергия сияқты көрінеді. Әрине, макродене үшін бұл аз, бірақ бір протон үшін өте үлкен энергия. Мысалы, 11км/с жылдамдықпен ұшатын планета-аралық космос ракетасының 1 протонына келетін энергияның мөлшері шамамен 10 -20 Дж ғана.
Космос сәулелерінің құрамында энергиясы 10 -1 -1 Дж болатын бөлшектер кездеседі. Бірақ, олар өте сирек кездеседі. Және олардың ұшырауы кездейсоқ оқиға, оны алдын ала жоспарлау мүмкін емес.
Сонымен, ядролық физикада қарастырылатын құбылыстар ұзындық пен энергияның өте үлкен алқабын қамтиды. Олардың ең үлкен мәнінің ең кіші мәніне қатынасы ұзындық үшін 10 8 , ал энергия үшін 10 9 тең.
Енді ұзындық пен оынмен тығыз байланысты уақыттың өлшем бірліктеріне келейік. Қазір физикада өлшем бірліктерінің Халықаралық жүйесі қолданылады. Бұл жүйеде ұзындық бірлігі метр (м) . Жоғарыда айтқанымыздай ядролық физика қарастыратын құбылыстар 10 -10 м-ден кіші қашықтықтар тән. Сондықтан, ядролық физикада метрдің үлестік бөліктері нанометр (нм) =10 -9 м, пикометр (пм) =10 -12 м және 10 -15 м=фемтометр (фм) қолданылады. Ядролық әсерлесуге тән қашықтықтық 1фм шамасы. Бұл қашықтыққа арнайы ат қойылған. Ол Ферми деп аталады. 1фм=1Ф.
Қашықтықпен тығыз байланысты ұғым уақыт. ХЖ-де уақыт бірлігі секунд (с) . Ядролық физикада секундтың өте кішкентай үлестері: микросекунд (1мкс=10 -6 c), наносекунд (1нс=10 -9 c), пикосекунд (1пс=10 -12 с) қолданылады.
Физикада тән уақыт ұғымы жиі қолданылады. Ол осы құбылыстарға қатысатын бір бөлшектің екінші бөлшек арқыл ұшып өту уақыты. Мысалы, ядроның радиусы 5
м шамасы, ал оның құрамындағы протондар мен нейтрондардың жылдамдығы 10
7
м/с шамалас. Сонда олардың бұл қашықты ұшып өту уақыты
Ядролық құбылыс үшін t >> 10 -22 (мысалы 1мкс) өте үлкен, ал t < 10 -22 с аз болады.
Элементар бөлшектердің өзара әсерлесу құбылысына тән уақыт
Бұл жерде біз элементар бөлшектердің мөлшері 10 -15 м шамасы, ал олардың әсерлесу кезіндегі жылдамдықтары жарықұ жылдамдығына жақын болатынын ескердік.
Ядролық құбылыстар тек қана адрондық емес, нәзік әсерлесу нәтижесінде де өтеді. Сондықтан оны зерттеушілер макроскопиялық, тіпті астрономиялық уақыттар мен істес болады. Мыслы, эементар бөлшек нейтронның ыдырау уақыты 10
3
с, ал уран ядросының өмірі
жылға созылады. Енді масса мен энергия өлшем бірліктеріне көшейік.
Ядролық физикада, атом физикасындағы сияқты, энергияны ешқандай жүйеге кірмейтін (эВ) электронвольтпен өлшейді.
1эВ энергия атом физикасына тән Ядролық физикада кездесетін энергиялар одан әлдеқайда көп. Сондықтан ядролық физика мен элементар бөлшектер физикасында оның еселенген мәндері.
1кэВ=10 3 эВ 1МэВ=10 6 эВ
1ГэВ=10 9 эВ 10ТэВ=10 12 эВ
Атом ядросында өтетін құбылыстарға энергияның бірнеше МэВ мәні тән. Мысалы, ядродан протонды немесе нейтронды аластату энергиясының орташа мәне 8МэВ. Сонымен қатар ядролық физикада 1МэВ-тан кіші энергиялармен де істес болуға тура келеді. Мысалы, ядродан ұшып шығатын
-кванттардың энегриясы жүздеген, тіпті ондаған кэВ болады, ал кейде одан да төмен. Егер соқтығысатын бөлшектердің энергиясы 1МэВ-тан жоғары болса, жаңа бөлшектердің (мысалы, электро-позитрондық қосақтың) туы мүмкін болады.
Атом ядроларының массасын
кг мен
аралығында жатады. Ең жеңіл элементар бөлшек электронның массасы
кг, ал ауыр элементар бөлшектердің массалары
кг шамасы.
Атом яроларының массасы кг-мен өлшеу, әрине, ыңғайсыз. Сондықтан ядролық физикада массаны массасының атомдық бірлігімен (м. а. б. ) өлшейді. Массаның атомдық бірлігі көміртегінің
изотопының атомының массасының 1/12 бөлігіне тең
Элементар бөлшектердің массаларын энергияның өлшем бірлігі МэВ-пен өлшейді.
1. 3. Ядролық физиканың кейбір ерекшіліктері
Ядролық физикалық өзіне тән ерекшіліктері бар. Олар бөлшектердің релятивистік қасиеттері, кванттық қасиеттері және микроәлемдегі өлшеу. Енді осы ерекшеліктерді жеке+жеке қарастырайық.
1. 3. 1. Бөлшектердің релятивтік қасиеттері
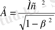
Жылдамдықтары үлкен және әсерлесу энергиялары жоғары бөлшектер үшін классикалық Ньютон механикасының тұжырымдары дәл болмай, оны қолдану мүмкін болмай қалады, оны дәлірек механикамен-салыстырмалық теориясымен алмастыруға тура келеді. Арнаулы салыстырмалық теориясы Эйнштейнның постулатына негізделеді. Ол бойынша барлық инерциялық санақ жүйелері үшін жарықтың вакуумдағы жылдамдығы с бірдей болады. Осыдан жарықтың вакуумдағы жылдамдығы
релятивистік механика үшін ең негізгі тұрақты. Салыстырмалық теориясы бойынша бұл жылдамдық шектік жылдамдық. Ешқандай физикалық обьект одан артық жылдамдықпен қозғала алмайды.
Егер физикалық обьектің жылдамдығы
вакуумдағы жарық жылдамдығына қарағанда, ал оның Т қозғалысының энергиясы Мс
2
-қа (мұнда М обьектің массасы) қарағанда мардымсыз болса ғана, релятивтік эффектілер де мардымсыз, оларды елемеуге болатындай болады.
Сонда релятивтік эффектілерді елемей, классикалық механиканы қолдануға болу шарты былай жазылады:
Бірінші шартты көбіне
түрінде қолданады.
бірмен салыстырғанда мардымсыз, бірақ елемеуге болмайтын (мыс, 0, 1% шамасы) болса, релятивтік есептеулер мен тәжірибе нәтижелері арасындағы айырмашылықты байқауға болады. Мұндай құбылыстар атом ядросы физикасына тән. Егер бұл қатынастар бірге жуық болса, онда нағыз релятивтік құбылыстар болады. Бұл элементар бөлшектер физикасына тән.
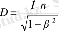
Салыстырмалық теориясының қолдануға болатын ең маңызды тұжырымдамасы-белгілі Эйнштейн қатынасы:
Бұл қатынас кезкелген тыныш тұрған дененің немесе жүйенің (элементар бөлшек, ядро, атом, автомобиль . . . ) толық энериясы мен оның массасы арасындағы тәуелділікті өрнектейді. Ол кезкелген оқшауланған жүйе үшін орындалады. Бұл масса мен энергияның эквиваленттілігін (теңмәнділігін) көрсетеді.
(1, 5) -тен дененің энергиясы мен массасын бөлек білудің қажетсіздігі көрінеді. Дененің массасын білсек оның энергиясын және керісінше анықтауға болады. Бірақ релятивтік емес макроскопиялық жүйелер үшін масса мен энергияның өлшеу әдістері әртүрлі. Себебі энерияның химиялық, электрлік, жылулық және т. б. макроскопиялық түрлері (1. 5) өрнегімен анықталатын энергияға қарағанда елеусіз, оларды таразыға тарута арқылы анықтау мүмкін емес. Ядролық әсерлесу энергиясына сәйкес массаны, массаны анықтау әдістерімен сезуге болады. Сондықтан ядроның массасын энегрияның өлшем бірліктерімен де, массаның өлшем бірліктеріменде анықтауға болады. Элементар бөлшектердің массаларын энергия бірліктерімен өрнектеген ыңғайлы. Себебі, жоғары энергиялық әсерлесу кезінде бөлшектердің тууы, жоғалуы және өзара түрленуі орын алады. Мұндай құбылыстарға керек энергия дәл (1. 5) -формуласы беретін энергиямен анықталады. Егер (1. 5) -өрнегі әмбебап болса, онда дененің массасы оның жылдамдығына тәуелді болар еді. Бұл өте ыңғайсыз. Сондықтан қазіргі заманда физиктер (1. 5) -формуласы тыныш тұрған дене үшін орындалады деп, дененің массасы деп оның тыныш күйіндегі массасын ұғады. Бұл жағдайда қозғалыстағы дененің энергиясы мен импульсы
өрнектермен берледі. Мұндағы
. Дененің толық энергиясы, бұрынғыша, кинетикалық энергия мен тыныш күйдегі (потенциалдық) энергияның қосындысынан тұрады:
Осылардың энергия мен импульс арасындағы байланыстар
шығады.
Егер
болса,
шығады.
Егер болса,
болады.
Бөлшектердің кванттық қасиеттері
Ядролық физикадағы тән қашықтықтар (
мен массалар
үшін классикалық физиканың заңдарын пайдалануға болмайды. Оларға кванттық қасиеттер (бөлшектік-толқындық дуализм) тән. Квант туралы ұғымды физикаға 1900-жылы Планк енгізді. Оның, жылулық тепе-теңдік күйдегі нұрлану спектрін түсіндіру үшін енгізген, кейіннен Эйнштейн фотоэффект пен жылу сыйымдылық үшін дамытқан, теориясы бойынша, заттар жарықты үзік-үзік үлестер-кванттар түрінде шығарады және жұтады. Кейіннен кванттық қаисеттер тек жарыққа ғана емес, рентген және гамма нұрларына да тән екені анықталды.
Жарық кванты, рентген кванты
- квант біріккен фотон деген атпен аталатын болды. Фотон бөлшекке тін қасиеттермен сипатталады, оның өзіне тән энергиясы мен импульсы бар. Электро магниттік толқынды сипаттайтын жиілік
мен толқын ұзындығы
мен фотоннның энергиясы
мен имульсы
р
арасындағы тәуелділік.
р
түрінде беріледі. Мұндағы:
-Планк
тұрақтысы, k - толқындық вектор деп аталатын, толқынның таралу бағытымен бірдей бағытталған вектор, оның сан мәні
k
- дөңгелек жиілік
Осылайша электромагниттік нұрға толқындық касиеттер мен бөлшектік касиеттері бірдей тән және олардың бір мезгілде байкалуы мүмкін екендігі анықталды. Бұл құбылыс бөлшектік-толқындық дуализм деп аталды.
1924-жылы Луи де Бройль, Бор постулаттарының ішкі қайшылығынан арылу үшін, бөлшектік-толқындық дуализм микроәлем үшін әмбебап заңдылық, ол тек кана электромагниттік нұрға ғана емес, бөлшектерге де тән деген ұсыныс жасады. Кейін, электрондар мен басқа бөлшектер ағынының дифракциясына жасалған тәжірибелер, де Бройль ұсынысының шындыққа сәйкес келетінін дәлелдеді. Сөйтіп, де Бройлъша қозғалыстағы әр бөлшекке, де Бройль толқыны деп аталатын, толқынды сәйкестендіруге болады. Ол толқынның ұзындығы
мен
жиілігінің, бөлшектің энергиясы
мен р импульсына тәуелділігі дәл (1. 11) (1. 12)
өрнектерімен беріледі
![]()
р
немесе
![]()
-Планк түрақтысы мен қатар
Планк тұрақтысы да пайдаланылады. Ол арқылы бұл тіркестер
![]()
![]()
түрінде жазылады.
Бөлшектік-толқындық дуализм толқынға да, бөлшекке де тән кванттық касиет. Оған сәйкес олардың екеуі үшін де бір мезгілде толқындық та, бөлшектік те касиеттер байкалады. Классикалық физика да бұл мүмкін емес. Бөлшек үшін кезкелген уақыт мезетінде оның координаторы мен импулъсын дәл анықтауға болады, ал толқын үшін берілген нүктеден толқын ұзындығы дененің еш кандай мәні жоқ, демек толқынның орнының да мәні жоқ, ол кеңістікті түгел қамтиды. Осыдан бөлшектің траекториясы мен импульсының бір мезгілдегі мәндері туралы әңгімелеуге болмайды. Бөлшектің импульсы оның толқын ұзындығын анықтайды, сондықтан оның импульсы дәл белгілі болса, онда оның орны мүлдем белгісіз, ал оның орны белгілі болса, оның импульсы мүлдем белгісіз болады.
... жалғасы- Іс жүргізу
- Автоматтандыру, Техника
- Алғашқы әскери дайындық
- Астрономия
- Ауыл шаруашылығы
- Банк ісі
- Бизнесті бағалау
- Биология
- Бухгалтерлік іс
- Валеология
- Ветеринария
- География
- Геология, Геофизика, Геодезия
- Дін
- Ет, сүт, шарап өнімдері
- Жалпы тарих
- Жер кадастрі, Жылжымайтын мүлік
- Журналистика
- Информатика
- Кеден ісі
- Маркетинг
- Математика, Геометрия
- Медицина
- Мемлекеттік басқару
- Менеджмент
- Мұнай, Газ
- Мұрағат ісі
- Мәдениеттану
- ОБЖ (Основы безопасности жизнедеятельности)
- Педагогика
- Полиграфия
- Психология
- Салық
- Саясаттану
- Сақтандыру
- Сертификаттау, стандарттау
- Социология, Демография
- Спорт
- Статистика
- Тілтану, Филология
- Тарихи тұлғалар
- Тау-кен ісі
- Транспорт
- Туризм
- Физика
- Философия
- Халықаралық қатынастар
- Химия
- Экология, Қоршаған ортаны қорғау
- Экономика
- Экономикалық география
- Электротехника
- Қазақстан тарихы
- Қаржы
- Құрылыс
- Құқық, Криминалистика
- Әдебиет
- Өнер, музыка
- Өнеркәсіп, Өндіріс
Қазақ тілінде жазылған рефераттар, курстық жұмыстар, дипломдық жұмыстар бойынша біздің қор #1 болып табылады.

Ақпарат
Қосымша
Email: info@stud.kz