Оңтүстік Қазақстан облысы шикізат материалдарыннан алынатын орташа тығыздығы 950 кг/м3 көбікті бетонның құрамын сұрыптау және көбікті бетон бұйымдарын дайындау технологиясы


Бұйымның түрі (эскиз) және оның аттары
Маркасы
Масса, т
Көлемі,
м 3
Тақырыбы: «Оңтүстік Қазақстан облысы шикізат материалдарыннан алынатын
орташа тығыздығы 950 кг/м 3 көбікті бетонның құрамын сұрыптау
және көбікті бетон бұйымдарын дайындау технологиясы».
Пәні: «Кәзіргі заман көбікті бетондар».
Мамандығы: «Құрылыс материалдары, бұйымдары және конструкцияларының технологиясы»
Мазмұны
1. Кіріспе . . . 5
2. Көбікті бетон бұйымдарға сипаттама . . . 6
3. Шикізаттарға техникалық сипаттама . . . 9
4. Көбікті бетонның құрамын сұрыптау . . . 15
5. Өндірістің технологиялық сызбасы . . . 20
5. 1. Жұмыстың графикалық сызба нұсқасы, оны суреттеу . . . 20
5. 2. Құрал - жабдықтың техникалық сипаттамасы . . . 22
6. Құрал - жабдықты қиыстыру (жоспарда) . . . 35
7. Дайын өнімнің сапасын бақылау . . . 36
8. Көбікті бетонды қолданудағы экономикалық тиімділігі . . . 45
Қорытынды . . . 48
Әдебиттер . . . 49
Кафедра «ҚМБмКТ»
ТН - 05 - 10К1 тобы
- Кіріспе
Шет елде ұялы бетондар конструкциясы кеңінен колданылады. Бұл ұялы бетондар тиімді құрылыс материалдарына жатады, яғни өте жақсы қасиеттерге ие. Ұялы бетондарға жататын көбікті бетондар Қазақстанда шығарылғанмен құрылыста қолданылмады. Дәл кәзіргі уақытта біздің еліміздің құрлыс материалының 60% шет елден тасымалданылады.
Бірақ, маркетингті зерттеулерге қарағанда бізге барлық құрылыс материалдарын өңдеуге үлкен мүмкіндіктер бар. Мысалы бізде қабырғалар үшін, жылуайыру конструкциялары өте жақсы дамыған. Бұлардың тиімділігі өте жоғары, яғни құрылыс жүргізу процесінде нақты ережелерді сақтай отырып, технологиялық жетістіктердің сапасының жоғарылығынан көптеген тиімді материалдарға қол жеткіземіз. Көбікті бетонды өндіру бізде ғылыми - техникалық прогресті, құрылыс индустриясын, сонымен бірге кез - келген кәсіпорындар мен құрылыс аумақтарын әсемдетуде үлкен маңызға ие.
Кіріспе
2. Көбікті бетон бұйымына техникалық сипаттама
Келтірілген көбікті бетондар тиімді ұсақданалы құрылыс бұйымы болып табылады және аз қабатты ғимараттар салу үшін қабырға материалдары ретінде, сонымен бірге жылуайыру материал ретінде қолданады.
Көбікті бетон
Серия ОБК Альбом 3, г. Алматы
Көбікті бетон бұйымына
техникалық сипаттама
3. Шикізат бұйымдарына техникалық сипаттама и т. б.
Көбік түзушілер
Желіншайырлы көбік түзушілер сүйекті немесе шелді желімдерден, суда, шайырдан және натрий су ерітіндісінен тұрады.
Сақтау мерзімі суық кезде 20 тәуілікке дейін, ал ыстық кезде 10 тәуілікке дейін. Желімшайырлы көбік түзушіні дайындау келесі кесте жүзеге асырады.
Сурет 3. 1. Желімшайырлы көбік түзушіні көбіктерді дайындаудың технологиясы .
Желімшайырлы көбік түзушіні дайындау: желімді ерітінділерді дайындаумен, шайырлы сабындарды қайнату және желімді ерітінділермен арластыру арқылы жүзеге асады. Желімді еріткіш алу үшін желімді 2 - 3 см өлшемді бөліктерге бөліп, темір багына салып, 15 - 20 ºС температурада су құяды, массаны 1/1 пропорциясында 24 сағатқа қалдырады. Желімнің бөртуінен кейін 40 - 50 ºС температурада бумен немесе ыстық сумен қыздырып, желімді ерітінді түтікшеде қайнайды, 1, 5 - 2 сағатта толық араласуымен жалғасады.
Шикізат материалына
техникалық сипаттама
Желімді ерітіндіні 1, 4/1 сәйкесінші массада аса мұқияттылықпен былғалау ретімен шайырлы сабынға құяды. Алынған шайырлы көбік түзушіні мықтап жабылған ағаш бөшкелерде, тиісті температурада ылғалды жерде шишалы немесе балшықты ыдыстарда сақталады. Сақтау мерзімі суық кезде 20 тәуіліктен артық емес, ал ыстық кезде 10 тәуілікке дейін.
А. Б. Гецелев шайырлы сабынның тез қайнайтын амалын тапты, яғни желім шайырлы көбік түзушіні дайындау үшін сүйекті, шелді казеинді желіммен бірге қайнату керек.
Н. М. Максименко көбік түзушіні шайыр негізде сұйық шыны желіммен пайдалануды ұсынды. Әйгілі ретцептпен дайындалған шайырлы сабынды үздіксіз былғалаумен сұйық шыныға 35 - 38 Бом тығыздығымен құяды.
Алюмосульфонафтенді көбік түзушіні керосинді контактта, сұрқышқылды балшықтан және натрий ерітіндісінен дайындалады. Ағашты шималы немесе керамикалық ыдысты сақтайды. Сақтау мерзімі 6 айға дейін
Сұрқышқылды балшықсазды 3 - 5 см өлшемдегі ұсақталған бөліктерге бөледі. Ағаш багына орналастырып балшықсазды 2 - 2, 5 сағатқа буға жібереді немесе 20 - 24 сағатқа ыстық суда ұстайды, тығыздығы 1, 16 - ге дейін ертіндініні 15º С - ге суығаннан кейін пайдалануға болады.
Шикізат материалына
техникалық сипаттама
Керосинді контактты процесін жылдамдату үшін, оларды бейтараптан-ғаннан кейін 80 - 90 ºС температураға дейін қыздырады. Керосинді қыздырғанда, майлы заттар өнімдер қатпаршақ түріндегі массалар сұйықтың үстінгі қабатында жиналады. Астаңғы қабатты натрий тұзының су ерітіндісі құрайды. Сұрқышқыл балшықсаз су ертіндісін ағаш бөшкелерде, ал мұнайлы қышқыл сульфат натрий тұзын металл ыдыстарда сақтайды.
Алюмосульфанафтендік көбік түзушіні алу:
ПО - 6 (МемСТ - 9603 - 69) көбік жасаушы гидролизді натридті және бейтарап хлор аммонмен немесе күкіртті қышқылы темірмен және ториеті натримен белгілі. ПО - 6 еткомбинаттарында дайындалады. Тауар өнім - қара қоңыр келетін тығыздығы 1, 09 - 1, 1 реакциясымен суыстықтық болыптабылады. Бұндай өнімде 25 % - ғана құрғақ заттарды құрайды.
№ 3. 1 Кесте. ПО - 6 шығынына байланысты тауар өнімнің тығыздығы
Шикізат материалына
техникалық сипаттама
ПО - 6 зауыттан металл ыдыстарда (кейде ағаш бөшкелерде) дайындалады;
ПО - 6 5ºС температурадан төмен емес құрғақ жерде сақталуы тиіс. Буда сақталу мерзімі 1 жылға дейін.
Оны 40 - 50ºС ылғалды температурада суда ерітеді. 5% ерітіндіні әр литр суға 176 г күкіртқышқыл темірді алады. Жоғары сапалы көбік алу үшін тиімді әдістер бар. Көбік түзушінің әрбір см³ суда алынады:
ПО - 6 . . . 12 - 18
Желімшайыр үшін . . . 6 - 10
Шайырсапонин үшін . . . 7 - 9
Алюмосульфанафтен үшін . . . 5 - 6
Шайырсапонинді көбік түзушіні табиғи сапаниннен, яғни сабын тамырынан алады, ол Қазақстанда, Өзбекстанда, Таджикистанда және Туркменстанда өседі.
Шайырсапонинді көбік түзушіні алудың технологиялық кестесі
Шикізат материалына
техникалық сипаттама
Көбік түзушіні дайындау үшін сабынды тамыр келесі талаптарға жауап бере алуы керек: түсі: ақ - сары, қосындылардың құрамы 5% артық болмауы керек, минералды заттар - 1% артық емес, ылғалдылық - 13% артық емес, күлді - 12% артық емес шіріксіз және зеңсіз болуы керек. Тазаланып болған соң, сабынды тамырды 1 - 2 мм болатын бөліктерге ұсақтайды. Ұсақталған тамырды сумен араластырады және оны 48 сағатқа қалдырады. Дайын шайырсапонинді 10 күн сақтауға болады. 1 куб метр көбіктібетон жасау үшін сабынды тамырдың 0, 5 - 1 кг және судың 30 - 60 литрі кетеді.
Гидролизденген қан . Гидролизденген қаннан көбік түзушіні алу операциялары:
- Техникалық тың қандарды қазанға апару;
- 20% натрий ерітіндісін дайындау;
- Техникалық боенскі қанының гидролизі;
- Гидролизді қанды бейтараптау және булау ерітіндісі;
- Гидролизді қанның күкіртқышқыл темір ерітіндісімен суық ерітіндіні 100/30
ауқымында араластыру.
Гидролизді қанды ағаш, шиша немесе балшық ыдыстарда 10 - 20ºС температурадаа 1 жылға дейін сақтауға болады.
Цемент
Портландцемент - гидравликалық тұтқыр зат, ауада және суда қатады, оны гипстен жұқа клинкердің қосындысынан алады. Клинкерді минералдардан портландцементерді ажыратамыз: 60% - тен көп 3 кальцилі силикат қосындысымен бұл алитті, белитті - 35% - тен көп екі кальцилі силикат, 12% - тен көп үш кальцилі алюминат және цилитті - екікальциліферрит және төрткальцилі алюмоферит 20% - тен көп әрбір осы портландцементтің түрі өзіндік ерекшеліктерге ие.
Алитті цементтер тез қатаяды және үлкен беріктікке ие; белитті цемент- белсенділігі аз және целитті цементтер аралык жағдайға ие.
Калыпты жиілікті алу үшін:
Портландцементтің суды талап етуі . . . 22-25%
Тығыздығы . . . 3, 1 - 3, 15 г/ см ³
Үгілмелік жағдайдағы көлем массасы . . . 1200 кг/м ³
Тығыздау кезінде . . . 1450
Портландцементтер пластификатталған, гидрофобты, тез қатайғыш, сульфатқа тұрақты болып бөлінеді.
Пластификатталған портландцемент - оны қарапайым портлантцементке біріктіріп, клинкердің белсенді қосындыларын 25% шамасында, сонымен бірге сульфитті ашытқы бражка ретінде қолданады. Практикада: 300, 400, 500 маркалары колданылады.
Гидрофобты прортландцемент - ылғалды жағдайда жақсы сақталады; оны 0, 06 - 0, 3 % моль бойынша қарапайым портландцемент жолымен дайындайды. 400 маркаға дейін.
Тезқататын портландцемент - портландцементтің қарапайым түріне қарағанда белсендірек келеді, қатаюдың бірінші сатысында беріктігін байқатады, цементтің жұқа тұріне қол жеткізеді және химиялық, минералдық
Шикізат материалына
техникалық сипаттама
құрамын реттейді.
Сульфатқа тұрақты порландцемент жоғары сульфатқа тұрақты және төмен экзотермияға ие. Бастапқы кезде қатаю жай жүреді. Оны 50% артық емес
үшкальцилі силикаттан және үшкальцилі алюминаттан дайындайды. Маркасы екі түріде шығарады 300 және 400
Шлактыпортландцемент гидравликалық тұтқыр , табиғи гипстен және гранулды шлактың (30 - 60%) немесе басқа да материалдардың қосындысынан тұрады. Портландцементке қарағанда 60 тәуілікке дейін жай қатаяды. Үшкальцилі силикатпен алюминаттың қосындыларынан дайындалған өте мықты болады. Шлакопортландцементке қарағанда ашықтау, оның тығыздығы 2, 8 - 3 г/ см ³, көлемдік массасы үгілмелік жағдайда 900 - 1100 кг/м ³, ал тығыздығы кезінде 1400 - 1600 кг/м ³. Жақсы қалың қамыр алу үшін 25 - 28 % су керек етеді.
Тезқатайғыш шлакопортландцемент біршама интенсивті келеді, қатаюдың алғашқы кезеңінде - аз тығыздық пен беріктікке ие. Құрамында гранулды домна шлагының массасы 30 - 50 % тең.
Шлакты магнезиалды портландцемент гидравликалық тұтқыр зат, ауада және суда қатаяды, клинкердің портландцемент пен магнезиалды цементтердің ұсақталуының бірігуінен шығатын өнім. Әк - магнезиалды және балшықты заттар негізінде алынады, сонымен бірге гипс және домна гранулды шлак алады. МемСТ 3476 - 74 бойынша шлактың бөлігін алмастыратын белсенді минералды қосымшалар шығарылады.
Пуццалонды портландцемент тұтқыр заттар, цементті клинкермен жұқа ұнтақтаудың бірігу жолымен алынады, табиғи гипспен және белсенді минералды қосымшаларды және ұсақталғанын бөлек алады. Бұл цемент беріктілік жөнінен алғанда өте жоғары дәрежеде, су қажеттілігі жоғары, су өткізбейтін болып келеді.
Су
Бетонды және ерітінді қоспаларды дайындағанда су қажет, яғни ішуге жарамды су қолданылады. Сонымен бірге су таза болу керек, әрі кермек болмауы керек.
Теңіз сулары, яғни құрамында тұз көп болатын сулар ыстық ауа жағдайында темір бетон конструкциясында қолданынуға болады. Теңіз суларын тұрғын үй және қоғамдық ғимараттарды салуға падалануға болмайды. Сонымен бірге бетон мен ерітінді қоспаларына шалшық суды да пайдаланбайды, себебі бұл сулар қалдық болуы мүмкін, яғни құрамында қышқылдар мен органикалық басқа да қоспалар болуы мүмкін. Сондықтан алдын ала тексерген жөн. Құдықтардан насоспен су алғанда алдын ала оларды тазартып, 5 минуттай тұндырып, содан кейін пайдалануымыз керек. Таңдалып алынған суларды зертханаға анализ алу үшін жібереді.
Судың қышқылдылығын келесі тәсілмен анықтайды: Пробиркадағы таза дистелденген суға зерттеліп жатқан суды үстінен құяды, оның үстіне көк лакмус қағазын салады және онда 1 - 1, 5 сағаттай үстайды. Лакмус қағазының күлгін қызыл түске өзгергенін көреміз, яғни су құрамында қышқылдың үлкен мөшерде екенін көрсетеді.
Шикізат материалына
техникалық сипаттама
Тәжірибеде сынақтан өтіп жатқан судағы қөмірқышқыл тұзын келесі тәсілмен білеміз. Таза конустәрізді сиымдылығы 150 - 200 мл колбаға су құяды, сосын 10% тұз қышқыл ерітіндісі қышқылдандырады. Сосын колбаға 10% барий хлор ерітіндісін тамызады. Нәтижесінде ақ рең берсе, онда сыналған суда сульфаттар бар деп есептелінеді. Бұндай белгідегі суларды тезарада химиялық зертханаға толық химиялық анализ алу үшін жіберу керек.
Қиыршық құм
Ұсақ қиыршық құмдар табиғи және жасанды болуы мүмкін. Табиғи құмдар - бұлар тау жыныстарынан бұзылудың нәтижесіндегі үгілмелі сынық жыныстар болып келеді. Минералдық құрамына байланысты кварцты құмдардың сапасы өте жоғары. Оларды көбіне бетондарға және құрылыс ерітінділеріне пайдаланады. Сонымен бірге құмдарды пайда болуына қарай өзендік, теңіздік және жыралық деп бөледі. Өзендік және теңіздік құмдардың астығы жылтыр бетті және белгілі бір формаға ие.
Жыралық және таулы құмдардың астығы үшкірлеу болып келеді. Мұндай құмдарда балшықты және органикалық қосындылар көптеп кездеседі. Теңіздік құмдарда бақалшақ сынықтарды кездескендіктен, олар кейін бетонның беріктігін төмендетеді.
№ 3. 2 Кесте. Құмдардың ірілігіне байланысты санатқа бөлінуі
Құмның астық құрамы бетон дайындау үшін стандарт талаптарына сай болуы керек.
В25 класты бетонды дайындау үшін 2, 5 модульді ірі құмды пайдалану керек.
В15 класты бетондарда М =1, 5 . . . 2 модульді құмдар пайдаланылады.
Егер құмның астық құрамы стандартқа сай келмесе, онда 1, 25 немесе 0, 63 мм өлшемдегі екі фракция ендіріледі.
Ұсақ құмдарды бетон дайындауға қосудағы мақсат экономикалық тұрғыдан қарағанда тиімдірек.
Барлық кезде құмдағы балшықтың бөліктері шектеулі. Себебі балшықтар цемент тастарымен араластыру кезінде кедергілер келтіреді.
Шикізат материалына
техникалық сипаттама
Майлау заттары.
Майлау құрамы көбікті бетондардың қалыптарына зиян келтіруден, конструкциялардың ашық жерлерін және басқа да әсерлердің нәтижесінде физика - химиялық тұрғыда көбіктібетондардың түсін, олардың құрамы мен конструкцияларын сақтауы тиіс. Қоспа жағымсыз иістен аулақ болуы керек.
№ 3. 3 Кесте. Қалыпты майлау үшін қоспа құрамы.
Петролатумды керосинді коспа
Солидол
Керосинмен бірге автол қоспасы
Кулисті және машиналық майқоспасы
Петролатум
Керосин
Солидол
Автол
Керосин
Кулисті май
Машиналық май
- бөлігі
2, 5 бөлігі
100%
50%
50%
1 бөлігі
3 бөлігі
Шикізат материалына
техникалық сипаттама
4. Көбікті бетонның құрамын таңдау
Басқа бұйымдар сияқты ұялы бетонды есептеу - эксперементалды әдіспен анықталады. МемСТ - тың талаптарына сай келу үшін, алынатын жабдықтардың сапасына бетонның құрамын анықтау керек.
НИИЖБ - ның әдісі бойынша газ және көбіктібетонның құрамы келесідей:
1) Тұтқыр заттармен кремнезитті компоненттер арасында тиімді арақатынастар орнатылады.
2) Қосындылардың тиімді аумашылығымен және оны жақсы пайдалануды қамтамасыз ететін Су/Қ анықталады.
3) Ұялы бетонның оптималды құрамын нақтылайды және сыналатын ерітінділерді дайындайды.
Тұтқыр зат пен кремнезит компоненттерінің арасындағы С арақатынасы екі кезеңмен анықталады. Оптималдық аумақтылық қоспаларды қамтамасыз ететін, қоспалардағы бастапқы сынау балшықтағы С мәнімен су шамасын анықтайды. Әк үшін (70% белсенді СаО құрамымен) С = 3, әк - цемент тұтқыр заттар үшін (1:1 құрамы) және нефилинді цемент үшін С = 1, 5; әк - шлактты цемент және портландцемент үшін С = 1.
Орташа тығыздығы 1200 кг/м ³ көбікті бетон құрамын есептеу С мәнін (құм массасының цемент массасына қатынасы) 4. 1. кесте бойынша анықталады.
№ 4. 1. Кесте. Көбікті бетонның әртүрлі тығыздығы үшін С массасы бойынша құм:цемент қатынасы
Керекті С мәнін үйлесімді су - қатты қатынасы (Су/Қ) бойынша (Су/Қ - су массасының құм:цемент массасына қатынасына) үш илеуден тұратын үлгілерді сынау арқылы табады. Ерітінді қоспалардың суқатты қатынасын көбікті бетонның орташа тығыздығына сәйкес 4. 2. кесте бойынша анықталады.
600
800
1000
1200
0, 2; 0, 4; 0, 6
0, 6; 0, 8; 1, 0
1, 0; 1, 2; 1, 4
1, 4; 1, 6; 1, 8
Көбікті бетонның құрамын сұрыптау
Кесте № 4. 2. Орташа тығыздыққа байланысты су - қатты қатынасы
Су - қатты қаттынасының ұйлесімді мәні көбікті бетонның үш илеуінен табылады. Бастапқы мәні үшін Қ/С (В/Т) қабылданады, С кезінде белгілі бір, ал басқа екеуі бастапқы мәнінен ± 0, 04 мөлшерінде қабылданады.
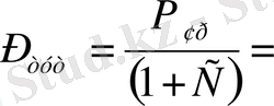
1 м ³ бетон көлеміне материалдың шығынын келесі формулалар арқылы анықтайды:
Құрғақ материалдың жалпы шығыны:
(4. 1)
Цементтің (тұтқыр заттың) шығыны:
(4. 2)
Құм:
(4. 3)
Су :
(4. 4)
Көбікті концентрат:
(4. 5)
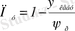
Көбікті бетон кеуіктілігін келесі формулалар арқылы анықтайды:
(4. 6)
немесе
500
600
800
1000
1200
0, 25
0, 23
0, 21
0, 17
0, 15
Көбікті бетонның құрамын
сұрыптау
(4. 7)
көбікті бетон коспасының орташа тығыздығын келесі формула арқылы анықтайды:
(4. 8)
Көбік косылған бастапқы ерітінді қоспаның орташа тығыздығын келесі формула бойынша анықтайды:
(4. 9)
1 м ³ құрғақ қоспаның нақты (абсолюттік) көлемін келесі формула арқылы анықтайды:
(4. 10)
Көбіктегі су көлемін келесі формула арқылы анықтайды:
(4. 1 Формулалардағы шартты белгілер:
Р құр - құрғақ материалдың жалпы шығыны, кг/м ³;
Р тұт - 1 м ³ қоспаға жұмсалатын тұтқыр материалдардың шығыны, кг;
ψ құр - бетонның құрғақ жағдайдағы берілген орташа тығыздығы, кг/м ³; және г/см ³;
V - сыналатын илеудің көлемі, м ³ немесе л;
К с - коспа құрғақ компоненттерінің (цемент, құм) массасына химиялық
байланыстылығы су қатынасының мөлшерлік коэфицентті. Алғашқы
есептер үшін К с =1, 1;
С - құм массасының цемент массасына қатынасы;
Р құм - құм шығыны, кг;
Р су - су шығыны, л;
Су/Қ - су-қатты қатынасы;
Р көб - көбік жасаушы (көбік коцентраты) шығыны, кг;
П ұ - көбікті бетонның кеуіктілігі, бөліктері;
α - көбік концентратының көбік жасау қабілетін қолдану коэфициенті. Неопор
фирмасы көбік жасау өндірісінің алғашқы есептері үшін ол 1 - ге тең
деп алынады;
К - көбік концентраты массасына көбік көлемінің қатынасымен пысықталатын,
көбік концентратының салыстырмалы көбік жасау қабілеті, л/кг. Неопор
фирмасы көбік жасау өндірісінің алғашқы есептері үшін К =560 л/кг деп
алынады;
ψ я - көбікті бетон қоспасының орташа тығыздығы, кг/л;
ψ р - көбік жасаушысыз ерітінді қоспасының орташа тығыздығы, кг/л,
W - құрғақ қоспа бірлік массасының нақты (абсолюттік) көлемі;
Е - көбіктегі су көлемі, л;
Көбікті бетонны құрамын
сұрыптау
Орташа тығыздығы 1050 кг/м ³ көбікті бетон құрамын анықтау. Берілген материалдар: М400 ортландцемент, ірілік модулі 2, 3 - ке тең Николаев карьерінен алынған құм, Неопор фирмасы өндірген көбік көнцентраты. Көбікті бетон құрамын дайындауға арналған бастапқы шарттар: Су/Қ = 0, 165; W = 0, 36; К с = 1, 1; C = 1, 1; K = 560 л/кг α= 1, 0.
1 - нұсқа
1 м ³ бетон көлеміне материалдың шығынын келесі формулалар арқылы анықтайды:
1) Көбікті бетон кеуіктілігін келесі формулалар арқылы анықтайды:
1 - (0, 85/1, 1) *(0, 36 + 0, 20) = 0, 56 (4. 6)
2) Көбікті концентрат:
=(0, 56 * 1000) /(560 * 1, 0) = 1 кг; (4. 5)
3) бір илеуге кеткен құрғақ материалдың жалпы шығыны:
= (0, 85/1, 1) *1000 = 772 кг; (4. 1)
4) Цементтің (тұтқыр заттың) шығыны:
772/(1+1, 1) = 367, 6 кг; (4. 2)
5) Құм:
= 367, 6 * 1, 1 = 403, 7 кг; (4. 3)
6) Су :
= 772 * 0, 20 = 154, 4 л; (4. 4)
Ерітіндідегі су мөлшері: 154 - 40 = 114
Көбікті бетонның қоспасының құрамы, кг/м ³
367 + 403, 7 + 154 = 927 кг/м ³
Көбікті бетонның құрамын
сұрыптау
Шикізат материалдардың шығынын келесі формула бойынша анықтайды:
Тұтқыр зат
Р тұт = (К х * ψ кебу ) /(1+С) (4. 12)
Құм:
Р құм = Р тұт *С (4. 13)
Cу:
Р су = (Р тұт +Р құм ) * Су/Қ (4. 14)
Көбікті концентрат
Р қөб = (П ұ * V) /(К*α) (4. 15)
Мұнда К х - тұрақты массаға дейін қатқаннан және кепкеннен кейінгі көбікті бетонндағы байланған суды ескеретін, болжалды коэфициент; ψ кебу = 600, 800, 1000, 1200 кг/м ³ үшін тиісті коэфициент К = 0, 90; 0, 92; 0, 96; 0, 98.
2 - нұсқа
Орташа тығыздығы 600 кг/м ³ көбікті бетонның құрамын анықтау. Берілген материалдар 1 - нұсқаға сәйкес келеді.
1) Тұтқыр зат
Р тұт = (К х * ψ кебу ) /(1+С) = (0, 90 * 600) /(1+1, 1) = 245 (4. 12)
2) Құм:
Р құм = Р тұт *С = 245 * 1, 1 = 269, 5 (4. 13)
3) Cу:
Р су = (Р тұт +Р құм ) * Су/Қ = (245+269, 5) * 0, 21 = 108 (4. 14)
4) Көбікті концентрат
Р қөб = (П ұ * V) /(К*α) = (0, 7 * 1000) /(560 * 1, 0) = 1, 2 кг; (4. 15)
5) 1 м ³ Көбікті бетонның қоспасының құрамы, кг
245+269, 5+108 = 627, 5
Көбікті бетонның құрамын
сұрыптау
5. Көбікті бетон өндірудің технологиялық кестесі.
5. 1 Сызықты жұмыстың графикалық кестесі
Көбікті бетоннан алынатын заттардың екі тәсілі бар, олар пайдаланудтағы көбікті бетонмен және көбікті алу әдісімен ерекшеленеді.
Бірінші нұсқа бойынша көбікті бетон массысын дайындау үш барабанды көбікті бетон араластырғышта
- Іс жүргізу
- Автоматтандыру, Техника
- Алғашқы әскери дайындық
- Астрономия
- Ауыл шаруашылығы
- Банк ісі
- Бизнесті бағалау
- Биология
- Бухгалтерлік іс
- Валеология
- Ветеринария
- География
- Геология, Геофизика, Геодезия
- Дін
- Ет, сүт, шарап өнімдері
- Жалпы тарих
- Жер кадастрі, Жылжымайтын мүлік
- Журналистика
- Информатика
- Кеден ісі
- Маркетинг
- Математика, Геометрия
- Медицина
- Мемлекеттік басқару
- Менеджмент
- Мұнай, Газ
- Мұрағат ісі
- Мәдениеттану
- ОБЖ (Основы безопасности жизнедеятельности)
- Педагогика
- Полиграфия
- Психология
- Салық
- Саясаттану
- Сақтандыру
- Сертификаттау, стандарттау
- Социология, Демография
- Спорт
- Статистика
- Тілтану, Филология
- Тарихи тұлғалар
- Тау-кен ісі
- Транспорт
- Туризм
- Физика
- Философия
- Халықаралық қатынастар
- Химия
- Экология, Қоршаған ортаны қорғау
- Экономика
- Экономикалық география
- Электротехника
- Қазақстан тарихы
- Қаржы
- Құрылыс
- Құқық, Криминалистика
- Әдебиет
- Өнер, музыка
- Өнеркәсіп, Өндіріс
Қазақ тілінде жазылған рефераттар, курстық жұмыстар, дипломдық жұмыстар бойынша біздің қор #1 болып табылады.

Ақпарат
Қосымша
Email: info@stud.kz