Электр және магнит өрісі ұғымдарының динамикасы


МАЗМҰНЫ:
Кіріспе (электр және магнит өрісі ұғымдарының динамикасы) 3
1. Мектеп физика курсындағы электромагниттік өріс ұғымына ғылыми талдау 9
1. 1 Электр және магнит өрістері -
1. 2 Магнитизм құбылысына қазіргі заманғы көзқарас 10
1. 3 Магнитизм табиғаты 19
1. 4 Электр және магнит өрістерінің ерекшеліктері 70
1. 5 Өріс және зат ұғымдары 80
2. Электромагниттік өріс ұғымдарын әр түрлі сыныптарда қалыптастыру негіздері 85
2. 1 Электродинамиканың мектеп физика курсындағы ерекшеліктері -
2. 2 8-10 сыныптардағы электромагниттік өріс ұғымдары 88
2. 3 10 сыныпта электромагниттік өріс ұғымын қалыптастыру әдістемесі 96
2. 4 Құйынды электр өрісі. Электрлімагниттік индукция 99
3. Педагогикалық эксперимент 116
Қорытынды
К І Р І С П Е
Магнит ұғымы алғаш рет өзіне тартатын магнетит тасы өндірілген Грецияның Магнесса қаласының құрметіне соның атымен аталған. Оны Лукрецкий өзінің «О природе вещей /заттар табиғаты туралы» еңбегінде келтіреді. Ферриттің ктисталының құрылымы өте күрделі FeO Fe 2 O 3 феррит-шпинелінің құрылысымен сәйкес келеді. Осындай құрылымға ие болатын кристалдардың магниттік қасиетін алғаш түсіндірген француз ғалымы Неельге 1970 жылы физика ғылымы бойынша Нобель сыйлығы берілді. Сонымен магнетиттің сырын ашуға адам баласының 2, 5 мың жылдай уақыты кетті. Бүгін де ол шындыққа адам баласының қолы толық жетті деп айтуға болмайды.
Магнетиттердің магниттік қасиеттерін алғаш рет тәжірибеде Пьера де Мерикура /Перегирин/ байқады. Ол шар тәрізді магнетиттен жасалған денені сондай сопақша етіп жасалған дененің маңына орналастырып, оның соңғы денені белгілі бір бұрышқа бұратындығын анықтады. Сонымен қатар Перегина магнит полюсы /ұшы/ деген /1279 ж. / ұғымды еңгізді.
Магнетизм /магнитсана/ туралы алғаш еңбекті 16000 жылы ағылшын ғалымы Гильберт /1544-1603/ жазды. Ол өзінек дейінгі магнитсана туралы орындалған тәжірибелердің барлығын жинақтап, Перегин тәжірибесін қайтадан қайталады. Гильберт магнетиттен жасалған табақты, жердің үлгі-моделі ретінде қарастырып, Жердің магниттік қасиетке ие болатынын дәлелдеді.
Магниттік құбылыстарға материалистік көзқарастарды Гильберт пен француз ғалымы Декарт /1596-1650/ қалыптастырды. Декарт магниттік бұрандалар «винтик» жердің терең қойнауының бір полюсынан шығып, екінші жағына /полюсіне/ енеді деген тұжырымға келді. Голландиялық ғалым Бургманс /1778/ парамагнетиктердің магнитке тартылатындығын, диамагнетиктердің тебілетіндігін тәжірибеде байқады.
Электромагниттік құбылыстар адам баласына /біздің жыл санауымыздан 2500/ белгілі болғанынан қарамастан ол туралы алғаш ғылыми тәжірибені дат физигі Х. Эрстед 1820 жылы орындады. Ол тұрақты токтың магнитке әсерін бақылау отырып, алғаш рет электр тогы мен магнит арасындағы байланыстың барлығын дәлелдеді.
Сондықтан осы 1820 жылы магнитсананың ғылым ретінде алғашқы кезеңінің басталған жылы болып саналады. Дененің магниттік қасиетін зерттеу Эрстед тәжірибесінен кейін кеңейе түсті. Магнитсананың даму тарихын шартты түрде төрт жарты ғасырлық кезеңге бөліп қарастыруға /1820-1870, 1870-1920, 1920-1970, 1970 . . . / болады. Эрстед тәжірибесінен кейін жеті күн өткен соң Франция ғылым академиясының отырысында жасаған баяндамасында француз ғалымы Анрике Ампер /1775-1836/ магниттік қасиетке ие болатын заттарда /денелерде/ молекулалық токтардың болатындығы туралы ғылыми болжам-гипотезасымен бірге ток пен магнетиктердің эквиваленттілігі туралы теоремасын дәлелдеді. Осы уақытқа дейін заттың атомдық құрылысы туралы ғылымда ешқандай мәлімет кездеспейтін. Ампер гипотезасы зат құрылысын зерттеудің бастамасына айналған революциялық пікір еді. Содан кейін М. Фарадей 1831 жылы электромагниттік индукция заңын ашып, Бургманс тәжірибесін қайталай отырып, ғылымда диа және парамагнитсана /диа и парамагнетизм/ туралы ұғым қалыптастырды. Магнит өрісі туралы ұғымды да ғылымда осы жылдары Фарадей еңгізді. Ол денелердің диамагниттік қасиетін зерттей отырып, 1845 жылы магнит өрісіне еңгізілген шынының поляризация жазықтығының бұрылатындығы туралы құбылысты ашты. Сонымен магнитсананың дамуының бірінші жарты ғасырлық кезеңі /период/ Максвелл теңдеулерінің жазылуымен аяқталды.
Магнитсананың дамуының екінші кезеңі ферромагнетиктердің магниттік қасиеттерін сыртқы магнит өрісіне байланысты зерттеуден басталды. ХІХ ғасырдың екінші жартысында /1871 ж. / орыс ғалымы А. Г. Столетов /1839-1896/ өзінің «О функции намагничивания железа - темірдің магниттелуі туралы» еңбегінде магнит
өтімділігінің сыртқы магнит өрісінің кернеулігіне тәуелділігін тәжірибе жүзінде зерттеп, оның сызықтық функция болмайтындығын дәлелдеді. ХІХ ғасырдың 90-жылдарында теріс зарядталған бөлшек электронның барлығы дәлелденді. Нидерлан ғалымы Зееман /1865-1943/ 1896 жылы магнит өрісінде спектрлік сызықтардың бөлінетіндігін екінші бір нидерлан ғалымы Хенрик Антон Лоренц /1853-1928/ осы құбылыстың электрондық теоремасын жасады. Сонымен қатар ағылшын ғалымы Джозеф Лармор /1857-1942/ 1897 жылы электрон қозғалысының магнит өрісіндегі /прецессиясы/ туралы теоремасын дәлелдеді.
Осы жылдары француз Пьер Кюри /1859-1906/ диамагниттер мен парамагниттердің қабылдағыштықтарының температураға кері пропорционалдығын тәжірибе жүзінде анықтады. Поль Ланжевен /1882-1946/ 1905 жылдары Ампердің молекуларлық ток туралы гипотезасы мен Лармор теоремасы және Лоренцтің электрондық теориясына сүйене отырып, диа және парамагнитсананың классикалық теориясын жасады.
Пьер Эрнест Вейсс /1865-1940/ 1904-1907 жылдары ферромагнетиктердің ішінде қаныққан магниттеуге ие болатын облыстардың, аймақтардың адомендердің барлығын, ішкі молекулалық токтар гипотезасына сүйене отырып, дәлелдеді. Ферромагнетиктердегі домендық құрылымды тәжірибеде бір-біріне тәуелсіз неміс физигі Биттер мен орыс физигі Н. С. Акулов байқады. Ол әдісті Биттер-Акулов әдісі деп атайды. Осы жылдары В. К. Аркадьев /1884-1953/ ферромагниттердің айнымалы магнит өрісіндегі қасиетін зерттей отырып, жоғары жиілікті электромагниттік толқынның ферромагнетиктерде жұтылатындығын, яғни ферромагниттік резонанс құбылысын зерттеді. Осымен магнитсананың дамуының екінші жарты ғасырлық кезеңі аяқталды.
Магнитсананың үшінші периоды /кезеңі/ Вольфанг Паулидің /1900-1958/ 1920 жылы магнитсанаға Бор магнетонын М Б еңгізумен басталады.
1925 жылы Сэмюэл Гаудсмит /1902-1979/ және Джордж Юджин Уленбек /1900 . . . / электрон спинінің /меншік қозғалысын/ барлығын ашты. Содан кейін Гейзенберг, Френкель, Болх алмасу энергиясына негізделген ферромагнетиктердің кванттық теориясын қалыптастырды. Ол I S =f(H) магниттелудің кристаллдың жақтары мен қырларына байланысты өзгеретіндігінің теориясын жасады. Бір сөзбен айтқанда магниттік анизотропия туралы теория пайда болды.
Енді магнитсананың үшінші және төртінші кезеңдерін тізбелеп жатпай-ақ, оның негізгі бағытына тоқталсақ та болады.
Кез келген ғылымның дамуы өндірісті өркендететін болса, керісінше оның өркендеуі ғылым алдына жаңа проблемалар қойып отырады.
Өткен ғасырдың 20-30 жылдарындағы өндірістің дамуы оған қажетті үлкен магниттік қасиетке ие болатын магнит материалдарды іздеп табуды қажет етеді. Осы жылдары таза металл ферромагнетиктердің және олардың қорытпаларының магниттік қасиеттері зерттелді.
Екінші дүниежүзілік соғыстың соңына қарай жоғары жиілікті /ЖЖТ/ техниканың дамуына байланысты Фуко тогы аз бір жақты өткізгіштікке ие болатын, магнит материалдар іздестіру қажет болды. Осындай магнитті материалдарға МеО Fe 2 O 3 сияқты химиялық қоспалардың ие болатындығы дәлелденді. Енді магнитсанада ферромагнетиктер физикасына ферриттер физикасы деген тарау келіп қосылды. Ферриттер негізінде радиоауқымында /радиодиапазонында/, ЖЖТ, лазерлік техникада, ЭЕМ қолданатын жаңа материалдар болып табылады.
Сондықтан мектеп бітіруші жастарға магниттік құбылыстар физиканың ғылыми негізі етіп таныстыруда мектеп физика пәнінің мұғалімінің алдына қоятын басты мақсаттарының бірі болуы керек.
Электрлік әсерлесулердің табиғатын түсіндіру үшін Ньютон эфир (грекше - сияқты, бәлкім, көрініп тұрғандай деген сөз) гипотезасына сүйенеді. Ньютонның көзқарасы бойынша магнетизмнің, электрдің және гравитацияның ұқсастығы күштердің материалдық тасымалдаушылары бір болғандығынан, және ол эфир болып табылады деп түсіндіреді.
1756 жылы Ломоносов электр құбылыстары эфир бөлшектерінің қозғалысынан туындайтыны туралы гипотеза ұсынады.
Бұл идеяны кейін Эйлер дамытады. Ол электр процестерін механикалық қозғалыстарына әкеп тірейді. Ол салмақсыздық концепциясының нақты бейнесін ұсынды. Электр разрядты эфирдің күйі деген ой айтты.
1771 жылы Кавендиш электрді - серпімді, сығылмайтын сұйық деп болжайды.
Электромагнетизмнің дамуына, 1820 жылы Эрстедтің магнит тілшесіне токтың әсер етуін ашуы үлкен ықпал берді. Араго ??? тогы бар өткізгіштің магниттік қасиеттері болатынын көрсетті. Ампер электродинамикасында токтың магниттік әсерін магнит полюстері арасында әсер ететін орталық күштермен түсіндірді. Алайда, әсерлесетін элементтерді қосатын радиус-вектордың бағыты мен тәжірибеде анықталған магнит күштерінің бағыты өзара перпендикуляр болып шықты. Бұл жағдайға ол кездегі физиктердің мән бермеуі таң қалдырмай қоймайды. Токтардың әсерлесуі - электр тартылу мен тебілудің дербес жағдайы деп түсіндірілді.
Фарадейдің кезінде алыстан әсер еті концепциясы үстем болды. Оның дұрыстығына ешкімнің күдігі де болмады. Осындай жағдайда Фарадей бұл, алыстан әсер ету концепциясына (барлық әсерлесулер кез-келген арақашықтыққа таралады деген сөз) батыл түрде қарсы шықты. Бұл уақытқа дейін химиямен айналысқан Фарадей, барлық күш-жігерін электромагнетизмге бұрады. 1816-1862 жылдар бойы ғылыми жұмыспен айналысудың нәтижесінде, оның «ерекше көзқарасы» қалыптасты. Оның «ерекше көзқарасы» мәнісіне тоқталайық:
Электр флюидтер болмайды. Электр - заттың атомдарымен байланысты (Франклин бойынша заттардағы электр құбылыстардың болуы, оларда ерекше субстанция болатындығынан деп түсіндірілді. Материяның ерекше түрі болып табылатын бұл субстанцияның - флюид деген атағы болған) ;
2) Алыстан әсер етудің болуы мүмкін емес, электр және магнит күштері қисық сызықтармен таралады, ол сызықтардың конфигурациясы ортаның қасиеттеріне байланысты (жақыннан әсер етудің мәнісі осы) .
ХІХ ғасырдың 30-жылдарында алыстан әсер ету концепциясының күшті математикалық жабдықталуы болды. Ал тогы бар өткізгіштің маңайында «құйын» болуы, магниттің айналасында «магниттік атмосфера», ал зарядталған денелердің айналасында «электрлік атмосфера» болады деген ойдың математикалық негізі болмады. Фарадейге дейін жақыннан әсерлесу концепциясы философиялық сипатта болды. Фарадей ашық түрде алыстан әсер ету концепциясына қарсы шықты. Яғни күштің түзу сызық бойынша таралады деген мәселені жоққа шығарды. Ол жақыннан әсерлесудің потенциалдық мүмкіндігіне зор сенімде болды және өзінің ерекше көзқарасын бірте-бірте нығайта отырды.
Фарадей жақыннан әсерлесу концепциясын физикалық зерттеудің бір құралына айналдырды. Фарадей физикалық өріс концепциясына келіп, өріс ұғымын пайдаланғанымен, басында оған анықтама бермейді.
Фарадей бойынша, электрленген дене электр өрісін туғызады.
Электр өрісін оқытпастан бұрын, қысқаша электр әсерін базалық факт ретінде айтып кетуге болады. Электр әсерлесу мысалына Ньютонның тәжірибесін келтірейік. Темір сақинаға қойылған шынының астына қағаз үгінділері салынады. Шыныны үйкеген кезде қағаздар оған тартылып, кейін тебілі, одан қайта тартылып және т. с. с. болады. Бұл тәжірибені Ньютон 1675 жылы жүргізген.
Сонда электр әсері қалай беріледі? Дыбыс ауа арқылы берілетіні белгілі, мүмкін электр өрісі де ауа арқылы немесе басқа да заттар арқылы беріледі ме?
Ньютоннан кейін, Бойль Генрикенің тәжірибесін қайталады. Нәтижесінде, электрленген дене электрленбеген денені тартумен қоса, өзі де оған тартылатынын байқады. Бойль электр әсері вакуум арқылы да берілетінін көрсетті.
1749 жылы құрылған Франклиннің теориясы бойынша электрленген денелердің маңайында «электр атмосфера» болады деп саналған. Атмосферамен таныс болғандықтан, бұл ойды оқушылар оңай елестете алады, нәтижесінде, электр өрісі ұғымын оңай түсінеді.
1759 жылы Петербургте академик Франц Ульрих Теодор Эпинустың «электр және магнетизм теориясының тәжірибесі» атты кітабы шығады.
Эпинус Франклиннің электр сұйық туралы гипотезасын қолдайды: «Барлық электр құбылыстарын жүзеге асыратын қандай да бір сұйықтық бар, ол электр сұйығы деп аталады, сұйық өте икемді (эластикалы) әрі нәзік, оның бөлшектері әжептеуір үлкен арақашықтықтан да тебіледі. ». Материя бұл сұйықтың бөлшектерін өзіне тартады.
- Мектеп физика курсындағы электромагниттік өріс ұғымына ғылыми талдау
1. 1 Электр және магнит өрістері
Электродинамика макроскопиялық, микроскопиялық және кванттық электродинамика болып үшке бөлінеді. Орта мектепте макроскопиялық - максвелл электродинамикасы оқытылады. Макевелл электродинамикасы классикалық механикадағы Ньютон заңдары немесе термодинамикадағы термодинамика заңдарының рөлін атқарады. Максвелл электродинамикасында электромагниттік өрісті (ЭМӨ) электр өрісінің кернеулігін
-векторының
магнит индукция векторының шамалары арқылы сипаттайды. Максвелл теориясында ортаның қасиеті
диэлектрлік өтімділік, М магниттік өтімділік және
меншікті электр өткізгіштік сияқты үш шамамен сипатталады. Жалпы жағдайда кеңістіктегі ЭМӨ аталған екі векторының алты проекциялары: Е
х
, Е
у
, Е
z,
В
х
, В
у
, В
z
арқылы өрнектеліп қана қоймайды сонымен қоса олардың арасындағы өзара байланысты да қарастырады. Денедегі ЭМӨ-ті сипаттау үшін D электр ығысу (электр индукция), Н магнит өрісінің кернеулігі деген физикалық параметрлер енгізіледі. Қазіргі мектеп курсында электродинамиканың, ЭМӨ-тің негізгі сипаттамасы ретінде электр өрісінің кернеулік векторы
мен магнит индукция векторыВ-на сүйене отырып сипаттайды.
Өрістің жіктелуінің класификациясын мынадай түрде көрсетуге болады.
рис 43
Жоғарғы класстарда Макевелдің идеясын қазіргі заманғы релятивистік механика тұрғысынан түсіндіруге болады.
1. 2 Магнитизм құбылысына қазіргі заманғы көзқарас
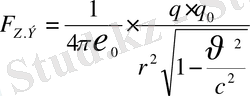
Магнит ілімі туралы түсінікті Кулон заңымен салыстырмалы теорияны пайдалана отырып әрі қарай дамытуға болады. Арақашықтықтары Equation. 2 болатын Equation. 2 жылдамдығымен кеңістікте қозғалатын Equation. 2 және Equation. 2 зарядтарының өзара әсерлесуін қарастырайық.
К системасына қарасты K 1 системасы Equation. 2 тұрақты жылдамдықпен қозғалатын системада Equation. 2 және Equation. 2 зарядтары қозғалмай тыныштықта тұрсын деп жориық.
1 сурет. Кеңістікте жылдамдығымен қозғалатын және зарядтарының арасындағы Кулондық өзара әсерлесу
Қозғалыстағы K 1 системасындағы және зарядтарының өзара әсерлесу күші Кулон заңы бойынша анықталады.
(9. 6)
мұндағы
вакуумның диэлектрлік тұрақтысы
Қозғалмайтын К системасына қатысты және зарядтары жылдамдығымен қозғалады. Онда өзара әсер күші күшіне өзгереді де, оны Лоренц өзгертуін пайдалана отырып, былай жазуға болады.
(9. 7)
Сонда (9. 6) теңдеуін ескере отырып, (9. 7) теңдеуді қайтадан жазайық.
Енді мынадай белгілеулер енгізейік:
электростатикалық әсерлесу күші
зарядтардың магниттік өзара әсерлесу күші
Сонда
(9. 8)
Жоғарыдағы өрнектерден зарядтардың электрлік және магниттік өзара әсерлесу күштерінің қатынасы жылдамдығымен жарық жылдамдығының “c” қатынасымен анықталатындығы көрінеді.
немесе (9. 9)
Олар зарядталыған бөлшектердің жылдамдығы жарық жылдамдығын жуықтағанда - ғана бір-бірімен теңеседі. Бірақ зарядаталған бөлшектің жылдамдығы аз болғанымен де магниттік әсерді ескермеуге болмайды. Олай болса, магнит өрісінің табиғаты зарядатлған бөлшектердің жылдамдығына тәуелді р е л я т и в и с т і к э ф ф е к т болып табылады.
а) Егер болса, онда
б) Егер онда
Шындығында күшінің әсері материяның ерекше формасы магнит өрісі арқылы беріледі. Электр өрісінің көзі заряды болып, заряды «сынақшы» заряд болатын болса, онда электр өрісінің кернеулік векторы
Электр өрісінің ұғымына сүйене отырып магнит өрісінің сипаттайтын В магнит индукция векторының шамасын енгіземіз. Сонда арақашықтықта орналасқан зарядының тудыратын магнит өрісінің индукциясы
(9. 10)
мұндағы магнит тұрақтысы
Магнит өрісінің сынақшы зарядқа әсер ететін күшін Л о р е н ц к ү ш і деп атайды.
(9. 8)
күшінің бағыты мен векторлары жататын жа-зықтыққа әрқашан перпендикуляр болады (9. 5 сурет) .
- сурет. Магнит өрісіндегі оң және теріс электр зарядына әсер ететін Лоренц күші
Ұзындығы болатын тогы бар өткізгішке магнит өрісінде В Ампер күші (9. 6 сурет) әсер етеді.
м±ндаѓы
Егер болып, оған магнит өрсінің индукция векторы болса, онда
(9. 12)
тоѓы бар µткізгішке єсер ететін
Ампер к‰ші
деп атайды.
Шындығында Ампер күшін өткізгіштегі заряд тасы-малдаушылар арқылы оның кристалдық торына берілетін Лоренц күші ретінде елестетуге болады.
3 сурет. Магнит өрісінде тогы бар өткізгішке әсер ететін Ампер күші
Тогы бар өткізгіш маңындағы пайда болатын магнит өрісін сипаттайтын Био-Саавара Лаплас заңы жоғарыда келтірілген талдау негізіне сүйеніп енгізілген.
Барлық магнит өрісін сипаттаушы шамалар электр зарядының қозғалыс жылдамдығының функциясы болып табылады. Сондықтан барлық магнит өрісін сипаттайтын шамалар нөлге ұмтылады.
зарядтардың магниттік өзара әсерлесу күші,
магниттік индукция,
Бұл өрнектерден зарядтардың магниттік өзара әсерлесулерін, зарядтардың кеңістіктегі қозғалысы арқылы пайда болатын олардың электрлік өзара әсерлесулері ретінде қарастыруға болады.
Олай болса электр бейтарап бөлшек нейтронның магнит моментінің болатындығын қалай түсіндіруге болады? Тәжірибе арқылы нейтроннан зарядталған бөл-шектредің шашырауы арқылы нейтрон тек бүтін күйінде ғана бейтарап, ал шындығында нейтронның электрлік құрылысы күрделі екендігі дәлелденді. Нейтрон зарядталған бөлшектер кварктермен липтондардан тұрады. Олардың қозғалысы нейтрон ішінде магнит моментін тудырады. Сондықтан нейтрон магнит моменті де магнит құбылысының зарядталған бөлшектердің қозғалысынан пайда болатындығында жоққа шығармайды.
Магнит зарядтарының өзара әсерлесуі байқалатын өлшемі, олардың жылдамдықтарының жарық жылдамдығына қатынасымен анықталады. Көп электронды атомдардың ядросына жақын кеңістікте қозғалатын электрондар үшін бұл қатынас
Яғни магниттік және Кулондық әсерлесу энер-гияларының қатынасы
Ауыр атомдардың ядроға жақын орналасқан элек-трондарының жылдамдығы жарық жылдамдығына жақын болады. Сондықтан бұл электрондардың магниттік өзара әсерлесулері, олардың электрлік әсерлесулеріне тең.
Атом өлшеміндегі магниттік, электрлік және гравитациялық өзара әсерлесулердің энергияларының қатынасы
Бұл қатынас магниттік әсерлесу мен оның энергиясы электрлік әсерлесулердің сәйкесті шамаларынан аз болғанымен материяның құрылысы мен қасиетін анықтауда үлкен роль атқарады.
4 сурет. Жылдам электрондардың нейтронда шашырауынан алынған нейтрон ішіндегі электр зарядтарының таралуы.
Жоғарыда біз магнит зарядының табиғатта кез-деспейтіндігіне көз жеткіздік немесе оның осы күнге дейін ғылымға белгісіздігін дәлелдедік. Олай болса магнит өрісін токтың материалмен өзара әсерлесуінің нәтижесі ретінде ќарастырады.
Қозғалмайтын электрзаряды тұрақты электр өрісін тудырса, ал тұрақты электр тогы тұрақты магнит өрісін тудырады
Егер сыртқы магнит өрісі материалды ортаға енетін болса, онда оның атомдарымен (молекулалар) әсерлесулерінің нәтижесінде ол өз шамасын өзгертеді. Сонда сыртқы магнит өрісінің әсерінен материалда ішкі микроскопиялық магнит өрісі пайда болады. Осы ішкі микроскопиялық магнит өрісін сыртқы магнит өрісінен айыру үшін магнит индукциясы деген ұғым енгізелген. Материалдың магниттелуін сипаттауда молекулярлық токтардың ролін сан жағынан бағалау мақсатында дененің магниттелуі ұғым енгізілген.
Бұл шама электрондардың орбиталық және спиндік магнит моменттерінің бір өлшем көлемге келетін магнит моменттерінің
мәнін береді. Осы келтірілген магнит индукциясы
мен магниттелу
шамаларының айырымы, ортадағы магнит өрісінің кернеулігін береді.
(9. 13)
Сонымен (9. 13) өрнектегі
,
,
шамаларының барлығы белгілі бір магнит өрісін сипаттайтындықтан олардың өлшем бірліктері де бірдей болады. Ол 9. 2 кестесінде келтірілген. Бірақ ол өрістердің қандай өріс шамасын сипаттайтын ара жігін ұмытпаған жөн.
Сонда магниттелу мен сыртқы магнит өрісінің кернеулігі арасындағы байланыс
мұндағы коэффициентін заттың магниттік қабылдағыштығы деп атайды. Яғни заттың магнит өрісінің сыртқы магнит өрісін қанша есе күшейтетін
көрсететін коэффициент.
Магниттелген ортадағы зарядталған бөлшекке әсер ететін жиынтық магнит өрісін сипаттау үшін магниттік индукция шамасы енгізіледі.
Мұндағы
ортаның абсолюттік магнит өтімділі гі, ортаның салыстырмалы магнит өтімділігі деп аталады.
Енді негізгі магниттік шамалардың СГСМ және СИ системаларындағы өлшем бірліктерін келтірейік.
9. 2. кесте
СГСМ және СИ системаларындағы магниттік шамалар мен олардың өлшем бірліктері
Гаусс
(Гс)
Сыртқы магнит өрісіне енгізілген заттардың магнит қабылдағыштығының шамасы мен таңбасының өзгеруіне қарай табиғатта кездесетін заттарды бес топқа бөледі.
9. 3 кесте
... жалғасы- Іс жүргізу
- Автоматтандыру, Техника
- Алғашқы әскери дайындық
- Астрономия
- Ауыл шаруашылығы
- Банк ісі
- Бизнесті бағалау
- Биология
- Бухгалтерлік іс
- Валеология
- Ветеринария
- География
- Геология, Геофизика, Геодезия
- Дін
- Ет, сүт, шарап өнімдері
- Жалпы тарих
- Жер кадастрі, Жылжымайтын мүлік
- Журналистика
- Информатика
- Кеден ісі
- Маркетинг
- Математика, Геометрия
- Медицина
- Мемлекеттік басқару
- Менеджмент
- Мұнай, Газ
- Мұрағат ісі
- Мәдениеттану
- ОБЖ (Основы безопасности жизнедеятельности)
- Педагогика
- Полиграфия
- Психология
- Салық
- Саясаттану
- Сақтандыру
- Сертификаттау, стандарттау
- Социология, Демография
- Спорт
- Статистика
- Тілтану, Филология
- Тарихи тұлғалар
- Тау-кен ісі
- Транспорт
- Туризм
- Физика
- Философия
- Халықаралық қатынастар
- Химия
- Экология, Қоршаған ортаны қорғау
- Экономика
- Экономикалық география
- Электротехника
- Қазақстан тарихы
- Қаржы
- Құрылыс
- Құқық, Криминалистика
- Әдебиет
- Өнер, музыка
- Өнеркәсіп, Өндіріс
Қазақ тілінде жазылған рефераттар, курстық жұмыстар, дипломдық жұмыстар бойынша біздің қор #1 болып табылады.

Ақпарат
Қосымша
Email: info@stud.kz