Бюджет-салық саясаты


БЮДЖЕТ-САЛЫҚ САЯСАТЫ
Жоспар:
1. Бюджет-салық саясатының қысқа және ұзақ мерзімдегі мақсаты, құралдары. Мемлекеттің шығындардың мультипликаторы.
2. Салық мультипликаторы, баланстық бюджет мультипликаторы.
3. Дискрециялық және дискрециялық емес қазыналық саясат. Бюджет тапшылығы және артықшылығы.
1 Бюджет-салық саясатының қысқа және ұзақ мерзімдегі мақсаты, құралдары. Мемлекеттік шығындардың мультипликаторы.
Мемлекеттің экономикаға әсер етуі салық салу құралдары арқылы жүргізіледі. Мемлекеттік шығындар мемлекеттік бюджеттің қаржыларын пайдалану нәтижесінде мүмкін болады, ал салық бюджетті қаржымен қамтамасыз ететін бірден-бір құрал.
Салық төлемі (Т), мемлекеттік шығындар (G) және жоспарланған инвестиция І-дің белгілі бір деңгейінде тепе-тендік өнім көлемі Ү қалыптасқанын кейнс кресі көрсетеді.
Ресурстар жұмыспен толық қамтылмаған жағдайында да тепе-тендік жағдай қалыптаса береді. (Мұндай жағдай жиынтық сұраныстың тиімсіз болуының салдарынан қалыптасуы мүмкін. ) Сондықтан да пайда болған үзілісті жою үшін, экономиканы мемлекет тарапынан реттеу құралдары пайдаланылады. Олар бюджетке төленетін салық төлемі (Т) мен мемлекеттік шығындар көлемінің өзгеруі (G) арқылы жүзеге асырылады.
Бюджет-салық саясаты (қазыналық (фискальный) саясат) - мемлекеттік бюджет жағдайын, салық салуды және мемлекеттік шығындардың өзгерісін реттеу мақсатында үкімет тарапынан жүргізілетін шаралар. Бұл шаралар жұмыспен толық қамтылуды, төлем балансының тепе-теңдігін және экономиканың өсуін қамтамасыз ету мақсатында жүргізіледі.
Ынталандырушы бюджет-салық саясаты (қазыналық экспансия) - бұл саясат қысқа мерзімді кезеңде экономикадағы циклдік құлдырауды жою мақсатын қояды. Мұны жүзеге асыру үшін мемлекет шығындарды (G) өсіріп, салық мөлшерін төмендету арқылы немесе біріктірген, құрастырма шаралар арқылы жүзеге асырылады.
Ұзақ мерзімдік кезеңде салықты төмендету саясаты, өндіріс факторларының ұсынысын кеңейтуге және экономикалық әлуеттің өсуіне алып келуі мүмкін. Мұндай мақсаттардың жүзеге асуы кешенді салық реформасының жүргізілуіне байланысты болады. Бұл шаралардың орындалуы Орталық банк жүргізетін тежеуші ақша-несие саясатымен және мемлекеттік шығындардың құрылымын оңтайландырумен байланысты.
Тежеуші бюджет-салық саясаты (қазыналық шектеу) - экономикадағы циклдік өсуді тежеу мақсатын көздейді. Бұл саясатты жүзеге асыру үшін, мемлекеттік шығындар төмендеп (G), салық мөлшері (Т) жоғарылайды немесе біріктірген, құрастырма шаралар арқылы жүзеге асырылады. Қысқа мерзімдік кезеңде бұл шаралардың нәтижесінде, өндірістің құлдырауы және жұмыссыздық деңгейінің өсуі салдарынан болған сұраныс инфляциясын төмендетуге мүмкіндік береді.
Ұзақ мерзімдік кезеңде өспелі салық "сынасы" жиынтық ұсыныстың төмендеуіне және құлдыраушылық механизмін ашуға негіз болуы мүмкін. Бұл құбылыс әсіресе төмендегі жағдайларда кездеседі: мемлекеттік шығындардың азаюы бюджеттің барлық баптарында пропорционалды қысқарып, жүзеге асырылып отырса және еңбек нарығының инфрақұрылымына мемлекеттік инвестиция берілуінде басымдылық болмаса.
Мемлекеттік шығындарды тиімсіз басқарумен қатар ұзақ уақытқа созылған құлдыраушылық экономикалық әлуеттің бұзылуына әсерін тигізеді. Мұндай жағдай экономиканың өтпелі кезеңінде жиі кездеседі.
Қысқа мерзімдік кезеңде салық-бюджет саясаты баланстық бюджеттің, салықтың және мемлекеттік шығындардың мультипликаторы әсерімен байланысты болады.
Мемлекеттік шығындардың өзгерісін көру үшін кейнс кресін пайдаланамыз. Мемлекеттік шығындар жиынтық шығындардың құрауышы болып табылады, олардың өсуі жоспарланған шығындарды да өсіреді. Егер мемлекеттік шығындар ΔG-ға өссе, онда жоспарланған шығындар қисығы оңға қарай сол мәнге жылжиды. Ал тепе-тендік өнім көлемі Ү 1 -ден Ү 2 -ге өседі, демек ΔҮ = ΔG х mg. mg - мемлекеттік шығындардың мультипликаторы. Мемлекеттік шығындар 1 теңгеге көбейгенде пайда мөлшері қаншаға өседі деген сұраққа жауап береді. Мемлекеттік шығындар ΔG-ға өскенде мультипликаторлық үрдіс басталады және табысты сол мәнге өсіреді, ол тұтынуды (b х ΔG) шамасына өсіреді. Тұтыну көлемінің мұндай өсуі табыс пен шығын көлемін тағы да өсіреді. Ол тұтынуды (b х ΔG) шамасына өсіреді.
Жиынтық әсер төмендегідей
Шығынның алғашқы өзгерісі = ΔG Тұтынудың алғашқы өзгерісі = b х ΔG Тұтынудың екінші өзгерісі = b 2 х ΔG ΔҮ = ΔG (1 + b + b 2 + . . . )
7. 1-сурет Кейнс кресі үлгісіндегі мемлекеттік шығындар өсімі
қатынасы мемлекеттік шығындар мультипликаторы деп аталады. Кейде бұл үлгіні кейнс мультипликаторы деп те атайды. Мемлекеттік шығындар мультипликаторының көлемі мен тепе-тендік көлемін теңдеулер жүйесін шешу арқылы табамыз.
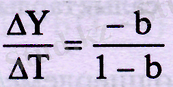
Мұндағы Ү = С + 1 + G негізгі макроэкономикалық теңдеу С = а + b · Ү - тұтыну функциясы. Тұтыну функциясының мәнін макроэкономикалық тендеуге қою тепе-тендік өнім көлемін анықтауға мүмкіндік береді. Ү = а + b · Ү + I + G => Ү - b Ү = а + І + G => => Ү(1 - b) = а + І + G
, мұндағы (а + І + G) -табыс көлемі У-тен тәуелсіз автономды шығындар, ал
- мультипликатор. Жабық экономикада тепе-тендік табыс көлемі деңгейінің қаншаға өсетіндігіне байланысты. Мемлекеттік шығындар ғана емес, автономды шығындар да бір бірлікке өседі, осы құбылысты мультипликатор көрсетеді. Мультипликатор шамасын анықтайтын негізгі фактор болып тұтынудың шекті бейімділігі (b), МРС есептеледі. Табысқа салық салынғаннан соң, тұтыну функциясы басқаша болады, демек мультипликатор үлгісі де төмендегідей:
Мұндағы
жабық экономикадағы мультипликатор шығындары. t - шекті салық мөлшерлемесі.
Шекті салық мөлшерлемесі
- енгізілген салық сомасы өсімшесінің табыс өсімшесіне қатынасы арқылы табылады.
Мұңдағы t - салық салудың шекті мөлшерлемесі. ΔТ - енгізілген салық сомасынының өсімшесі. ΔҮ - табыс өсімшесі. Өнім шығару көлемі мен жұмысбастылық деңгейін тұрақтаңдыратын және мультипликатор әсерін азайтуға ықпал ететін фактор - үдемелі салық салу жүйесі. Жабық экономикаға қарағаңда ашық экономикада мемлекеттік шығындарға мультипликатор әсері төмен.
Ашық экономикада
тепе-теңдік өнім көлемі мен мемлекеттік шығындар мультипликаторының көлемі төмендегі теңдеулер жүйесін шешу арқылы табылады.
2 Салық мультипликаторы, баланстық бюджет мультипликаторы
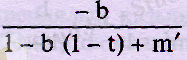
Жоғарыда қарастырылғандай тепе-тендік табыс көлеміне мультипликаторлық әсер салық мөлшерінің Т төмендеуіне байланысты болады. Егер салық төлеу мөлшері ΔТ-га төмендесе, онда қолда бар табыс Үd = Ү - Т -ға өседі. Тұтыну шығындары сәйкес түрде (ΔТ х b) көлеміне өседі, бұл жағдай жоспарланған шығындарды оңға қарай жоғары қозғалтады және тепе-тендік өнім көлемін Ү 1 -ден Ү 2 көлеміне өсіреді.
Ол көлем
- тең.
Мұндағы
салық мультипликаторы деп aталады.
Салық мультипликаторының механизмі, мемлекеттік шығындар мультипликаторы сияқты, салық көлемінің бір өзгерісіне тұтынудың көп қатар өзгерісін көрсетеді.
![]()
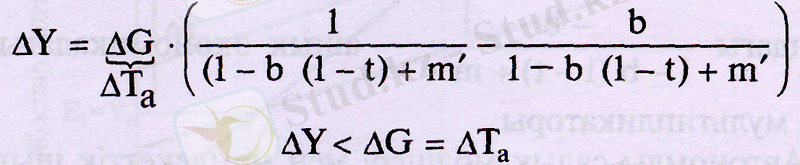
Егерде мемлекеттік бюджетке берілетін салық мөлшері табыс динамикасына тәуелді деп алсақ, онда салық функциясы төмендегідей түрде жазылады. Т = t · Ү
![]()
7. 2- сурет. Кейнс кресіндегі салықтардың азаюы
Мұндағы t - шекті салық мөлшерлемесі. Бұл жағдайда тұтыну функциясы төмендегідей болады: С = а + b (Y- t·Y) = а + b (1- t) ·Y Ал салық мультипликаторының үлгісі төмендегідей:
Мұндағы m t - жабық экономикадағы салық мультипликаторы. Жалпы салық функциясы төмендегідей:
Т = Та + t · Ү
Мұндағы Та - автономды салық мөлшері, табыс мөлшерінен тәуелсіз. t - шекті салық мөлшерлемесі. Табыстан (Ү) тәуелді функционалды салық салымын ескеріп, тұтыну функциясын төмендегідей жазуға болады:
С = а + b [Ү - (Т а + t · Ү) ] Ашық экономикадағы тепе-теңдік өнім көлемінің үлгісі төмендегідей болады:
Мұндағы
- ашық экономикадағы салық мультипликаторы.
Автономды салық мөлшері мен мемлекеттік шығындардың бір мезгілдегі өзгерісінің нәтижесінде табыстың жиынтық өзгерісі мынадай түрде жазылады:
Егерде мемлекеттік шығындар және автономды салық төлемдері бірдей көлемге өзгерсе, онда тепе-теңдік өнім көлемі де өседі. Мұндай жағдайда баланстық бюджет мультипликаторы орын алады деп айтылады. Баланстық бюджет мультипликаторы бірге тең немесе бірден кіші.
Баланстық бюджет мультипликаторы бюджет тапшылығы мен артықшылығын мүлдем жоя алмайды. Бұл жерде табыс пен шығынды теңгеру туралы айтылады, демек (ΔТ=ΔG) . Мұндағы ΔТ - бюджеттегі табыстың өсімшесі, ал ΔG бюджеттегі шығынның өсімшесі.
Мысал. Егер мемлекеттік шығын ΔG -ға өссе, онда тепе-теңдік өнім көлемі төмендегідей мәнге өседі:
Егерде үкімет бір мезгілде автономды салықты ΔТа = ΔG өсірсе, онда тепе-теңдік өнім төмендегідей мәнге азаяды:
Тепе-тендік өнім көлемінің жиынтық өзгерісі төмендегідей болады.
Мемлекеттік шығындардың өсуімен салыстырғанда, салық мелшерінің азаюынан мультипликаторлық әсер әлсіздеу. Бұл жағдай алгебралық өрнекте шығын мультипликаторының салық мультипликаторынан жоғары, үлкен екендігі арқылы көрсетілген.
Бұл құбылыс салықтың өзгерісімен салыстырғанда мемлекеттік шығындардың табыстың көлеміне және тұтынуға әсерінің күштілігімен байланысты болады. Бұл айырмашылық қазыналық саясат құралдарын тандағанда анықтаушы, негізгі болып есептеледі. Егерде қазыналық саясат экономикадағы мемлекеттік секторды кеңейту мақсатын көздесе, онда циклдік құлдырауды тоқтату үшін мемлекеттік шығын өседі, бұл құбылыс күшті ынталандырушы әсер береді.
Ал инфляцияның көтерілуін тежеу үшін, салық мөлшері өседі. Бұл құбылыс салыстырмалы жұмсақ тежеуші шара болып есептеледі.
Егерде қазыналық саясат мемлекеттік секторды тежеуге бағытталса, онда циклдік құлдырау кезеңінде салық төмендейді. Бұл жағдай салыстырмалы аз ынталандырушы әсер береді. Ал циклдік көтерілу кезеңінде мемлекеттік шығындар төмендейді, бұл инфляция деңгейін тез төмендетуге мүмкіндік береді.
3. Дискрециялық және дискрециялық емес қазыналық саясат. Бюджет тапшылығы және артықшылығы.
Дискрециялық қазыналық саясат - үкіметтің арнайы шешімі бойынша салықты, мемлекеттік бюджеттің сальдосын және мемлекеттік шығындардың көлемін мақсатты бағытта өзгерту. Бұл шаралар төлем балансының жағдайын, инфляция қарқынын, өнім көлемін, жұмысбастылық деңгейін өзгертуге бағытталған.
Дискрециялық емес қазыналық саясат - жиынтық табыстың циклдік тербелістерінің нәтижесіңде жоғарыда аталған шамалардың дағдылы өзгеруі. Жалпы ұлттық өнімнің өсуі (төмендеуі) кезеңдерінде мемлекет бюджетіне түсетін таза салық салымдарының дағдылы түрде өсуін (төмендеуі) дискрециялық емес саясат қарастырады.
Бұл саясат экономикадағы тұрақтылыққа әсерін тигізеді. Таза салық түсімі - бюджетке түсетін жалпы салық мөлшері мен үкімет тарапынан берілетін трансферттің арасындағы айырма. Дискрециялық қазыналық саясат экономикадағы құлдырау кезеңінде жиынтық сұранысты ынталандыру мақсатында мақсатты түрде мемлекеттік шығындарды өсіре отырып, немесе салық мөлшерін төмендетіп мемлекеттік бюджетте тапшылық құрылады. Экономиканың өрлеу кезеңінде сәйкес түрде мақсатты түрде бюджет артықшылығы құрылады.
Үкіметтің дискрециялық саясаты ішкі уақытша кешеуілдеумен байланысты болады, өйткені мемлекеттік шығындар құрылымының және салық салымы пайыз мөлшерлемесінің өзгерістері парламентте ұзақ уақыт талқылауға түседі.
Дискрециялық емес қазыналық саясатта бюджет артықшылығы және тапшылығы дағдылы түрде пайда болады, ол экономиканың кіріктірме тұрактаңдырғышы арқылы мүмкін болады.
Кіріктірме тұрақтандырғыш - үкіметтің экономикалық саясатын жиі өзгертпей-ақ, өнім көлемі мен жұмысбастылық деңгейінің циклдік амплитудасын төмендетуге мүмкіндік беретін экономикалық тетік. Өркениетті, дамыған мемлекеттерде мұндай тұрақтандырғыш ретінде үдемелі салық салу, мемлекеттік трансферттер жүйесі, жұмыссыздықтан сақтандыру және пайданы бөлуге қатысу жүйесі алынады.
Экономиканың "кіріктірме тұрақтандырғышы" дискрециялық қазыналық саясаттың уақытша кешеуілдеу мерзімі ұзақтығының проблемасын салыстырмалы түрде қарағанда әлсіретеді, жұмсартады, өйткені бұл механизмдер парламенттің қатысуынсыз да жұмыс істейді.
Экономика тұрақтылығының деңгейі тікелей циклдік бюджет тапшылығы мен артықшылығы көлеміне тәуелді, бұл жағдай жиынтық сұраныс тербелісінің дағдылы "амортизаторы" қызметін атқарады.
Циклдік тапшылық (артықшылық) - мемлекеттік бюджеттің тапшылығы (артықшылығы), іскерлік белсенділіктің құлдырауы (ерлеу) жағдайында мемлекеттік трансферттердің өсуі (азаюы) және салық түсімдерінің азаюының (өсуі) дағдылы жүзеге асуымен байланысты болады.
Циклдік өрлеу кезеңінде Ү 2 > Ү 0 үлкен болады, сондықтан салық салымдары дағдылы өседі, ал трансферттік төлемдер дағдылы төмендейді. Нәтижесінде бюджет артықшылығы өседі және инфляциялық дүрлігіс төмендейді (7. 3 - сурет) .
Циклдік төмендеу кезеңінде Ү 2 < Ү 0 , сондықтан салық дағдылы түрде төмендейді, ал трансферттер өседі. Қорыта айтқанда, салыстырмалы түрде өнім көлемі мен жиынтық сұраныс өскенде бюджет тапшылығы құлдырауды шектейді.
Циклдік тапшылықтың және артықшылықтың көлемі салық және бюджет функциялары графиктерінің "шұғыл тікшелігіне" байланысты болады. Салық функциясы (Т) бұрыштық көлбеуінің шекті салық мөлшерлемесінің (t) көлеміне тәуелді болады, ал мемлекеттік шығындар функциясының (G) бұрыштық көлбеуі - γ көлеміне тең, бұл шама трансферттер сомасы мен табыс көлемі өзгерісінің қатынасын сипаттайды. Сәйкес түрде, табыс деңгейі неғұрлым үлкен болған сайын, солғұрлым мемлекеттен алынатын салық мөлшері жоғары және трансферт төмен болады.
![]()
6. 3 - сурет
Егерде ағымдағы табыстың динамикасынан тәуелсіз мемлекеттік шығындарды (G) тұрақты деп жорамалдасақ, сол жағдайда да экономика тұрақтылығының деңгейі жоғары болады, өйткені салық мөлшерлемесі (t) деңгейі жоғары болған сайын, сәйкес түрде Т сызығы "тікше" орналасады. Т ׳ жағдайында циклдік бюджеттік тапшылық және артықшылық көп болады. Сондықтанда Т жағдайымен салыстырғанда, жиынтық сұраныстың төмендеуі мен өсуіне кіріктірме тұрақтандырғыш басымдау әсер етеді. Сол мезгілде экономиканың кіріктірме тұрақтандырғышы бюджет-салық саясатының ұзақ мерзімдік мақсаттарына - экономика әлуетінің өсуі мен өндіріс факторларының ұсынысын кеңейтуге ынтаны бекіту мақсаттарына қарама-қарсы келеді. Инвестициялауға ынталы болу, кәсіпкерлік тәуекелшілдікке және еңбекке салыстырмалы түрде қарағанда әсері күштірек болады, өйткені салық функциясының қисығы жатыңқы, бұл жағдай шекті салық салымының мөлшерін төмендету арқылы мүмкін болады. Бірақ бұл төмендеу циклдік бюджет тапшылығы мен артықшылығының көлемі қысқаруымен қатар жүреді. Демек, экономиканың кіріктірме тұрақтандырғыш деңгейі төмендейді.
Қазыналық саясаттың қысқа және ұзақ мерзімдегі әсерлерінің біреуін тандау күрделі макроэкономикалық проблема болып есептеледі. Бұл проблеманы шешу өркениетті мемлекет болсын, өтпелі кезеңдегі экономика болсын қиын тиеді. Әлуетті деңгейде тепе-тендік ЖҰӨ циклдік тербелісінің себебін кіріктірме тұрақтандырғыш жоққа шығара алмайды, тек қана бұл тербелістерді шектейді. Циклдік бюджеттік тапшылық пен артықшылықтың мәндері арқылы қазыналық саясаттың әрекеттерінің тиімділігін бағалауға болмайды. Өйткені циклдік теңгерілмеген бюджеттің болуы экономиканы ресурстардың толық қамтылған жағдайына жақындата алмайды, мұндай жағдай кез келген өнім көлемінің деңгейінде бола береді. Сондықтанда экономиканың кіріктірме тұрақтандырғышы шартты түрде ресурстардың толық қамтылуын қамтамасыз ететін үкіметтің қазыналық дискрециялық шараларымен байланыста жүргізіледі. Нөтижесінде мемлекеттік бюджеттің құрылымдық тапшылығы (артықшылығы) туындайды. Бұл жұмыспен толық қамтылған жағдайдағы бюджет шығындары (табысы) және табысы (шығындары) арасындағы айырма. Циклдік тапшылық көбіне былай анықталады - бюджет тапшылығының нақты мәні мен құрылымдық тапшылықтың арасындағы айырма.
Ресурстармен толық қамтылу деңгейі, табиғи жұмыссыздық деңгейі және әлуетті өнім көлемін анықтаудың қиындығы салдарынан мемлекеттік бюджеттің құрылымдық тапшылығын (артықшылығын) есептеу қиынға түседі. Бұл қиындық дамыған мемлекеттер мен жаңа дамып келе жатқан мемлекеттер үшін бірдей кездесіп отырады. Сонымен қатар ұзақ мерзімдік қазыналық саясаттың тиімділігін бағалайтын құрал ретінде макроэкономикалық индикаторлардың динамикасы негіз болады.
Бюджет артықшылыгының экономикаға әсері. Бюджет
тапшылығын қаржыландырудың инфляциялық және
инфляциялық емес тәсілі. Сеньораж. Ығыстыру әсері.
Мемлекеттік бюджетке түсетін салықты
өсіру проблемасы
... жалғасы- Іс жүргізу
- Автоматтандыру, Техника
- Алғашқы әскери дайындық
- Астрономия
- Ауыл шаруашылығы
- Банк ісі
- Бизнесті бағалау
- Биология
- Бухгалтерлік іс
- Валеология
- Ветеринария
- География
- Геология, Геофизика, Геодезия
- Дін
- Ет, сүт, шарап өнімдері
- Жалпы тарих
- Жер кадастрі, Жылжымайтын мүлік
- Журналистика
- Информатика
- Кеден ісі
- Маркетинг
- Математика, Геометрия
- Медицина
- Мемлекеттік басқару
- Менеджмент
- Мұнай, Газ
- Мұрағат ісі
- Мәдениеттану
- ОБЖ (Основы безопасности жизнедеятельности)
- Педагогика
- Полиграфия
- Психология
- Салық
- Саясаттану
- Сақтандыру
- Сертификаттау, стандарттау
- Социология, Демография
- Спорт
- Статистика
- Тілтану, Филология
- Тарихи тұлғалар
- Тау-кен ісі
- Транспорт
- Туризм
- Физика
- Философия
- Халықаралық қатынастар
- Химия
- Экология, Қоршаған ортаны қорғау
- Экономика
- Экономикалық география
- Электротехника
- Қазақстан тарихы
- Қаржы
- Құрылыс
- Құқық, Криминалистика
- Әдебиет
- Өнер, музыка
- Өнеркәсіп, Өндіріс
Қазақ тілінде жазылған рефераттар, курстық жұмыстар, дипломдық жұмыстар бойынша біздің қор #1 болып табылады.

Ақпарат
Қосымша
Email: info@stud.kz