ТФЗМ ток трансформаторы


АЛМАТЫ ЭНЕРГЕТИКА ЖӘНЕ БАЙЛАНЫ УНИВЕРСИТЕТІ
ЭЛЕКТРОЭНЕРГЕТИКА ФАКУЛЬТЕТІ
«Электр станциялары, тораптары
және жүйелері» кафедрасы
Электротехникалық материалтану пәні
Есептік - графикалық жұмыс №1
Тақырыбы:
ТФЗМ ток трансформаторы
Орындаған: Эк-12-02 тобының
студенті Молдагазы А. Е
31 нұсқа
Тексерген: аға оқытушы Мукашева Р. Т
Алматы 2014
Мазмұны
- Кіріспе . . . 3
- Трансформатор туралы жалпы ұғым . . . 4
- Ток трансформаторы . . . 10
- ТФЗМ ток трансформаторы . . . 13
- Қорытынды . . . 17
- Әдебиеттер тізімі . . . 18
Кіріспе
Трансформатор электр энергиясын кернеуі бойынша түрлендіруге және кернеуді реттеуге арналған электромагниттік құрылғы. Трансформатордың қажеттігі электр энергиясының оны таратқан кездегі шығынын азайту және сымдық материялды үнемдеу мақсатынан келіп туған.
Трансформаторларды құру үшін алдымен трансформатор жасалатын материялдарды зерттеп ұғыну керек болатын, мысалы:металл емес және металл, металдың магниттік қасиетін және оның жасалу теориясын білу керек еді. Ал 1831 жылы ағылшын физигі Майкл Фарадей электромагниттік индукцияны, трансформатордың электрлік жұмысын зерттеп тапты. Болашақ трансформатордың схемалық көрінісі ең алғаш 1831 жылы Фарадей мен Генридің жұмыстарында пайда болды. Бірақ кейіннен ол екі физиктің де жұмыстарында кернеу мен тоқ туралы еш бір теориялық шешімдер болмаған бірақ айнымалы тоқтың трансформация құбылысы жасалған. 1848 жылы француз механигі Г. Румкорв индукциялық ктушканы ойлап тапты және сол ктушка алғашқы трансформатордың бастамасы болды.
Трансформаторлар 1831 жылдан бастап біздің күнделікті өмірімізде үлкен орын алды. Трансформатормен біз жергілікті жерлердегі тоқ шамасын реттеп отыруға қолданамыз, онсыз қазіргі кедегі еш бір электллік техника іске жарамсыз болар еді. Соның көмегімен біз өзімізге керек етіп тұрған кернеу мен тоқты аламыз.
Қазіргі кезде біздің қолданып жүрген трансформаторлдарды бұрынғы СССР кезінде қабырғасы қаланған «Московский электрозавод» өндірісінің өнімін пайдаланамыз. Трансформаторлардың түрлері өте көп: күшейткіш тансформатор, төмендеткіш трансформатор, авто трансформатор, пик трансформатор, тоқ трансформаторы, кернеу трансформаторы, импульстік трансформатор, бөлгіш трансформатор және т. б. болып бөлінеді.
Трансформатор туралы жалпы ұғым
Айналатын бөлшектері болмауына байланысты қарамастан трансформаторлар электр машиналары катарына жатады
Олар электр индукциялық заң негізінде бір шамадағы кернеулі электр энергиясын, екінші шамадағы кернеулі электр энергиясына айналады.
Трансформаторлардың қызметі. Трансформатор кернеудің шамасын өзгеретін параметрлердің өзара электрлік байланысынсыз өзгертуге арналған электр құрылғы. Трансформаторлар электр техникасында, электроникада, автоматтандыруда, телемеханикада, байланыс құрылғыларында, теледидарда, ЭЕМ мен техниканың басқа салаларында кең қолданыс тапты.
Электр энергетикасында күш трансформаторлары елеулі орын алады. Олардың көмегінсіз электр энергиясын беру, тарату мен қолдану мүмкін емес. Электр энергиясын шығаратын көздердің кернеуі 20-30 мың Вольттан аспайды. Мұндай кернеумен электр тасымалдау желісінде (ЭТЖ), ток күшінің квадратына тура пропоционал электр шығындары ретінде жоғалады.
ЭТЖ электр энергиясының шығынын айтарлықтай төмендетуді бір мезгілде кернеуді жоғарылата отырып, ток күшін азайту арқылы іске асыруға болады.
Осы жағдайда берілетін электр қуаты S=UI өзгеріссіз күйінде қалады да, оның шығыны P=I 2 R квадраттық дәрежеде төмендейді. Энергетиканың қазіргі өркендеген кезеңінде электр қуаты миллион Вольттық кернеулермен мыңдаған километр қашықтықтарға тасымалданады. Мұндай жоғарғы кернеуді тек трансформаторлардың көмегімен ғана алуға болады
Басқа тұрғыдан алып қарағанда, жүздеген мың Вольттық кернеуді тұрғын үйлерге кіргізу, техникалық жағынан алғандамүмкңн емес.
Кернеуді жоғарлату және төмендету трансформатордың тамаша қасиетті. Егер желіге трасформатордың орам саны көп орамасын электр энергия көзіне қосса кернеуді жоғарылатады.
Трансформатор (лат. transformo - түрлендіремін) - кернеулі айнымалы токты жиілігін өзгертпей басқа кернеулі айнымалы токқа түрлендіретін статикалық электрмагниттік құрылғы. Трансформатордың жұмыс істеу принципі электро-магниттік индукция құбылысына және параметрлік эффектіге негізделген. Негізгі элементтері магнитөткізгіш және онда орналасқан бірінші реттік орамалар (БРО) мен бір немесе бірнеше екінші реттік орамалардан (ЕРО) тұрады. Трансформатордың барлық орамалары бір-бірімен индуктивті түрде, ортақ магнит өрісімен байланысқан. Бірқатар Трансформаторларда екінші реттік орама қызметін бірінші реттік ораманың бір бөлігі атқарады, мұндай Трансформаторларды автотрансформаторлар деп атайды. Бірінші реттік орамаларның шықпаларын (Трансформатордың кірісі) айнымалы кернеу көзіне, ал Екінші реттік орамаларның шықпаларын жүктемеге қосады. Бірінші реттік орамалардағы айнымалы ток магнитөткізгіште айнымалы магнит ағынын, ал Екінші реттік орамалардағы өзара индукция электр қозғаушы күш (ЭҚК) тудырады
Бірінші және екінші реттік орамалардағы кернеулердің қатынасы олардағы орамдар санының қатынасына тең болады. Түрлендіретін ток түріне қарай 1 фазалы және 3 болады. Атқаратын қызметіне қарай олар күштік немесе қоректендіру Трансформаторлары (электр энергиясын таратуға арналған), жоғары кернеулі сынақ трансформаторлары, ток немесе кернеу импульстерін түрлендіру үшін қолданылатын импульстік Трансформаторлар, үлкен токтар мен кернеулерді өлшеуге арналған өлшеуіштік Трансформаторлары, жоғары жиілікті кернеулерді түрлендіруге арналған радиожиілікті Трансформаторлар және радиоэлектрондық құрылғылардың қоректендіруші блоктарында қолданылатын , т. б. бөлінеді. Импульстік Трансформаторлар мен қоректендіру Трансформаторлары бірнеше Гц-тен 2 МГц-ке дейінгі жиілікте, радиожиілікті Трансформаторлар 500 МГц-ке дейінгі жиілікте жұмыс істейді. Трансформаторлардың магнитөткізгіштігі магниттік өтімділігі жоғары материалдардан (мысалы, электртех. болат таспаларынан, магнитодиэлектриктер мен фериттерден) жасалады. Электрмен жабдықтау жүйелерінде, негізінен майлы Трансформаторлар қолданылады. Күштік Трансформаторлар Қазақстанда Кентау трансформатор зауытында шығарылған. Қазіргі кезде электр-механикалық жабдықтар осы зауыттың негізінде құрылған Трансформатор ААҚ-да шығарылады.
Трансформатор - айнымалы токтың кернеуін жоғарылатуға немесе төмендетуге арналған электр приборы. Үй жағдайында, трансформаторды пайдаланып, электр приборын кернеуі 127 В желілен кернеуі 220 В желіге және керісінше қосуға болады. Егер трансформатор жоғары кернеулі желіге ауыстырылып қосылса, онда оны кернеуі 220 Вжеліге қосуға болмайды. Өйткені одан алынатын жоғары кернеу (380 В-тан астам) транформаторлық және ол арқылы қосылған электр приборларының бұзылуына әкеліп соқтыруы мүмкін. Трансформатор таңдаған кезде оның қуаты электр приборларын бір мезгілде қоректендіруге арналған құрал-жабдықтардың жалпы қуатынан кем болмауын есте сақтаған жөн. [3]
Әр түрлі құралдар мен қондырғылар тұтынатын кернеу өте кең диапазонда өзгереді. Тіпті бір электр қондырғысы әр түрлі кернеу пайдалануы мүмкін. Қуаттың тұрақты дерлік мәнінде айнымалы ток кернеуінің ток күшімен қатар өзгеруін айнымалы токтың трансформациясы дейді. Айнымалы токтың трансформациясын жүзеге асыратын құрал трансформатор деп аталады. Ол электромагниттік индукция құбылысының негізінде жұмыс істейді. Бұл құралды орыс ғалымы П . Н . Яблочков (1878 ж. ) ойлап тапқан, кейін оны (1882 ж. ) И . Ф . Усагин жетілдірді.
Қазіргі трансформаторлар, Фуко тогын 24-сурет азайту үшін оқшауланған пластиналардан құралған тұйық өзекшеден түрады. Өзекше пластиналары трансформаторлық болаттан жасалады, ол өте аз шығынмен оңай қайта магниттеледі. Өзекшеге екі катушка кигізіледі (2. 24-сурет) . Бір катушка айнымалы ток тізбегіне қосылады, оны біріний реттік орама (катушка) дейді. Екінші катушкаға тұтынушы, яғни электр қондырғыларын қосады. Оны екінші реттік орама (катушка) деп атайды. Катушкалардың активті кедергілері аз. Генератор бірінші реттік катушкаға
айнымалы кернеу береді. Оның бойынан жүретін айнымалы ток трансформатордың өзекшесінде айнымалы магнит ағынын тудырады. Олай болса, бірінші реттік катушканың әр орамында өздік индукция ЭҚК-і, ал екінші реттік катушканың әр орамында дол сондай индукциялық ЭҚК-і пайда болады.
Егер бірінші реттік катушканың орам саны
, ал екінші реттік катушкада
болса,
,
, мұндағы
- бір орамдағы индукциялық ЭҚК. Осы екі өрнектен
(2. 21)
шығады. Активті кедергі аз болғандықтан, бірінші реттік катушка үшін
аламыз.
Екінші реттік катушкаға жүктеме қосылмасын (2. 25, а-сурет), яғни трансформатор зая жүрісте болсын. Онда екінші реттік орамада ток жүрмейді, сондықтан жуықтап алғанда оның қысқыштарындағы кернеу
. Жүктеме жоқ кезде екінші реттік тізбекте энергия шығыны жоқ. Ал бірінші реттік тізбекте жалғаушы сымдар мен өзекшенің джоульдік жылу бөліну есебінен қызуына және өзекшенің қайта магниттелуіне кететін өте аз энергия шығыны бар, мұны ескермесе де болады. Сонымен, трансформатордың зая жүрісі үшін (2. 21) -ді ескере отырып,
аламыз, мұндағы
- трансформация коэффициенті, яғни екінші және бірінші реттік катушкалардың орам сандарының қатынасына тең шама. Трансформатордың зая жүрісінде
. Егер
болса,
трансформатор төмендеткіш, ал
болса,
, бұл трансформатор жоғарылатқыш деп аталады. Жоғарылатқыш трансформатордың бірінші реттік катушкасының орам саны екінші реттік катушканың орам санынан аз, ал төмендеткіш трансформаторда керісінше.
Екінші реттік тізбекке қандай да бір жүктеме қосайық (2. 25, ә-сурет) . Онда бұл тізбекте жиілігі бірінші реттік тізбектегі ток жиілігіне тең
айнымалы ток туады. Сондықтан екінші катушкада өздік индукция ЭҚК-і пайда болады, оның үштарындағы кернеу аздап төмендейді. Ленц ережесі бойынша өздік индукция ЭҚК-і магнит ағынын азайтады. Бұл магнит ағыны екі катушканы бірдей тесіп өтетін болғандықтан, оның азаюы бірінші реттік катушкадағы өздік индукция ЭҚК-і
-дің кемуіне әкеп соғады. Ал, онда бірінші тізбекте
кернеудің мәні тұрақты болса да ток күші артады.
Өз ретінде бірінші реттік тізбектегі ток күшінің өсуі магнит ағынының артуын тудырады, онда екінші реттік тізбектегі индукциялың ЭҚК-і мен ток күші артады. Бұдан әрі осы сипатталған процестер берілген жүктеме үшін белгілі бір магнит ағыны, екінші реттік тізбектегі индукциялық ЭҚК-і жәнө бірінші реттік тізбектегі
ток күші түракталғанша жүре береді.
Енді трансформатор генератордан өзінің зая жүрісіне қарағанда екінші реттік тізбек тұтынатын қуатқа тең қуатты көбірек алады. Егер аздаған энергия шығынын ескермесек, энергияның сакталу заңы бойынша, генератордың энергиясы бірінші реттік тізбектен екінші реттік тізбекке магнит өрісі арқылы беріледі. Сондықтан шығынды ескермей, былай жазуға болады:
, бұдан
Кернеуді неше ece арттырса, ток күші сонша есе кемиді. Қазіргі трансформаторлардың пайдалы әрекет коэффициенті
өте жоғары, ол 99%-ға дейін жетеді, яғни шығын бар болғаны 1-2%
ТОК ТРАНСФОРМАТОРЫ
Арналуы бойынша ток трансформаторы бірнеше топқа бөлінеді: өлшеуіш; қорғаныс(дифференциалдық қорғаныс үшін; жер қорғаныс үшін; және т. б) құрама (өлшеуіш және қорғаныс) ; зертханалық (нақтылы) ; аралық (екі трансформатор арасын жалғау үшін. ) және т. б.
Қондырылуы бойынша ток трансформаторы келісі топтарға бөлінеді: ішкі қондырылуы бойынша; сыртқы қондырылуы бойынша; ерекшелер үшін; өте ерекше жерлер үшін мысалға теңізде жүретін кемелерде және т. б
Ток трансформаторында бастапқы орамдарына байланысты екі топқа бөлінеді: стержінді және бірорамды; көпорамды. Стержнді ток трансформаторында бастапқы орам w 1 бірге тең және аппаратта ампер-орам қозғалуының саны A*W Н - номиналды токка тең.
Бұл трансформаторларды жоғарғы және төменгі кернеудегі құрылғыларды амперметрерді және ваттметрлердің тоқтық шарғыларын санағыштарды және тағыда басқа аспаптарды жалғауға қолданады.
Трансформатор тогының (а) принципиалды сұлбасы және оның шартты белгіленуі (б) суретте көрсетілген. Ток трансформаторының бірінші орамасы бақыланатын тізбекке (желіге) Ж1, Ж2 сығымдарымен тізбектей қосылады. Екінші орамның сығымдарына u 1 және u 2 аспаптардың токтық шарғылары жалғанады.
Ток трансформаторының екінші орамасының тарамдар саны w 2 бірінші орамның тарамдар санынан w 1 бірнеше есе жоғары болады
Ток трансформаторының трансформациялау коэффициенті деп бірінші орамның номиналды тогын I 1Н екінші орамның номиналды тогына I 12 қатынасын айтады.
Ток трансформаторында тәуелсіз шамасы ретінде бірінші кернеу емес, (күштік трансформаторлары және кернеу трансформаторлары сияқты) өлшенетін ток I 1Н болып табылады. Екінші орамның I 2Н номиналды тогы негізінен 5 А тең. Бақыланатын тізбектегі токтың нақты мәнін алу үшін амперметрдің көрсеткішін к тт көбейту қажет. Амперметрдің және басқа аспаптардың токтық шарғыларының кедергілерінің қосындысы аз болады(1 Ом-нан төмен), сондықтан трансформатор тогы қысқа тұйықталу режимінде жақын жағдайында қалыпты жұмыс істейді. Егер ток трансформаторының жұмыс істей уақытында екінші орамасын ажыратса, онда I 2 тогы нөлге тең болады, ал бірінші орамның магниттеуші күші I 1 w 1 өзгеріссіз қалады. Осыған байланысты магниттік өткізгіштегі шығынның өсуіне және оның шектен тыс қызуына әкеледі. Сонымен қатар, жоғарылаған магниттік ағын екінші орамада қызмет көрсетушілерге жіне оқшаламаның бүтіндігіне қауіпті көп мәндегі ЭҚК пайда болуына әкеледі. Сондықтан жұмыс істеп тұрған ток трансформаторының екіншк тізбекгін тұйықтауға болмайды. Кей жағдайларда жұмыс істеп тұрған ток трансформаторының аспапты ажырату қажет болған жағдайда, оны алдын ала екінші орамасын тұйықтайды. Ток трансформаторы кернеуі сияқты өлшеу нәтижелеріне трансформациялау кейбір қателіктерді енгізеді.
ІШКІ ҚОНДЫРҒЫ ҮШІН ТОК ТРАНСФОРМАТОРЫ
Катушкалы ток трансформаторы ең жай трансформатор болып табылады және көне трансформаторларға жатады. Бастапқы және қайталама орамдары катушка ретінде жасалына.
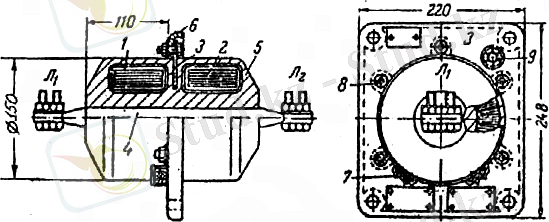
Трансформатор ТФЗМ
ТФЗМ ток трансформаторының техникалық сипаттамасы:
ТФЗМ ток трансформаторы ашып жазайық:
Т - ток трансформаторы
Ф - фарфорлық жабын
З - «звено» типті қайталама орам
М - маймен толтырылған
ТФЗМ ток трансформатор 50, 60 Гц жиілікте жұмыс істейтін электр тораптарында және автоматикада өлшегіш аспаптарға өлшенетін мәліметтер жіберуге қолданылады.
... жалғасы- Іс жүргізу
- Автоматтандыру, Техника
- Алғашқы әскери дайындық
- Астрономия
- Ауыл шаруашылығы
- Банк ісі
- Бизнесті бағалау
- Биология
- Бухгалтерлік іс
- Валеология
- Ветеринария
- География
- Геология, Геофизика, Геодезия
- Дін
- Ет, сүт, шарап өнімдері
- Жалпы тарих
- Жер кадастрі, Жылжымайтын мүлік
- Журналистика
- Информатика
- Кеден ісі
- Маркетинг
- Математика, Геометрия
- Медицина
- Мемлекеттік басқару
- Менеджмент
- Мұнай, Газ
- Мұрағат ісі
- Мәдениеттану
- ОБЖ (Основы безопасности жизнедеятельности)
- Педагогика
- Полиграфия
- Психология
- Салық
- Саясаттану
- Сақтандыру
- Сертификаттау, стандарттау
- Социология, Демография
- Спорт
- Статистика
- Тілтану, Филология
- Тарихи тұлғалар
- Тау-кен ісі
- Транспорт
- Туризм
- Физика
- Философия
- Халықаралық қатынастар
- Химия
- Экология, Қоршаған ортаны қорғау
- Экономика
- Экономикалық география
- Электротехника
- Қазақстан тарихы
- Қаржы
- Құрылыс
- Құқық, Криминалистика
- Әдебиет
- Өнер, музыка
- Өнеркәсіп, Өндіріс
Қазақ тілінде жазылған рефераттар, курстық жұмыстар, дипломдық жұмыстар бойынша біздің қор #1 болып табылады.

Ақпарат
Қосымша
Email: info@stud.kz