Асинхронды қозғалтқыштың статоры


Жоспар
- Кіріспе
- Негізгі бөлім
- Асинхронды қозғалтқыштың статоры
- Үшфазалы асинхронды электр қозғалтқыштар
- Асинхронды қозғалтқыштардың роторлары қалыпталып жасалған тісті дөңгелек жасалатын материал
- Қорытынды
Пайдаланылған әдебиеттер
Кіріспе
Үшфазалы асинхронды электр қозғалтқыштың негізгі құрылыс бөлшектеріне статор, ойықтарға орналасқан үшфазалы екі орама және тағы басқа да қосалқы элементтер. Жақсы суыну үшін оның (кіндігіне) білігіне желдеткіш орнатылып, қаңқасы көп қырлы етіп құйылған. Құрастыру, орнату, ажырату кездерінде алып-салуға қолайлы болу үшін қорабының жоғарғы жағынан ілгекті болт болады.
Асинхронды қозғалтқыштың статоры арнайы электр техникалық болаттан қалыпқа құйып жасалған тісті қаңылтырлардан жасалған, іші қуыс цилиндр, оның магнит өткізгіштігі (р), кәдімгі конструкциялық болаттан жоғары.
Статор асинхронды қозғалтқыштың қаңқасына мықтап тығыздалады. Қаңқа шойыннан немесе салмағы жеңіл арнайы қорытпалардан құйылады және жұмыс жағдайына арналған ірғетасқа немесе арнайы тірекке бекітіледі. Статорды тісті қаңылтырлардан құрастырған кезде оның ішкі бетінде белгілі пішінді ойык пайда болады.
Қаңылтырдың арасында электрлік түйіспе болдырмау үшін қаңылтырларды электр оқшауландырғыш лакпен бояйды. Осының барлығын бірге алғанда, статор болатында құйынды токтармен гистерезистен болатын электрлік және магниттік шығындарды азайтуға әкеледі, қорытындысында оның қызуын азайтады.
Үшфазалы асинхронды электр қозғалтқыштың негізгі құрылыс бөлшектеріне статор, ойықтарға орналасқан үшфазалы екі орама және 1- суретте көрсетілген басқа да қосалқы элементтер. Жақсы суыну үшін оның (кіндігіне) білігіне желдеткіш орнатылып, қаңқасы көп қырлы етіп құйылған. Құрастыру, орнату, ажырату кездерінде алып-салуға қолайлы болу үшін қорабының жоғарғы жағынан ілгекті болт болады.
1-сурет. Қысқа тұйықталған роторлы асинхронды қозғалтқыш:
а - орамасы бар статор; b - орамасы бар статор; с - айгөлек қалқаны; d - желдеткіш.
Асинхронды қозғалтқыштың статоры. Асинхронды қозғалтқыштың статоры арнайы электр техникалық болаттан қалыпқа құйып жасалған тісті қаңылтырлардан жасалған, іші қуыс цилиндр, оның магнит өткізгіштігі (р), кәдімгі конструкциялық болаттан жоғары.
Бұл айнымалы магнит өрісті статор темірінде артын магниттелуден (гистерезис) болатын шығындарды айтарлықтай азайтуға мүмкіндік береді.
Статорды қүұып жасамайды, қалыңдығы 0, 35 мм тісті қаңылтырдан жинайды, мақсаты - ол арқылы Фуко құйынды тогынын, өтуіне кедергіні көбейту.
Қаңылтырдың арасында электрлік түйіспе болдырмау үшін қаңылтырларды электр оқшауландырғыш лакпен бояйды. Осының барлығын бірге алғанда, статор болатында құйынды токтармен гистерезистен болатын электрлік және магниттік шығындарды азайтуға әкеледі, қорытындысында оның қызуын азайтады. Құйынды токтармен гистерезистен болатын әлектрлік және магниттік шығындар ақыр соңында, ПӘК-нің мөлшеріне әсер етеді. Болаттың магнит өткізгіштігі неғұрлым жоғары және қаңылтыр неғұрлым жұқа механикалық бекемдігі жеткілікті болса, соғұрлым асинхронды қозғалтқыштың шығыны аз және ПӘК жоғары болады, 98%-ға дейін және одан жоғары болады. Іштен жанатын қозғалтқыштардың бірде-бірінде мұндай көрсеткіш жоқ.
2-сурет. Асинхронды қозғалтқыш статорының ойығы:
а - ашық; b - жартылай ашық; c - жартылай жабық; d - жабық (роторлар үшін)
3-сурет. Асинхронды қозғалтқыш роторының ойықтары.
Статор асинхронды қозғалтқыштың қаңқасына мықтап тығыздалады. Қаңқа шойыннан немесе салмағы жеңіл арнайы қорытпалардан құйылады және жұмыс жағдайына арналған ірғетасқа немесе арнайы тірекке бекітіледі. Статорды тісті қаңылтырлардан құрастырған кезде оның ішкі бетінде белгілі пішінді ойык пайда болады.
Асинхронды қозғалтқыштардың статорындағы ойықтары негізінде тік бұрышты болады. Ойықтардың ашықтығына қарай олар жартылай жабық (2-сурет) қуаттылығы 100 кВт-тан төмен машиналар үшін, жартылай ашық (2. b-сурет) қуаттылығы 100 кВт-тан жоғары машиналар үшін және ашық (2. а- сурет) қуаттылығы өте жоғары машиналар үшін.
Статор фазаларының жалпы саны Z nc деп белгіленеді және полюстер мен фазаларға сай ойықтар саны деп аталатын q фаза сандары мен машиналардың полюстері арқылы байланысады.
мұндағы m 1 - статор орамасының фазалар саны;
2 р - статор орамасының полюстарының саны.
Үшфазалы қозғалтқыштар статорының ойықтарының саны жұп және алтыға еселенетін болуы тиіс, оны 1-суреттен анық көруғе болады:
7, - q ml2 р = 6lk (2)
мүндағы к = q һ р = 1, 2, 3 және т. б.
Асинхронды қозғалтқыштардың роторлары қалыпталып жасалған тісті дөңгелек қаңылтырдан құрастырылады. Қаңылтырлар гистерезис құбылысынан болатын магниттік және электрлік шығындарды азайту үшін арнайы электр техникалық болаттардан жасалып, құйынды токтың өтуіне кедергіні арттыру үшін лакпен оқшауландырылады. Ротор білікке мықтап отырғызып шпонкамен бекітіледі, ол жүктеме кезінде айналып кетпеу үшін сақтандырылады. Айналған кездегі ортадан тепкіш күштердің әсерінен, ротордың ойықтары статордың ойығынан қарағанда жабықтығы жоғары болғандықтан, оның орамаларына әсер етеді. Қысқа тұйықталған роторлар үшін ойықтың жабық түрлерінде қолдануға болады (3-сурет) . Қозғалтқыштың жұмыс кезіндегі шуын азайту және оның іске қосу сипаттамасын жақсарту мақсатында ойықты тайқылығын да (қиғаштығын) пайдаланады.
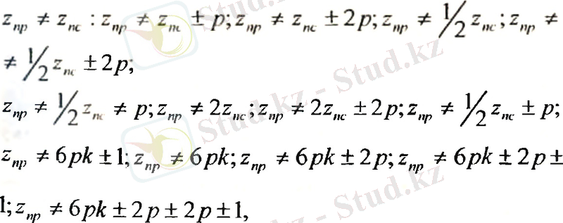
Қысқа түйықталған ротордың ойықтарының саны Z np асинхронды қозғалтқыштардың жұмысын нашарлататын зиянды сәттерді азайту үшін, статор ойықтарының санымен Z np сәйкес келуі тиіс және мына шарттар сақталуы тиіс:
сан; р - статор орамасы- ның жүп полюстері саны. Ойықтары қиғаш болса статор мен ротордың ойықтары санының қатынаста- рын таңдау кеңейеді.
Үшфазалы асинхронды электр қозғалтқыштар. Үшфазалы асинхронды электр қозғалтқыштарда статор мен ротор орамаларының бірнеше түрі, олардың ішінде тұзақты (4а-сурет), толқынды (4b-сурет) және қысқа тұйықталған (тек қысқа тұйықталған роторлар үшін) орамалар қолданылады.
4-сурет. Асинхронды қозғалтқыштың тұзықты (а) және толқынды (b) орамаларының бір орамды және екі орамды шарғылары.
Қуаттылығы кіші машиналар үшін тұзақты орамаларының бір түрі ретінде, тіркеспелі орамаларда қолданылады. Асинхронды машинаның қуаттылығына кернеуінің мөлшері мен ойықтарының пішініне қарай орамаларының түрін таңдап алады. Бір қабатты тізбекті орамалар қуаттылығы 7кВт-қа дейінгі асинхронды қозғалтқыштарда қолданылады. Қуаттылығы жоғары болса, екі қабатты тұзақты орамалар қолданылады. Толқынды орамалар негізінде, фазалық роторлы асинхронды қозғалтқыштардың роторларында қолданылады.
Орамалардың сипатталуы:
- ойықтарының санымен (т) ;
- жұп полюстарының санымен (р) ;
- параллель жұп тармақтар санымен (y) ;
- фазаның қатарлас тармақтарындағы біріне бірі тізбектей жалғанған орамдарының санымен (w) ;
- ораманың еселеуішіменК0;
К 0 = К у К р К с (4)
мұндағы К у - орамды қысқарту коэффициенті; К р - статордың бойымен фаза орамасының орамдары қалай бөлініп орналасуын ескеретін еселеуіш; К с - ротордың немесе статордың ойықтарының орналасу қиғаштығы коэффициенті.
5-сурет. Асинхронды қозғалтқыштьщ қысқа тұйықталған роторы.
Ораманың негізгі элементтері: орам, секция және шарғы. Орам (5-сурет) - ойықтарда полюстік бөлінуіне бірдей немесе одан кем қашықтықта (г) біріне-бірі жалғастырылған, орналасқан екі өткізгіштің жиынтығы.
мұндағы D - жонылған статордың ішкі диаметрі; 2 р - орама полюстерінің саны. Полюсті бөлінуді ойық саны Z nc арқылы көрсетуге болады:
(6)
Орамасының орамы құрастырылуы жағынан “ажыратылмайтын” бір өткізгіштен арнайы тұрақты пішіндегі қалыпқа оралған (ораманы дайындаудың шарғылық тәсілі) немесе “ажыратылатын” екі өткізгіштең жасалып ойыққа салғаннан кейін біріне-бірін тізбектей қосқан (ораманы өзек арқылы даярлау тәсілі) болады. Орамдарды шарғы әдісімен даярлау тек қана қимасы жіңішке сымдарды пайдаланып және қуаты кіші электр қозғалтқыштардың орамалары ретінде қолданылады. Ажыратылмайтын орамалардың орамаларын орауға арнайы орауыш машиналарды пайдаланады. Секциялық әдісімен даярланған орамалардың қуаттылығы шектелмейді. Бөлім бір-біріне тізбектей жалғастырылған бір немесе бірнеше орамдар (6-сурет) .
6-сурет. Толық қадамды орамамның бөлек алынбайтын орамы ( y=t ) ; ораманың 1- және 2- өткізгіштері.
Шарғы - ортақ оқшаулағышпен біріктірілген бір немесе бірнеше секциялау (6-8-суреттер) . Мұның бәлендей айырмашылығы жоқ. Ораманың бөлімдері өзінің қадамымен сипатталады ( у ) деп белгіленеді.
Орама шарғының қадамы жақтарының арасындағы қашықтық. Ол толық, егер у=r немесе қысқарған, егер у<r болса (5-сурет) .
7-сурет. Ортақ оқшаулағышпеп біріктірілген шарғы бөлімдерінің типтері.
8-сурст. Асинхронды қозғалтқыштың толқынды орамасының бөліктері (шарғы) .
Ораманың орамдары статордың ойықтарының бар- льщ бетіне бірдей тегіс төселеді (9-сурет) мұндайда өткізгіштер бір ойықта бір немесе бірнеше қабат болып түсуі мүмкін, осы белгілері бойынша орамалар бір қабатты және көп қабатты болып бөлінеді (әдетте екі қабатты) олар бір немесе бірнеше қатар орналасуы мүмкін. 10-суретте статор ойығына екі қабат орналасқаны көрсетілген.
9-сурет. Асинхронды қозғалтқыш статоры ойықтарында орамдардың бөлінуі
Орналасу сұлбасының нұсқаларын таңдағанда маңдайшасын, қасбетін және шарғы аралық жалғастыруда өткізгіш аз кететін шарғыны машинамен оралған ораманы ойықтарға орналастыру ыңғайлы және зақымданғаннан шарғыны ауыстыру жеңіл болатындай етіп, орналастырғанда оның бір жағы ойықтың, жоғарғы қабатына, ал екіншісі басқа ойықтың төменгі қабатында орналастырылады (10-сурет) . Екі қабатты ораманың артықшылығы оның шарғысын әлектр машинасынан тыс жерде даярлау, оларды жақсылап оқшаулау және ойыққа даяр күйінде орналастыру мүмкіндігінің болуы. Бірақ та мұндай орналастыру тек қана ойықтар ашық түрінде болғанда болады. Жартылай жабық және жартылай ашық ойықтарға бөлімнің өткізгіштерін саңылау арқылы бір-бірлеп жатқызады. Екі қабатты орамадан тағы бір артықшылығы қадамын қысқарту арқылы мыстың шығынын қысқарту мүмкіндігі. 10-суретте қадамы қысқарған екі қабатты статор орамасының орналасуы туралы мысал келтірілген.
10-сурет. Асинхронды қозғалтқыш статоры ойықтарына екі қабатпен салынған үшфазалы орама: 0 - «А»; Ч - «В»; + - «С» фазасы.
Кернеуі 500 Вольтқа дейінгі қуаттылығы 60 кВт-тан аспайтын асинхронды қозғалтқыштарда жартылай жабық ойыңтар және секциялары жұмсақ ойыққа жататын бөлімдері оқшауланған орама қолданылады. Мұндай орамалар тығындау тәсілімен төселеді. 250 кВт-қа дейінгі қозғалтқыштарға екі қабатты қатқыл катушкалы орамалар қолданылады, оларды жартылай жабық ойықтарға салады. Қуаттылығы жоғары кернеуді 500-ден 6000 Вольтқа дейінгілерде екі қабатты тұзақты орама қолданылады, олар қысқа қадамды және қатқыл шарғылы болып келеді, ашық ойықтарға орналасады.
11-сурет. Асинхронды қозғалтқыш статоры орамасы ұштарының шығатын ұштарын қалқанда орналастыру және оларды сұлбалар бойынша орналастыру: а - жұлдызша; в - үшбұрыш.
... жалғасы- Іс жүргізу
- Автоматтандыру, Техника
- Алғашқы әскери дайындық
- Астрономия
- Ауыл шаруашылығы
- Банк ісі
- Бизнесті бағалау
- Биология
- Бухгалтерлік іс
- Валеология
- Ветеринария
- География
- Геология, Геофизика, Геодезия
- Дін
- Ет, сүт, шарап өнімдері
- Жалпы тарих
- Жер кадастрі, Жылжымайтын мүлік
- Журналистика
- Информатика
- Кеден ісі
- Маркетинг
- Математика, Геометрия
- Медицина
- Мемлекеттік басқару
- Менеджмент
- Мұнай, Газ
- Мұрағат ісі
- Мәдениеттану
- ОБЖ (Основы безопасности жизнедеятельности)
- Педагогика
- Полиграфия
- Психология
- Салық
- Саясаттану
- Сақтандыру
- Сертификаттау, стандарттау
- Социология, Демография
- Спорт
- Статистика
- Тілтану, Филология
- Тарихи тұлғалар
- Тау-кен ісі
- Транспорт
- Туризм
- Физика
- Философия
- Халықаралық қатынастар
- Химия
- Экология, Қоршаған ортаны қорғау
- Экономика
- Экономикалық география
- Электротехника
- Қазақстан тарихы
- Қаржы
- Құрылыс
- Құқық, Криминалистика
- Әдебиет
- Өнер, музыка
- Өнеркәсіп, Өндіріс
Қазақ тілінде жазылған рефераттар, курстық жұмыстар, дипломдық жұмыстар бойынша біздің қор #1 болып табылады.

Ақпарат
Қосымша
Email: info@stud.kz