Ұдайы өндірістің түрлеріндегі негізгі шарттары


Мазмұны
Кіріспе . . . 5
1. Ұдайы өндірістің мәні және оның түрлері . . . 6
2. Ұдайы өндірістің түрлеріндегі негізгі шарттары
және оның сақталуы . . . 22
3. Ұлғаймалы ұдайы өндіріс және капиталдың қорлануы . . . 25
Қорытынды . . . 34
Пайдаланылған әдебиеттер
Кіріспе
Қоғамдық ұдайы өндірістің пропорциялары өндірістің әр қилы элементтері мен бөліктерінің калыптасқан арақатынасы және ұдайы өндірістік процестің жеке фазаларының, факторларының, салаларының т. б. арасындағы өзара байланыс пен өзара тәуелділікті сипаттайды. Қоғамдық ұдайы өндіріс пропорцияларының құрылуы объективті экономикалық заңдар ықпалымен қалыптасатын күрделі әрі қайшылықты экономикалык процесс. Оны орнату, ұстау, өзгерту шаруашылық тетігінің тиімді қызмет етуіне әсерлі ықпал етеді және өз кезегінде сол елдің әлеуметтік-экономикалық хал-ахуалына, өндіргіш күштерінің даму дәрежесіне, ғылыми-техникалық прогресс қарқыны мен ауқымына тәуелді. Ұлттық экономиканың құрылымы жалпы өнімнің ұлттық салалық құрылымы арқылы көрініс алады. АҚШ экономикасының салалық құрылымын мысалға келтірейік. Бірінші. Соғыстан кейінгі жылдардағы маңызды өзгеріс, өнеркәсіп пен ауыл шаруашылығының арақатынасының өзгеруі нәтижесінде сонғысының жалпы ұлттық өнімдегі үлес салмағы 3 еседей азайды. Бұл ауыл шаруашылығында енбек өнімділігінің өнеркәсіппен салыстырғанда қарқынды дамуымен байланысты мүмкін болды. Болжамдарға қарағанда, таяудағы 10-12 жыл ауыл шаруашылығында еңбек өнімділігінің қарқыңды өсу теңденциясы сақталады.
Ғылым мен техниканы ауыл шаруашылығына кеңінен енгізу, осының негізінде еңбектің қоғамдасуының өсуі ауыл шаруашылығы мен өнеркәсіп арасындағы өндірістік байланысты ұлғайтты, сайып келгенде, аграрлық-өнеркәсіп кешенінің (АӨК) құрылуын тездетті. Экономиканың базалық салаларында казіргі инвестициялық саясат негізгі күшті қолдағы қуаттарды жетілдіру мен қайта құруға бағытталған, яғни тозған өндірістік жабдықтарды жаппай жаңарту процесі жүруде. Қазіргі жағдайда өнеркәсіптің "ескі" салаларының сақталып қалуының шарты практикада ғылым мен техниканың жетістіктерін кеңінен енгізу, сондықтан ағымдық жетілдіру, модернизация, шикізат пен энергияны үнемдеу, өндіріс процестерін автоматтандыруды қамтамасыз етуге бағытталған принципті жаңа техника мен технологияны қолдану негізінде жүреді, ол болса айналмалы капиталдың элементтерін үнемдеуге, өндіріс шығындарын төмендетуге мүмкіндік береді. Мысалы, болат қорыту өнеркәсібі практикада болатты үздіксіз құю, оттегі конверторлары және электр пештері сияқты жаңа технология мен өндіріс тәсілдеріне толық көшті. Сөйтіп болат қорыту өндірісіне осы озық технологияны енгізу өндірістің техникалық базисіне үлкен төңкеріс жасады. Дәстүрлі салаларда қайта құру мен модернизациялауды жүргізудің мақсаты біріншіден, өте тиімді жабдықтарды енгізе отырып, өндіріс шығыңдарын азайту және осы саланың өнімдерінің бәсекелік қабілетін көтеру. Екіншіден, шаруашылық жүргізудің жаңа жағдайына, экономиканың жаңа құрылымына бейімдеу, мұнда жетекші рөл өндірістің ғылыми сыйымды саласына ауысады. Сонымен, құрылымдық қайта құру ең алдымен шаруашылықтың дәстүрлі салаларынын ішінде сапалық өзгерістер есебінен жүргізіледі (әсіресе саланың бөлімдері мен нақтылы өндірісте) . Бұл қайта құру жаңа ғылыми сыйымды салалар мен өнеркәсіптің ескі деклүрлі салаларының арасындагы өзара тәуелділік пен өзара байланыстылықты күшейтеді. Ал ертеректе ғылыми сыйымды өнім шығарудағы салааралық ағымдардың жаңа бағыттарының пайда болып, дамуына салыстырмалы: оқшаулық тән болатын.
1. Ұдайы өндірістің мәні және оның түрлері
Ашық экономика айналымы әлемдік шаруашылық қосылуымен қиындайды. Бұл прогрестердің үзбей қайталанып, жалғасып отыруы ұдайы өндірістің маңызын құрайды.
Ұдайы өндірістің екі түрі бар: жәй және ұлғаймалы. Жәй ұдайы өндірісте өндіріс өзгермей қайталанып отырады. Ұлғаймалы ұдайы өндірісте өндіріс жылдан - жылға ұлғайып қайталанып отырады.
Тарихта экономиканың дамуында үшінші қысқартылған ұдайы өндіріс те кездеседі. Мұндай жағдай табыс жоқтығынан немесе өндірістің дамуының қажетсіздігінен, дағдарыс немесе соғыс кезінде ұшырасады. Ұлттық экономика құрылымын қарастыруды қоғамдық өндіріс құрылымы түсінігін анықтаудан бастаған жөн. Қоғамдық өндіріс құрылымы деп отырғанымыз, аз мерзімде экономикада әр қилы факторлар ықпалымен, қоғамдық еңбек бөлінісі мен қоғамдық ұдайы өндіріс пропорцияларын сипаттайтын салалардың арақатынасы.
Қоғамдық ұдайы өндірістің пропорциялары өндірістің әр қилы элементтері мен бөліктерінің калыптасқан арақатынасы және ұдайы өндірістік процестің жеке фазаларының, факторларының, салаларының т. б. арасындағы өзара байланыс пен өзара тәуелділікті сипаттайды.
Қоғамдық ұдайы өндіріс пропорцияларының құрылуы объективті экономикалық заңдар ықпалымен қалыптасатын күрделі әрі қайшылықты экономикалык процесс. Оны орнату, ұстау, өзгерту шаруашылық тетігінің тиімді қызмет етуіне әсерлі ықпал етеді және өз кезегінде сол елдің әлеуметтік-экономикалық хал-ахуалына, өндіргіш күштерінің даму дәрежесіне, ғылыми-техникалық прогресс қарқыны мен ауқымына тәуелді.
Экономикалық процестердің арасындағы байланыс белгілі бір сандық пропорциялар арқылы көрсетілуіне қарай былайша бөлінеді:
1. Жалпы экономикалық қоғамдық ұдайы өндірістің макро құрылымының элементтерінің арасындағы сандық арақатынас (мысалы, тұтыну мен қор жинау, жалпы ұлттық өнім мен ұлттық табыс, өндіріс құрал-жабдықтары өндіріс пен тұтыну заттары, өндірісі т. б. арасындағы) ;
- Салааралыққа - қоғамдық өндірістің әр қилы салаларының сандық арақатынасы (мысалы, өнеркәсіп пен ауыл шаруашылығы, материалдық пен материалдық емес, өндіруші және өңдеуші өнеркәсіп т. б. арасындағы) ;
- Ішкі салааралыққа - сала мен өндіріс ішіндегі сандық арақатынас (мысалы, шойын мен болат, мақта-мата өндірісі т. б. ) ;
4. Мемлекетаралыққа ұлттық шаруашылықтар мен әр қилы елдердің жекелеген өндіріс салаларының сандық арақатынасы. [9]
Ұлттық экономиканың құрылымы жалпы өнімнің ұлттық салалық құрылымы арқылы көрініс алады. АҚШ экономикасының салалық құрылымын мысалға келтірейік. Бірінші. Соғыстан кейінгі жылдардағы маңызды өзгеріс, өнеркәсіп пен ауыл шаруашылығының арақатынасының өзгеруі нәтижесінде сонғысының жалпы ұлттық өнімдегі үлес салмағы 3 еседей азайды. Бұл ауыл шаруашылығында енбек өнімділігінің өнеркәсіппен салыстырғанда қарқынды дамуымен байланысты мүмкін болды. Болжамдарға қарағанда, таяудағы 10-12 жыл ауыл шаруашылығында еңбек өнімділігінің қарқыңды өсу теңденциясы сақталады.
Ғылым мен техниканы ауыл шаруашылығына кеңінен енгізу, осының негізінде еңбектің қоғамдасуының өсуі ауыл шаруашылығы мен өнеркәсіп арасындағы өндірістік байланысты ұлғайтты, сайып келгенде, аграрлық-өнеркәсіп кешенінің (АӨК) құрылуын тездетті. Соңғысы экономиканың үш саласының өңдірістік техникалық және ұйымдық шаруашылық бірлігін көрсетеді: ауыл шаруашылығы үшін өндіріс құрал-жабдықтарын өндіру саласы, ауыл шаруашылығы өндірісінің өзі, ауыл шаруашылығы өнімдерін өңдеу мен оны түпкі тұтынушыларға сату саласы. Аграрлы өнеркәсіп кешенін құру ауыл шаруашылығы өндірісін өнеркәсіптің иңдустриалды: өндірісінің бір саласына айналдыру деген сөз.
Екінші. Салалық өзгерістерді сипаттайтын бір ерекше жағдай өндіруші өнеркәсіп үлесінің азаюы. Оны былайша түсіңдіруге болады. Біріншіден, өндіру жағдайының нашарлауы, екіншіден шикізатты өңдеу дәрежесінің өсуі, үшіншіден, композициялық жаңа материалдарды игеру, төртіншіден, табиғат шикізаттарының баламасын өндіретін салалардың дамуы. Бесіншіден, өндіріс процесінде энергияны, шикізатты, материалдарды тұтынудын төмендеуі.
Үшінші, 60-жылдардан бері өнеркәсіптің үлес салмағының біртіндеп азаюы. Бұл, бір жағынан, өнеркәсіп салаларының экономикалық өсуімен, әлсіресе, ғылыми сыйымды, ал екінші жағынан, өнеркәсіп өңдірісінің базалық дәстүрлі салаларының экономикалық маңыздылығының төмендеуімен байланысты.
Төртінші. Материалдық өндірістің тиімділігінің өсуі негізінде өндірістік емес саланың рөлі артты. Мысалы, соғыстан кейінгі жылдарда АҚШ-тың ұлттық өнімінде оның үлесі 1, 3 есе артық. Өндірістік емес салада негізгі капиталды жинақтау процесі активті сипат алуда. Өндірістік емес сала қоғамдық өндірістің жеке дара саласына айналды.
Ұлттық экономиканың салалық құрылымы негізгі салалар арасында еңбекті бөлудің сандық пропорцияларымен сипатталады. Жалпы ұлттық өнімнің салалық құрылымындағы сияқты, жұмыспен қамту саласында да осы заңдылықтар байқалады, ауыл шаруашылығында қызмет ететіндер үлесі күрт қысқарады да, өнеркәсіп өндірісіндегі еңбек ететіндер үлесі артады (бұл үсітіміздегі 100 жылдықтың 60-жылдарына дейін орын алды, кейіннен төмендеді) . Еңбекті бөлудегі сандық пропорциялардың елеулісі, қызмет көрсету саласындағы жұмыс істеушілердің үлесінің артуымен байланысты 80-жылдардың орта шенінде дамыған елдердің көпшілігінде бұл көрсеткіш дәрежесі 60 процентке жетті және одан да асып түсті. [11]
Сонымен, макроэкономикалық дәрежеде құрылымдық өзгерістерді қарастырудан мынадай заңдылықтар туындайды: екінші дүниежүзілік соғысқа дейін еңбек өнімділігі өңдеуші өнеркәсіп саласында жоғары қарқынмен өсті. Бұл болса, ауыл шаруашылығында еңбек өнімділігінің басқа материалдық салалармен салыстырғанда жоғары қарқынмен дамуына негіз қалады. Қазіргі жағдайда, материалдық өндіріс салаларының интенсивті даму жолына көшуімен байланысты, өндірістік емес салада еңбек өнімділігінің қарқындырақ өсуіне жол ашылды, яғни өндірістік емес саланың ұлғаюы, тек материалдық саладағы еңбек өнімділігінің өсуі есебімен емес, сол саланың жанды және затқа айналған еңбегін үнемдеу есебінен де мүмкін болады. Осының бәрі ұлттық экономиканың тиімділігін көтерудің қажетті шарты.
Қазіргі кезеңде ұлттық экономиканың құрылымына ғылыми-техникалық революция шешуші ықпал етеді. Ғылыми-техникалық революция (ҒТР) қоғамның өндіргіш күштерін дамытуда жаңа тарихи дәуірдің бетін ашып отыр. Еңбек заттары мен еңбек құрал-жабдықтары, технология мен өндірісті ұйымдастыру революциялық өзгерістерге ұшырады. Ғылым қоғамның өндіргіш күштерінің маңызды элементтерінің біріне айналып отыр. Қоғамның басты өндіргіш күші - адамның өндіріс процесіндегі ролі мен орны түбегейлі өзгереді. Техника дамуының әр қилы тарихи кезеңдерінің критерийі атқарушы қызметтің адамнан техникаға көшуі, осыған сәйкес адамның машинамен байланысының технологиялық әдісі түбірлі өзгеріске ұшырады. Осы критерийге сай қоғамдық өндіріс дамуының былайша айтқанда, технологиялық өндіріс әдісінің дамуының негізгі кезеңдерін төмендегіше бөлуге болады:
1. Қол еңбегіне негізделген өндіріс. Бұл кезеңнің ерекше сипаты технологиялық процесте адамның техникамен байланысының күшеюінде, адам еңбек процесінің материалдық негізіне, ал еңбек құралдары оның жұмыс органдарына қуат беріп отырады.
2. Еңбек процесін механикаландыруға негізделген машина өндірісі. Еңбек процесінің материалдық негізін машина қалайды, адам оны толықтырады.
3. Автоматтандырылған өндіріс. Өндіріс процесінің материалдық негізін машина автоматтар құрайды. Адам "өндіріс қатарында" творчестволық, жасампаздық қызмет атқарады. Мұндай жағдайда өндіріс технологиясы адамның физикалық және психологиялық мүмкіндіктерімеи де шектелмейді. Бір айта кететін жай, автоматтандыру процесі өз дамуында бірнеше сатыдан өтеді, ең жайдан күрделіге, бөлшекті комплекстіге және соңғы сатысы толық автоматтандыру процесіне. Үстіміздегі жүзжылдықтың 70-жылдарының орта шенінде ғылыми-техникалық революция өз дамуында жаңа бір сатыға көшті, оның ерекшелігі микроэлектрониканың кеңінен даму алуы. Экономиканың болашақ дамуында микропроцессорларды қолданудың өндіріс нәтижесіңде қаншалықты ықпалы болатындығын есептеу қиын, дегенмен бүгіннің өзінде электронды есептеу техникаларының дамуында микропроцессорлық техника жаңа дәуірді ашып отыр. Микроэлектрониканы қолдану экономиканың барлық саласыңда орын алуда: энергетика, ауыл шаруашылығында транспортта, машина өндірісінде, автомобиль өндірісінде қызмет көрсету саласында т. б. Қазіргі өнеркәсіп роботтарын, принципиалды жаңа автомат жүйелері мен бағдарламалық басқару станоктарын жасау, осы микроэлектрониканы игеру негізінде ғана мүмкін болып отыр. Микропроцессорларды игеру өнімді жобалау саласында автоматтандыруға жол ашты. 80-жылдарда жобалауды автоматтандыру (ЖАЖ) станок шығару өндірісінде, авиация, медицина өнеркәсібінде т. б. кеңінен даму алды. Микропроцессорлар энергия тұтынуды үнемдеу мен қоршаған ортаны қорғауды қамтамасыз ету салаларында да қолданылды. АҚШ шығарған әрбір автомобиль жанар майды жұмсау мен бөлінетін газдың зияндық дәрежесіне бақылау жасау максатында микропроцессорлармен жабдықталған.
Микроэлектроника өндірісінде пайдаланатын заттардың аз мөлшерлілігі шикізат пен материалдарды едәуір үнемдеуге мүмкіндік береді, ол өз кезегінде микроэлектроникалық техника саласының өз ішінде және оны қолдау негізінде өндірілетін өнімдер бойынша өндіріс шығындарын азайтады. Белгілі деректерге сүйенетін болсақ аз уақыттың ішінде бір микропроцессордың құны 80-90 долларға дейін кеміген. Осының барлығы микроэлектроника өнеркәсібі өндірісі мен өнімдерінің тұтыну дәрежесінің тез әрі тұрақты өсуін қамтамасыз етті. Микроэлектрониканың ерекше жоғары қарқынмен дамуы АҚШ-та орын алып отыр. Әлемдік рынокта микроэлектроника өнімдерінің бәсеке қабілеттілігін қамтамасыз ету мақсатымен мемлекет фирмаларға үлкен көмек көрсетуде. Ресми деректерге қарағанда микроэлектроника саласы бойынша ғылыми зерттеулерді қаржылаңдыру көлемі 500 млн. долл. асқан.
Микроэлектрониканы кеңінен пайдалану автоматтандыру процестеріне үлкен ықпал етеді, материалдық өндіріс пен материалдық емес салада өндірістік және басқару процестерін комплексті автоматтавдыруға көшіру мүмкіндігін береді. Кең көлемде жай қол еңбегін ғана айырбастау мүмкіндігін берген бүрынғы автоматтандыру сатысынан мұның айырмашылығы күрделі интеллектуалды еңбекті микроэлектроника арқылы жоғары дәрежелі автоматтандыру жүйесімен алмастыруға негіз қалады. Шын мәнінде технологиялық өндіріс әдісінің қалыптасуы жүріп жатыр, оның ерекше сипаты мыналар:
-өндіріске принципиалды жаңа технологияны енгізу, өндіріс процесіне үлкен икемділік, тез өзгеріп тұратын өндірістік және жеке қажеттіліктерге бейімделу мүмкіндігін береді. Микроэлектрониканы кеңінен қолдану мен тарату көптеген материалдық жэне еңбек шығындарын үнемдеп, комплексті автоматтандыруға көшуге жағдай туғызады; өндірістің ғылыми сыйымдылық дәрежесін күрт көтереді. Тұтас алғанда экономика жағдайына үлкен ықпал ететін циклды факторлардан тәуелсіздігі аз, жоғары тұрақтылықты сипаттайтын жоғары технология салалар кешенін пәрменділікпен дамыту үлкен маңызға ие болады;
ақпараттық саланын рөлі мен маңызының өсуі әр қилы электронды-есептеу техникалары өндірісі мен оны бағдарламамен қамтамасыз ету, сол сияқты ақпаратты жинақтап, өңдеуді де қамтиды; қоғамдық өндірісте адамның рөлі мен маңызының өзгеруі, еңбектің күрделілігінің көп көлемде өсуі, жиынтық жұмыс күшінің сипаттамасында салалық өзгерістердің орын алуымен байланысты адам факторының маңыздылығы артады. [4]
Енді дамыған елдердің қоғамдық өндірісіндегі құрылымдық өзгерістердің қазіргі тенденциясын қарастыруға көшелік, ол барынша жоғары дәрежеде ғылыми-техникалық революцияның дамуымен сипатталады. Бұл мыналармен байланысты, біріншіден, ғылыми-техникалық прогресс жетістігі, принципиалды жаңа технологиялар, осымен байланысты ұлттық экономикаиы қайта құруды талап етеді. Екіншіден, салалық құрылымдағы интенсивті қозғалыс пен өзгерістер ғылыми-техникалық жетісгіктердің қолдану дәрежесін, қоғамның өндіргіш күштерінің дамуышының объективті қажеттілігі дәрежесінін көрсеткіші. Қазіргі кезде ғылым мен техниканың дамуының негізгі бағыты экономиканы "қайта индустрияландыру" ол болса бүкіл коғамдық өңдірісті одан әрі интенсивтенуді мына негізде қамтамасыз етеді: өндірісті принципиалды жаңа ресурстар мен энергияны үнемдейтін, әрі экологиялық тұрғыдан таза технология негізінде қайта құру, өндірілетін өнімдер мен өндірістін техникалық-экономикаяық параметрінің сапасын жақсарту, өнеркәсіптің ғалымды көп қажет ететін салаларын одан әрі дамыту және олардың жалпы ұлттық өнімдегі үлесін көтеру, ғылым мен техниканың соңғы жетістіктерін екгізу жолымен өндірістік емес саланы индустрияландыру. Алға қойылған міңдеттерді практикалық тұрғыдан шешу жолы мемлекетгің экономикалық саясатын, ен алдымен инвестициялық саясатының икемділігіке тәуелді. Кейнсиандық модель жалпы ұлттық өнімнің өсу қарқынын тездетуге бағытталған мемлекеттің экономикалық процестерді реттеуге белсенді араласуын қолдайды. Мұндай жағдайда мемлекеттің инвестициялық саясаты күрделі қаржы көлемін сандық тұрғыдан өсіру арқылы өндіріс көлемін ұлғайтуға бағытталады. Жаңа классикалық теориянын кейнсиан концепциясынан айырмашылығы, мемлекеттің экономикаға араласуы рынок қызметіне қолайлы жағдайлар туғызумен шектелу керек деп есептейді. Жаңа классикалық көзқарастардың негізін ұсыныс теориясы құрайды, дамудың басты мақсаты өндірістің сандық өсіміңде емес, оның тиімділігін арттыру-да, ең алдымен максималды пайда табу жолында. Жаңа классиктердің теориялық тұжырымдары АҚШ-та "рейганомика", Ұлыбританияда "тэтчеризм*" деген атнен мемлекеттік саясатында практикалық шешім тапты. Бұл саясат рыноктық тетікке арқа сүйек отырып, капитал мен жұмыс күшінің салааралық ауысуы белсендірек болады, экоиомиканы құрылымдық қайта қүру мүдделілігі, қоғамдық өндірісті интенсивтендіру қамтамасыз етіледі. Бір айта кететін жай, қазіргі эксномиканы қайта құрудың мәні сандық өлшемдерді өзгертуде емес, сапалық көрсеткіштерді жаңа сатыға көтеруде.
Ұдайы өндіріс тәсімінің кибернетикалық талдамы мен түсіндіруін қарайық. Ең алдымен біз халық шаруашылығын бөлінбейтін бүгін деп көрсетіп, содан кейін ондағы екі бөлімшені ескереміз және, ең соңында, бұл мәселені, шаруашылық салаға бөлінеді деп, жалпы түрде қарастырамыз.
X жалпы табысының күндық шамасы үш қосылғыш ретінде анықталуы мүмкін
(1)
мұнда
мұнда с~Х~ өнімін жасауға қажетті өндіріс құрал -жабдықтарының шығыны, v +т -нақты еңбек шығыны.
(2)
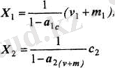
Өндіріс құрал - жабдықтары мен нақты еңбектің шығын коэффициентін еңгіземіз:
Онда 1-ден аламыз
немесе (3)
бұдан
Құн жасау үрдісін сипаттайтын (З) -формуладан көрінетіні бұл үрдісте кейбір кері байланыс орын алады (1-сурет)
сурет 3
Құн жасау үрдісі
1-суреттен нақты еңбек ү+т Х өніміне түрленетіні шығады, әрі бұл 1 символымен белгіленетін тепе-тең түрлендіру. Реттелетін жүйеге үйлесімдік а с операторымен реттегіш қосылған сияқты; оның бар болуы өндіріс құрал-жабдығына шығынды өтеуге X өнімнің бөлігі кететіндігімен түсіндіріледі.
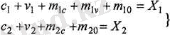
Шаруашылық екі бөлімшеден тұрсын делік:
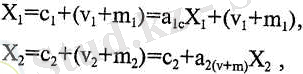
1 бөлімше (өндіріс -құрал жабдығын өндіру) және 2 бөлімше (тұтыну заттарын өндіру) . Жеке бөлімшелердің жалпы өнім көлемін анықтайтын формулалар мыналар :
(4)
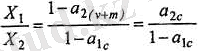
мұнда а 1с -1~бөлімшедегі өндіріс кұрал-жабдығы шығыны коэффициенті, а 2(v+m) 2-бөлімшедегі нақты еңбек шығыны коэффициенті.
Жай ұдайы өндіріс үрдісінің тепе-тендік шарты белгілі:
(5)
сурет4
Өндіріс құрал-жабдығының кұны
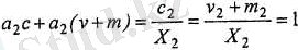
Бұл 2-бөлімшесінің 1-шіден алатын өндіріс құрал-жабдығының кұны, яғни V1 +т г , 2-бөлімшеден 1-ге берілетін (с2) тұтыну заттарының кұнына тең болуы керек. (4) -ден:
(6)
(5) -ті ескеріп және
өрнегінен
(7)
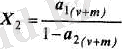
шығады. Бұдан
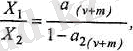
Бұл тәсімге келесі экономикалық пайымдау беруге болады.
Біз Х 2 тұтыну заттарын өңдіргіміз келеді делік және жай ұдайы өндіріс үрдісін қолдау үшін өндіріс құрал-жабдығының қандай мөлшері қажеттігі туралы мәселе қоямыз. Х 2 тұтыну заттарын өндіру үшін с 2 =а 2 сХ 2 өндіріс құрал -жабдығына ие болу керек, мұндағы а 2 с 2-бөлімшедегі өңдіріс құрал-жабдығына шығынның коэффициенті. Алайда с 2 = а 2с Х 2 өндіріс кұрал-жабдығын өндіру үшін тағы да белгілі мөлшерде өңдіріс құрал-жабдығы қажет. Сондықтан а \ с = V" операторымен кері байланыс қосамыз.
сурет5
(7) -ге ұқсас алатынымыз:
(8)
бұдан
Х г өндіріс құрал-жабдығын өндіру жоспарлансын және бұл жоспарды орындау үшін тұтыну заттарының қандай саны қажеттігін тағайындау қажет. Х1 өндіріс құрал-жабдығын өндіру үшін V, +т1-а1 (v+m) х1 тұтыну заттарының мөлшеріне ие болу керек. Бірақ өз кезегімен, бұл тұтыну заттарын шығару үшін тұтыну заттарының қосымша саны қажет. Сол себепті реттеу жүйесінде кері байланыс және 2-бөлімшедегі нақты еңбек шығыны коэффициентіне тең операторымен реттеуші жүйе пайда болады. Бағаға байланысты туындайтын тұрғындардың шығынын өтеу үшін мемлекеттік немесе жергілікті бюджет тарапынан дотация берілуі қажет.
Маркстің кеңейтілген ұдайы өндіріс тәсімі мына түрде берілген:
(9)
Бұл формулалардың бірінші бөлігіндегі т с және т2у , өндіріс құрал-жабдығының санын ұлғайтуға және өндіріске қосымша жұмыс кұшін тартуға бағышталған 1-бөлімшенің қосымша өнімі құнының бөліктерін белгілейді . Ал т1о- 1- бөлімшенің өндіріс шеңберінде тұтынылатын қосымша өнім құнының бөлігі (өндірістік емес тұтыну) . т іс , т 2у және т 20 шамалары осыған ұқсас анықталады.
(9) -формуланың сол жағын мына түрде топтау ыңғайлы:
Бірінші формуладағы с1+т10 қосындыны 1-бөлімшенің өңдіріс құрал-жабдығындағы жалпы қажетсінуді белгілейді, ал v1+m1v+m10- қосындысы 1 -бөлімшенің тұтыну заттарына жалпы қажетсінуі.
Кеңейтілген ұдайы өндіріс тепе-теңдігінің шарты:
ол 2-бөлімшенің өндіріс құрал-жабдығына қажетсінуі с г +т 2сі 1-бөлімшенің тұтыну заттарыңдағы жұмыспен қамтылған жұмыскерлер үшін және жұмыс күшінің өнімі v1+т1 и , сонымен қатар өндірістік емес шеңбердегі түгынудағы т 10 қосымша өнім бөлігіне тең болады .
... жалғасы- Іс жүргізу
- Автоматтандыру, Техника
- Алғашқы әскери дайындық
- Астрономия
- Ауыл шаруашылығы
- Банк ісі
- Бизнесті бағалау
- Биология
- Бухгалтерлік іс
- Валеология
- Ветеринария
- География
- Геология, Геофизика, Геодезия
- Дін
- Ет, сүт, шарап өнімдері
- Жалпы тарих
- Жер кадастрі, Жылжымайтын мүлік
- Журналистика
- Информатика
- Кеден ісі
- Маркетинг
- Математика, Геометрия
- Медицина
- Мемлекеттік басқару
- Менеджмент
- Мұнай, Газ
- Мұрағат ісі
- Мәдениеттану
- ОБЖ (Основы безопасности жизнедеятельности)
- Педагогика
- Полиграфия
- Психология
- Салық
- Саясаттану
- Сақтандыру
- Сертификаттау, стандарттау
- Социология, Демография
- Спорт
- Статистика
- Тілтану, Филология
- Тарихи тұлғалар
- Тау-кен ісі
- Транспорт
- Туризм
- Физика
- Философия
- Халықаралық қатынастар
- Химия
- Экология, Қоршаған ортаны қорғау
- Экономика
- Экономикалық география
- Электротехника
- Қазақстан тарихы
- Қаржы
- Құрылыс
- Құқық, Криминалистика
- Әдебиет
- Өнер, музыка
- Өнеркәсіп, Өндіріс
Қазақ тілінде жазылған рефераттар, курстық жұмыстар, дипломдық жұмыстар бойынша біздің қор #1 болып табылады.

Ақпарат
Қосымша
Email: info@stud.kz