Сызықтық алгебра элементтері


Жұмыс түрі: Курстық жұмыс
Тегін: Антиплагиат
Көлемі: 23 бет
Таңдаулыға:
Мазмұны
Кіріспе . . . 2
I. Сызықтық алгебра элементтері . . . 4
1. 1 Тиімді шешім іздеудің негізгі түсініктері . . . 4
1. 2 Тиімді шешім іздеудің әдіс - тәсілдері . . . 5
II Кесте әдісі және Delphi программалау ортасы . . . 9
2. 1 . Delphi программалау ортасы . . . 9
2. 2 Кестелік әдіс . . . 13
ІІІ. Кестелік әдіспен шешу қосымшасы . . . 19 3. 1 Қосымша құрылымы . . . 19
3. 2 Қолданушыға нұсқау . . . 22
Қорытынды . . . 23
Пайдаланылған әдебиеттер . . . 24 Қосымша
Кіріспе
Қазіргі кезде сызықтық алгебралық теңдеулер жүйесін әртүрлі дәрежеде қолданбайтын ғылыми салалары жоқ. Сызықтық теңдеулер жүйелері экономикалық зерттеулерде, оптималдық экономикалық есептерде қалыптастырып, тәжірибе жүзінде шығаруда айрықша қолданылады. Бұл жерде сызықтық бағдарламалау курсының әмбебап кесте әдісі сызықтық теңдеулер жүйесін шешу әдістеріне және оның ішінде айнымалылардың теріс емес мәндерін ерекше бөлектеп шешетін әдістеріне негізделгені туралы алдын ала айтып кеткеніміз жөн. Сондықтанда осы бөлім, кесте әдісінің алгоритмінің теориялық негізін баяндауға арналған. Сызықтық теңдеулер жүйесін шешу үшін қолданылатын орнына қою (айнымалыларды бірінен кейін бірін қысқарту) тәсілі және алгебралық қосу тәсілі, сызықтық теңдеулер жүйесінің қасиеттері, сонымен қатар жүйедегі теңдеулердің біріккендігі туралы анықтаулар курстық жұмыста қарастырылады.
Курстық жұмыстың мақсаты мен міндеттері:
- Болашақта студенттерге білім беруде Delphi программасын кеңінен қолданылуына жол ашу, маңыздылығын анықтауға үлес қосу;
- Delphi программасына қойылатын талаптарды қарастыру, зерттеу;
- Білім беруде олардың алатын орнын анықтау;
Курстық жұмыстың құндылығы:
- Бағдарламаның студенттерді өз бетімен жұмыс жасауға дағдыландыру, ойлау қабілеттерін дамыту мақсаттарына бағытталуы;
- Бағдарламаның қолдануға тиімділігі, қарапайымдылығы.
Курстық жұмыстың құрылымы:
Курстық жұмыс кіріспеден, үш тараудан және қорытындыдан, әдебиеттер тізімінен, қосымшадан тұрады.
Бірінші тарауда тиімді шешім іздеу туралы жалпы түсініктер мен тиімді шешім іздеудің әр түрлі әдіс - тәсілдері қарастырылады.
Екінші тарауда Delphi. программалау ортасы туралы негізгі түсініктер мен Кесте әдісі қарастырылады.
Үшінші тарау курстық жобаның негізгі өзегі - Delphi. программасында құрылған кестелік әдіс арқылы теңдеулер жүйесін шешу программасы қарастырылады.
І. СЫЗЫҚТЫҚ АЛГЕБРА ЭЛЕМЕНТТЕРІ
1. 1. Тиімді шешімді іздеудің негізгі түсініктері
Тиімді шешім табу мәселесімен ежелгі заманда-ақ оқымысты адамдар айналысқан болатын. ХYІІ- ХYІІІ ғ-ң ұлы ғалымдарының көпшілігі тиімді шешуді табумен айналысып қана қоймай, табылған әдістерді геометрия, механика, физика т. б. ғылымдардың саласында қолдана білді.
Мысалы, атақты ғалым Евклид берілген нүктемен берілген шарлардың қиылысуынан пайда болатын кесінділердің ең үлкен және ең кіші ұзындықтарын табу жолын анықтап берді. Тиімді шешімдарді табу есептеріне: берілген қорды дұрыс пайдалана отырып, өндірісті қалай ұйымдастырғанда көп өнім алуға қол жеткіземіз, жол қатынастары жұмыстарының шығынын қалай азайтуға болады, тиімді рацион жасау қалай жүзеге асырылады және т. б. Бұл есептердің Евклид есебінен көп айырмашылығы бар. Себебі, бұл есептерді шешудің өзгеше әдістері болуы мүмкін. Мұндай әдістердің кеңінен таралған түрі - математикалық программалау әдістері.
Сонымен тиімді шешім дегеніміз не? (Ауызша түсіндіру. Киім кию әдістері. ) айталық 7 киімді киюдің варианты 5040-қа тең, яғни 7*6*5*4*3*2*1=5040. Тиімді шешімді табу үшін алдымен алдымызға мақсат қоюымыз керек. Бұл мақсатты математика тілінде жазу үшін мақсат функциясы деген ұғым енгізуге тура келеді. Сонымен, әр түрлі вариантқа сәйкес мақсат функциясының мәнін тауып, оларды салыстыра отырып, ішінен ең кішісін таңдау. Бұл сияқты біртіндеп таңдау әдісін қарастыратын варианттардың өте көптілігіне байланысты олар әр уақытта ең тиімді шешім болмауы да мүмкін. өйткені ең жақсы деп тапқан шешімнен де жақсы шешім табылып қалуы мүмкін. Міне, осындай жағдайлардан құтылу үшін берілген есепті математикалық программалау әдісімен шешу қажет. Себебі, бұл салада табылған шешімнің тиімді шешім беретіндігі математикада дәлелденген.
Есепті толық шешу үшін мақсат функциясымен қатар шешімді табу шарттары берілуі қажет.
Берілген шарттарды орындайтын мақсат функциясының ең үлкен (ең кіші) мәнін берілген есепті тиімді шешімі деп атайды.
1. 2 Тиімді шешімді іздеудің әдіс тәсілдері
Гомори әдісі («Кесіп тастау» әдісі)
«Кесіп тастау» әдісінің мәнісі сызықтық бағдарламалау есебінің шешімі бола алатын аймақ (ШБА) құрайтын көп бұрыштығ координаты бүтінсандар болмайтын төбесін тесіп тастауында. Бұл кезде координаттары бүтінсандар болатын барлық нүктелер (ШБА) да жаңа көп бұрышта қалады. Бірнеше әрекеттен кейін мұндай нүктелер шеткі төбелерге жетеді де координаттары бүтін санды төбелердің біреуінде бүтінсанды оптималды жоспар алынады.
Кесіп тастау әдісінің идеясы бойынша: (7. 1) -(7. 4) есептің (7. 4) шарты алынып тасталады да (7. 1) -(7. 3) есебі шығарылады.
Егер (7. 1) -(7. 3) есебінің оптималды шешімінде Х * белгісіздерге қойылған олардың бүтінсан болу талабы орындалса, онда ол шешім бастапқы (7. 1) -(7. 4) есебінің де шешімі бола алады.
Егер оптималды Х * шешімде бүтінсан болу талабы орындалмаса, онда шектеулер жүйесіне қосымша сызықты шектеу енгізіледі. Бұл шектеу (7. 1) -(7. 4) есебінің барлық талабын қанағаттандырады, ал оптималды Х * шешімді қанағаттандырмайды деп есептелінеді. Сөйтіп, қосымша сызықты шектеудің гипер жазықты оптималды шешімді (Х * ) есептің (7. 1) -(7. 4) бүтінсанды жоспарынан «кесіп тастайды» делінеді.
Гипер жазықтық (7. 1) -(7. 4) есептің шартына қосылады да, бүтінсанды - сызықтық бағдарламалау есебі алынады. Есеп жоғарыдағы келтірілген амалдармен қайтадан шығарылады.
Тезқұлдилау әдісінің алгоритмі:
1 - қадам:
бастапқы нүктесін таңдау және
дәлдігін беру.
2 - қадам:
немесе
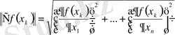
, мұндағы
анықтау.
3 - қадам:
шартын тексеру. Егер шарт орныдалса, онда
- оптимальді шешім болады.
Орындалмаса 4-қадамға өтеміз.
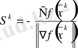
4 - қадам.
қадамын төмендегі есептің шешімінен анықтаймыз.
.
5 - қадам. Жаңа шешімді анықтаймыз.
6 - қадам.
деп алып, 2-ші қадамға өтеміз.
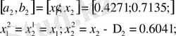
Есеп:
есебін тез құлдилау әдісімен шешіңдер.
Шешуі:
1-ші қадам:
2-ші қадам:
функциясын қолданып есептейміз.
Алтын қима әдісі.
Есеп:
дәлдікпен [0, 25, 1] кестесінде
функциясының
меншікті минимум нүктесін алтын қима әдісімен тап.
Шешуі: Бірінші қадамның минимальді санын анықтаймыз. Ол үшін мына теңсіздікті қолданамыз:
Әрі қарай есептеулер жүргіземіз:
(І жағдай)
(ІІ жағдай)
(ІІІ жағдай)
(І жағдай)
(ІІ жағдай)
Жауабы: минимум нүктесі
.
1)
2)
3)
[-2, 0] [-2, -1]
ІІ. КЕСТЕЛІК ӘДІС ЖӘНЕ DELPHI ПРОГРАММАЛАУ ОРТАСЫ
2. 1 Delphi программалау ортасы
Қазіргі жағдайда Delphi бағытталған прораммалау ортасы (объективно - ориентированного) кең тараған программалық пакеттердің бірі болып табылады. Олардың негізі болып -OBJECT PASKAL тілі қалыптасқан. Ол әр түрлі дәрежелі қиындықты қосымшаларды өңдеп құруға, профессионалдық және ең қарапайым программа құруға мүмкіндік береді. Сонымен қатар ДҚ жұмыстарында орындайды және толық мүмкіндік береді. Программалау аймағында жәй бастауыш қолданушыдан, кәсіп қой специфелистер де осы программалау ортасын меңгерген.
Сипаттау көлемі болу үшін Delphi 7 интерфейсінің құрамдас мыналармен ерекшеленеді: қосымша функциялар қосылады, қолданушы интерфейсі өзгертіледі және т. б. сол сияқты. Бұларда Delphi ортасына тікелей қатысты. Әрине, қолданушыға қызықты өнім түрлерінің айырмашылықтары және жаңа түрін саты алудың қажеттілігі бар ма? Жоқ па? Сонымен қатар оны меңгеру уақыты қажет пе? Delphi 6 мен Delphi 7 интегралдық ортасының бірнеше айырмашылықтарын атап өтейік.
- Қазір OBJECT PASKAL программалау тілінде динамикалық массив қолдануға болады.
- Келісім бойынша программалау параметрлерін беру.
- Қолданушы интерфейсі жақсарған.
- Редактор коды енгізілген, гиперссылкаларды құруды қамтамасыз етеді.
- Визуалды компоненттер кітапханасы кеңейтілген.
- Жалпы басқару элементтері жаңартылған.
- WEB -пен жұмыс жасау үшін компоненттер қатары кеңейтілген.
- Жаңа компоненттер енгізілген.
- Сурет салуда қолданылатын бір қатар қолданушылық жағдайлар
қосылған
- WINDOWS басқару тақтасын құру үшін объектілер енгізілген.
- ACTIVE X жаңа элементтері пайда болды.
- ДК құру мүмкіндіктерінің кеңейюі.
- ДҚ процессоры ACCESS 97 мен ORACLE 8 -бен жұмысты ұйымдастырады.
- Өңдеу интегралдық ортасы өзгертілген.
- Проект менеджері мүмкіндігі кеңейтілген.
То - do list тізімі түсінігі енген.
![]()
Delphi 7 ортасы туралы негізгі түсініктер
Delphi ортасы программист жұмысын қамтамасыз ететін күрделі механизм. Delphi - де қолданбалы программаларды құру, интегралдық ортада IDE (Integrated Enviroment) өңдеу.
IDE программист пен ара қатынасты ұйымдастырады және ол әртүрлі басқару элементтерінен тұратын бірнеше терезелерден тұрады. Delphi - ді IDE арқылы программаны проектілеуге сонымен бірге программа кодын жазуға және оны басқару элементімен байланыстыруға болады. Delphi - де IDE көп терезелі жүйені көрсетеді.
Delphi ортасынын негізгі терезелері
Негізгі терезе (Delphi 7 - Project)
- Объектілер инспекторының терезесі (Object inspector)
- Форма конструкторының терезесі (Ғоrm 1)
- Кодтар редакторының терезесі (Unitl. Pas)
Негізгі терезеде
- негізгі меню
- инструменттер панелі
- компоненттер палитрасы орналасқан
Негізгі менюде Delphi функцияларын іске қосу командалар жиыны бар. Панель инструменті негізгі терезенің сол жағында негізгі менюдің астында орналасқан, көп қолданған негізгі меню командаларын шақыратын он бес батырма енеді. Мысалы, file / open (файл / открыть) немесе Run / Run (выполнение / выполнить) .
Негізгі менюдің көптеген командаларын пернелер жиынымен де шақыруға болады. Мысалы, Run / Run командасын Ғ9 пернесі арқылы, ал View / Units (просмотр / модуль . . . ) -Ctrl+F 12 пернелері арқылы шакырамыз. Барлығы бес панель инструменті бар:
- Standart - (стандартная)
- View - (просмотр)
- Debook - (откладка)
- Sustem - (пользователь)
- Desktop - (жұмыс столы)
Инструменттер панелін және негізгі менюді қалыптау мүмкіндігін Customize (настройка) қарым-қатынас терезесінің көмегімен жасауға болады.
Компоненттер палитрасы негізгі терезесінің оң жағында негізгі менюдің астында орналасқан және оған құрылған формалардын компоненттер жиыны енеді.
- Standart
- Additional
- Win 32-32 Windows
- System
- Data Access - BDE
- Fast Net - internet желісіне протоколдарды қамтамасыз ету
- Q report-есеп беруді кұру
- Dialogs- стандартты қарым-қатынасты терезесін құру
- Win 3. 1 - интерфейс Windows 3. x
11. Samples- мысал ретінде қолданулар
12. ActiveX-компоненттері ActiveX
13. Servers- жалпы СОМ серверлер үшін VCL қабықшасы
Негізгі терезе
Delphi -де тек қана уақытта бір проектімен жұмыс жасауға болады. Проекті негізгі терезе тақырыбында жазылады. Негізгі терезеде мыналар орналасқан.
- Негізгі меню
- Саймандар тақтасы
- Компоненттер палитрасы
... жалғасыНегізгі менюде Delphi -дегі формалардың орындау командасына тұратын жинақтар жиыны. Саймандар тақтасында негізгі менюдегі жиі қолданылатын командаларды шакыруға арналған түймешелер орналаскан.
- Іс жүргізу
- Автоматтандыру, Техника
- Алғашқы әскери дайындық
- Астрономия
- Ауыл шаруашылығы
- Банк ісі
- Бизнесті бағалау
- Биология
- Бухгалтерлік іс
- Валеология
- Ветеринария
- География
- Геология, Геофизика, Геодезия
- Дін
- Ет, сүт, шарап өнімдері
- Жалпы тарих
- Жер кадастрі, Жылжымайтын мүлік
- Журналистика
- Информатика
- Кеден ісі
- Маркетинг
- Математика, Геометрия
- Медицина
- Мемлекеттік басқару
- Менеджмент
- Мұнай, Газ
- Мұрағат ісі
- Мәдениеттану
- ОБЖ (Основы безопасности жизнедеятельности)
- Педагогика
- Полиграфия
- Психология
- Салық
- Саясаттану
- Сақтандыру
- Сертификаттау, стандарттау
- Социология, Демография
- Спорт
- Статистика
- Тілтану, Филология
- Тарихи тұлғалар
- Тау-кен ісі
- Транспорт
- Туризм
- Физика
- Философия
- Халықаралық қатынастар
- Химия
- Экология, Қоршаған ортаны қорғау
- Экономика
- Экономикалық география
- Электротехника
- Қазақстан тарихы
- Қаржы
- Құрылыс
- Құқық, Криминалистика
- Әдебиет
- Өнер, музыка
- Өнеркәсіп, Өндіріс
Қазақ тілінде жазылған рефераттар, курстық жұмыстар, дипломдық жұмыстар бойынша біздің қор #1 болып табылады.

Ақпарат
Қосымша
Email: info@stud.kz