Синусоидалы айнымалы ток тізбегіндегі есепті шешу


Мазмұны
1. Кіріспе
2. Жалпылама бөлім
- Айнымалы ток негізі.
- Айнымалы токтың өндірілуі .
- Айнымалы токтың таралуы және түрленуі.
- Айнымалы ток тізбегіндегі қуат.
- Ток күші мен кернеудің әсерлік мәндері
- Электрлік шамаларды өлшеу құралдары.
3. Есептік бөлім
3. 1. Транзиторлы күшейткіш каскадтың графоаналитикалық есебі
Қортынды
Пайдаланған әдебиеттер тізімі
Кіріспе
Айнымалы ток , кең мағынасында - бағыты мен шамасы периодты түрде өзгеріп отыратын электр тогы. Ал техникада айнымалы ток деп ток күші мен кернеудің период ішіндегі орташа мәні нөлге тең болатын периодты ток түсініледі. Айнымалы ток байланыс құрылғыларында (радио, теледидар, телефон т. б. ) кеңінен қолданылады.
Ток күші (және кернеу) өзгерісі қайталанатын уақыттың (секундтпен берілген) ең қысқа аралығы период ( Т ) деп аталады (1-сурет) . Айнымалы токтың тағы бір маңызды сипаттамасы - жиілік (ƒ) . Дүние жүзі елдерінің көпшілігіндегі және Қазақстандағы электр энергетикалық жүйелерде пайдаланылатын стандартты жиілік - 50 Гц, ал АҚШ-та 60 Гц. Байланыс техникасында жиілігі жоғары (100 кГц-тен 30 ГГц-ке дейін) айнымалы ток пайдаланылады. Арнайы мақсат үшін өндіріс орындарында, медицинада және ғылым мен техниканың басқа салаларында әр түрлі жиіліктегі айнымалы ток, сондай-ақ импульстік ток қолданылады. Ток кернеуін кемітпей түрлендіруге болатындықтан іс жүзінде айнымалы токты электр энергиясын жеткізуде және таратуда кеңінен пайдаланады.
- Айнымалы токтың өндірілуі.
Айнымалы ток айнымалы кернеу арқылы өндіріледі. Ток жүріп тұрған сым төңірегінде пайда болатын айнымалы электрлі магниттік өріс айнымалы ток тізбегінде энергия тербелісін тудырады, яғни энергия магнит немесе электр өрісінде периодты түрде бірде жиналып, бірде электр энергиясы көзіне қайтып отырады. Энергияның тербелуі айнымалы ток тізбектерінде реактивті ток тудырады, ол сым мен ток көзіне артық ауырлық түсіреді және қосымша энергия шығынын жасайды. Бұл - айнымалы ток энергиясын берудегі кемшілік. Айнымалы ток күші сипаттамасының негізіне айнымалы токтың орташа жылулық әсерін, осындай ток күші бар тұрақты токтың жылулық әсерімен салыстыру алынған. Айнымалы ток күшінің осындай жолмен алынған мәні әсерлік мән (немесе эффективтік) деп аталады әрі ол период ішіндегі ток күші мәнінің математикалық орташа квадратын көрсетеді. Айнымалы токтың әсерлік кернеу ( U ) мәні де осы сияқты анықталады. Ток күші мен кернеудің осындай әсерлік мәндері айнымалы токтың амперметрлері және вольтметрлері арқылы өлшенеді.
- Айнымалы токтың таралуы және түрленуі.
Айнымалы токтың үш фазалық жүйесі жиі қолданылады. Тұрақты токқа қарағанда айнымалы токтың генераторлары мен қозғалтқыштарының құрылымы қарапайым, жұмысы сенімді, мөлшері шағын әрі арзан. Айнымалы ток әуелі шала өткізгіштер арқылы, ал одан кейін шала өткізгішті инверторлар көмегімен жиілігі реттелмелі басқа айнымалы токқа түрлендіріледі. Бұл жағдай жылдамдығын бірте-бірте реттеуді талап ететін электр жетектерінің барлық түрі үшін қарапайым әрі арзан қозғалтқыштарын (асинхронды және синхронды) пайдалануға мүмкіндік береді.
2-сурет.
Тәжірибеде жай және неғұрлым маңызды жағдайда айнымалы ток күшінің лездік мәні (
) синусоидалық заңға сәйкес белгілі бір уақыт
ішінде мынадай заң бойынша өзгереді:
, мұндағы
- ток амплитудасы,
ƒ- токтың бұрыштық жиілігі,
- бастапқы фаза.
Сондай жиіліктегі кернеу де синусоидалық заң бойынша өзгереді:
, мұндағы
- кернеу амплитудасы,
- бастапқы фаза (2-сурет) .
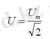
Мұндай айнымалы токтың әсерлік мәндері мынаған тең болады:
≈ 0, 707
,
≈ 0, 707
.
Айнымалы ток тізбегінде индуктивтілік не сыйымдылықтың болуына байланысты ток күші (
) мен кернеу (
) арасында
фаза ығысуы пайда болады. Фаза ығысуы салдарынан ваттметрмен өлшенетін айнымалы токтың орташа қуаты (
) әсерлік ток мәні мен әсерлік кернеу мәнінің көбейтіндісінен кем болады:
.
![]()
3-сурет.
Индуктивтілік те, сыйымдылық та болмайтын тізбекте ток фаза бойынша кернеумен сәйкес келеді (3-сурет) . Токтың әсерлік мәндеріне арналған Ом заңы мұндай тізбекте тұрақты ток тізбегіндегідей пішінде болады:
, мұндағы
- тізбектегі актив қуат (
) бойынша анықталатын тізбектің актив кедергісі
.
Тізбекте индуктивтілік (
) болған жағдайда айнымалы ток сол тізбекте өздік индукцияның ЭҚК-н ( электр қозғаушы күші) индукциялайды:
Һ
.
![]()
4-сурет.
Өздік индукцияның ЭҚК-і ток өзгерісіне кері әсер етеді, сондықтан тек индуктивтілік бар тізбекте ток фаза бойынша кернеуден ширек периодқа, яғни
-ге қалыс қалады (4-сурет) .
-дің әсерлік мәні:
, мұндағы
- тізбектегі
индуктивтік кедергі
. Мұндай тізбекте Ом заңы былайша өрнектеледі:
.
Сыйымдылық (
) шамасы
-ге тең кернеуге қосылғанда, оның заряды:
.
Периодты түрде өзгеріп отыратын кернеу периодты түрде өзгеретін зарядты тудырады, сөйтіп мына формуламен анықталатын сыйымдылық тогі (
) пайда болады:
Һ
.
Сөйтіп сыйымдылық арқылы өтетін синусоидалы айнымалы ток, фаза бойынша оның қысқыштарындағы кернеуден ширек периодқа, яғни
озып кетеді (5-сурет) . Мұндай тізбектегі әсерлік мәндер мына қатынаспен байланысты:
, мұндағы
- тізбектің сыйымдылық кедергісі.
![]()
5-сурет.
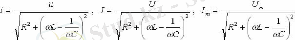
Егер айнымалы ток тізбегі тізбектей жалғастырылған
,
және
-тен тұрса, онда оның толық кедергісі мынаған тең болады:
, мұндағы
.
4 . Айнымалы ток тізбегіндегі қуат.
Айнымалы ток тізбегіндегі реактивті кедергі. Осыған сәйкес, Ом заңы мына түрде өрнектеледі:
.
Ал ток пен кернеу арасындағы фаза ығысуы тізбектегі реактивті кедергінің актив кедергіге қатынасымен анықталады:
.
Айнымалы ток тізбегінде берілген уақыт мезетіндегі қуат ток күші мен кернеудің лездік мәндерінің көбейтіндісіне тең.
Бұл өрнекті түрлендіріп
аламыз.
Бізге бір период ішіндегі орташа қуатты анықтау керек. Ол үшін уақытқа тәуелді тригонометриялық функциялардың орташа мәндерін табайық:
онда
Олай болса, қуатты анықтайтын өрнектегі екінші қосылғыштың орташа мәні нөлге тең. Сонымен, айнымалы ток тізбегінде орташа қуат :
(2. 18)
Бұл теңдеуге ток пен кернеудің әсерлік мәндерін қойып, ыңғайлы болу үшін әсерлік мәндердің индексін жазбай
және
деп белгілесек,
(2. 19)
шығады. (2. 18) мен (2. 19) өрнектеріндегі
шамасы қуат коэффициенті деп аталады. Осы өрнек айнымалы токтың қуаты тек ток күші мен кернеуге ғана емес, сонымен қатар олардың тербеліс фазаларының айырымына да тәуелді екенін көрсетеді.
Егер тізбектегі реактивті кедергі
болса,
, онда
, яғни бұрыннан белгілі тұрақты токтың қуатының формуласын аламыз. Ал тізбекте активті кедергі жоқ
болса, онда
. Тек реактиві кедергісі ғана бар тізбекте орташа қуат нөлге тең. (2. 18)
формуласынан қуатты өсіру үшін
шамасын - қуат коэффициентін ұлғайту қажет екенін көреміз. Өндірістік қондырғыларда ең аз дегенде
болуы керек.
Еркін тербелістер тез өшеді, сондықтан олар көп қолданылмайды. Керісінше, өшпейтін тербелістер әртүрлі салаларда кеңінен қолданылады. Төменде айнымалы токты өндіру және электр энергиясын алыс қашықтықтарға тарату туралы айтылады. Тізбекте орныққан еріксіз электромагниттік тербелістерді айнымалы ток деп атайды. Тізбектегі кернеудің гармониялық өзгерістері өткізгіштердің ішіндегі электр өрісі кернеулігінің гармониялық өзгерісін туғызады. Олай болса, ток күші де соған сәйкес өзгереді.
Айнымалы электр тогы генераторының қарапайым үлгісі:
Магнит ағыны [, мұндағы α - векторымен рамаға тұрғызылған нормаль арасындағы бұрыш] . Рама айналғанда α бұрышын өзгерткенде, магнит ағыны да өзгереді. Электромагниттік индукция құбылысы әсерінен рамада айнымалы индукциялық ток пайда болады.

Электромагниттік индукция заңы бойынша индукция ЭҚК-ші:

индукция ЭҚК-нің амплитудасы.
Рама N орамнан тұрса, онда .
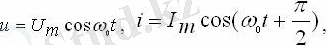
u ‒ айнымалы токтың кернеуінің өзгерісі,
U m кернеудің амплитудалық мәні.

i ‒ ток күшінің өзгерісі, мұндағы φ ы ‒ ток күші мен кернеудің тербелістері арасындағы фаза бойынша ығысуы,
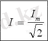
I m ток күшінің амплитудалық мәні.
5. Ток күші мен кернеудің әсерлік мәндері
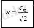
Айнымалы ток күшінің әсерлік мәні I айнымалы ток өткізгіште қанша жылу мөлшерін бөліп шығарса, өткізгіште сонша уақытта дәл сондай жылу мөлшерін бөліп шығаратын тұрақты ток күшіне тең



Айнымалы ток тізбегіндегі резонанс
Сыртқы айнымалы кернеудің жиілігі тербелмелі контурдың меншікті жиілігімен бірдей болғанда, ток күшінің еріксіз тербеліс амплитудасының кенет арту құбылысын электрлік тербелмелі контурдағы резонанс деп атайды. (Бұл құбылыс радиобайланыста таратушы байланыстың жиілігіне келтіру үшін қолданылады)

және
Айнымалы ток тізбегінде
сыйымдылық кедергі
болғанда Ом заңы орындалады және кернеуден ток күшінің тербеліс фазалары
-ге озады:
және
себебі
‒ айнымалы ток тізбегіндегі
сыйымдылық кедергі
(реактивті кедергі) .
Айнымалы ток тізбегінде
индуктивтілік кедергі
болғанда Ом заңы орындалады және кернеуден ток күшінің тербеліс фазалары
-ге қалады:
және
‒ айнымалы ток тізбегіндегі
индуктивтілік кедергі
(реактивті кедергі) . Айнымалы ток тізбегінде
толық кедергі
болғанда Ом заңы орындалады
Кернеу мен ток күшінің тербеліс фазалары тізбектің әр бөлігінде әртүрлі болады. Актив кедергідегі кернеудің тербеліс фазасы ток күшінің тербеліс фазасымен сәйкес келеді:
сиымдылық кедергіде кернеуден ток күшінің тербеліс фазалары
-ге озады:
индуктивтілік кедергіде кернеуден ток күшінің тербеліс фазалары
-ге қалады:
‒ айнымалы ток тізбегіндегі
толық кедергі
.
Айнымалы токтың жасайтын пайдалы жұмысын бағалау үшін қуаттың бір периодтағы орташа мәнін алады
мұндағы
мәндерін орындарына қойып, қуаттың орташа мәнін ток пен кернеудің әсерлік мәні арқылы өрнектейміз.
‒ айнымалы ток тізбегіндегі орташа қуат, cosφ=R/Z ‒ қуат коэффициенті
Тұрақты ток - ток күшінің шамасы мен бағыты уақытқа байланысты өзгермейтін электр тогы.
Тұрақты ток тұрақты кернеудің әсерімен тек тұйықталған тізбекте ғана пайда болады. Тармақталмаған тұйық тізбектің кез келген қимасында тұрақты ток күшінің мәні өзгермейді. Тұрақты токтың негізгі заңдарына ток күші мен кернеудің байланысын сипаттайтын Ом заңы, өткізгішпен ток жүрген кезде бөлініп шығатын жылудыанықтайтын Джоуль-Ленц заңы және тармақталған тізбек үшін жазылатын Киргхоф ережелері жатады. Тұрақты ток көздеріне электр машиналарының генераторы, гальвани элементтері, термоэлементтер, батареяларға топтастырылған фотоэлементтер, күн көзінің батареялары, алдын ала зарядталған аккумуляторлар және -пайдалы әсер коэффициенті жоғары магниттік гидродинамика генераторлары жатады. Тұрақты токты жартылай өткізгіштердің және басқа түзеткіштердің көмегімен, айнымалы токты түзету арқылы өндіруге болады.
Айнымалы ток тізбегінің толық кедергісі
өрнегімен анықталатыны белгілі болды. Бұл формуладағы индуктивтік кедергі мен сыйымдылық кедергі бір-біріне тең болса, толық кедергі
ең аз мәнге ие болатынын көреміз. Сонымен, егер
(2. 17)
болса,
. Мұндай жағдайда ток пен кернеудің тербеліс фазаларының айырымы:
![]()
яғни ток пен кернеу тербелістері бірдей фазада жүреді. Активті кедергідегі кернеу тізбекке түсірілген кернеуге тең
, ал конденсатордағы
кернеу мен катушкадағы
кернеу амплитудалары бір-біріне тең және фазалары қарама-қарсы. Ом заңы бойынша ток амплитудасы
Бұл өрнектен, егер активті кедергі
аз болса, ток күшінің амплитудасы өте үлкен мәнге ие болатынын көреміз. Жоғарыда сипатталған құбылыс
электр тізбегіндегі резонанс
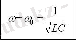
деп аталады. Резонанс байқалу үшін тізбекке түсірілген кернеудің жиілігі (2. 17) өрнегін қанағаттандыру керек:
Біз активті кедергісі
идеал тербелмелі контурдың меншікті тербелістерінің жиілігі
өрнегімен анықталатынын білеміз. Олай болса, электр тізбегінде резонанс тізбекке түсірілген сыртқы периодты кернеудің жиілігі тізбектің меншікті жиілігіне тең болғанда байқалады
(2. 19-сурет) . Осы кезде катушкадағы индуктивтік кедергі конденсатордың сыйымдыльщ кедергісіне тең болады:
. Активті кедергі неғұрлым аз болса, ток күшінің амплитудасы соғұрлым үлкен.
2. 19-суретте
. Егер активті кедергі шексіз аз болса
→
, ток амплитудасы шексіз артады
→
. Активті, индуктивтік және сыйымдылық кедергілер тізбектей жалғанғанда байқалатын резонансты кернеулер резонансы немесе тізбекті резонанс деп атайды. Себебі резонанс кезінде токтың өсуімен қатар, катушка мен конденсатордағы кернеулер де күрт өседі. Тізбектей жалғанған кезде конденсатор мен катушкадағы кернеулер қарама-қарсы фазада тербеледі, ал тізбектің барлық элементі арқылы өтетін токтың бағыты бірдей, сондықтан
болғанда, яғни резонанс кезінде кез келген уақыт мезеті үшін
. Ал
екенін ескерсек, индуктивтік катушкадағы және конденсатордағы кернеу тербелістерінің амплитудасы былай есептеледі:
![]()
![]()
Сонымен,
![]()
Тербелмелі контурда
қатынасы орындалады, сондықтан конденсатор мен катушкадағы кернеулер тізбекке түсірілген кернеуден артық және
азайған сайын арта түседі. Жалпы, активті кедергісі
аз болғанда ғана резонанс құбылысын қарастырады. Активті кедергінің үлкен мәндерінде іс жүзінде резонанс байқалмайды (2. 20-сурет) . Кернеулер резонансын кандай да бір берілген жиіліктегі кернеу тербелістерін күшейту үшін пайдаланады. Кернеудің резонанстық өсуі резонанстық жиілікке жуық өте аз интервалда жүретін болғандықтан, көптеген сигнал ішінен жиілігі сол резонанстық жиілікке жуық бір ғана сигнал бөліп алынады. Мысалы, радиоқабылдағышта керекті толқынды осылайша іздейді. Катушкалары мен конденсаторлары бар электр жүйелерінің изолядияларын есептегенде де кернеулер резонансын ескеру керек, әйтпесе электр тесілулері болуы мүмкін. Механикалық тербелістердід резонансы сыртқы периодты күштің жиілігі тербелмелі жүйенің меншікті жиілігімен дәл келгенде байқалатынын білеміз. Механикалық тербелістерде үйкеліс күштері электромагниттік тербелістердегі активті кедергінің рөлін атқарады.
- Электрлік шамаларды өлшеу құралдары.
Аналогтық өлшеуіш аспаптар (АӨА) - бұл көрсетулері өлшенуші шамалардың өзгерулерінің үздіксіз функциясы болып табылатын аспаптар.
Аналогтық өлшеуіш аспаптар өндірісте және ғылыми тәжірибелерде кең қолданылады. Бұл олардың бірқатар жетістіктерімен түсіндіріледі. Бұл салыстырмалы қарапайымдылық, арзан бағасы және аналогтық сигналдардың жоғары информативтілігі.
Аналогтық өлшеуіш аспаптарының кемшіліктері - бұл олардың жылдам жұмысы мен кедергіге тұрақтылығын төмендететін қозғалмалы инерциялық бөліктері.
Аналогтық өлшеуіш аспаптарының структуралық схемасы 4. 1-суретте келтірілген:
У a L
Х
Сурет 4. 1 - Аналогтық өлшеуіш аспаптарының структуралық схемасы
Өлшеуіш түрлендіргіш (ИП) - Х кіріс сигналын өлшеуіш механизмге ИМ тікелей әсер ететін У электрлік шамасына түрлендіру үшін арналған.
Өлшеуіш механизмде электрлік энергия қозғалмалы бөліктің орын ауыстыруының механикалық энергиясына түрленеді. Көптеген аналогтық аспаптарда қозғалмалы бөліктің орын ауыстыруы a бұрышына қозғалмалы оське қатысты бұрылуынан тұрады.
Есеп беруші құрылғы (ОУ) көрсеткіш пен шкаладан тұрады. Ол қозғалмалы бөлік бұрыштық орын ауыстыруының көрсеткіш орын ауыстыруына түрленеді. Ол шкаланың бөліктерінде немесе миллиметрлерде өрнектеледі. Осылайша аналогтық өлшеуіш аспаптың сезімталдығы осы түйіндердің сезімталдықтарынан тұрады және мынаған тең:
; (4. 1)
мұндағы S1, S2, S3 - АӨА түйіндерінің сезімталдығы (ИП, ИМ, ОУ)
Қозғалмалы бөлікті көрсетулердің өсуі жағына қарай сағат тілі бойымен бұратып айналдырушы моментті оң деп санаймыз.
Қозғалмалы бөліктің Da бұрышына бұрылуы кезінде өлшеуіш механизм келесі жұмыс жасайды:
. (4. 2)
A өрісінің күштерінің механикалық жұмысы DWЭМ магниттік немесе электрлік өрістерінің энергиясының өзгеруіне тең.
. (4. 3)
Бұдан өлшеу механизмінің МВР айналдырушы моменті:
. (4. 4)
Айналдырушы момент өлшеуіш механизмнің қозғалмалы бөлігін ол МПР кері әсер моментімен теңестірілгенше бұрайды. Кері әсер моменті айналдырушы моментіне қарсы бағытталған және a айналу бұрышына тәуелді.
Кері әсер моментінің құрылу тәсіліне қарай механикалық кері әсер моментті аспаптар мен электрлік кері әсер моментті аспаптарды (логометрлер) айырады.
Аспаптардың бірінші тобында МПР кері әсер моменті серіппеліэлементтің көмегімен жасалады. Олар қозғалмалы бөліктің бұрылуы кезінде бұралатын спиральдік серіппе, тартпа және аспа. Осыған орай кері әсер моменті МПР :
; (4. 5)
мұндағы
W - үлестік кері әсер моменті;
a - рамканың бұрылу бұрышы.
Логометрлерде кері әсер моменті айналдырушы момент құрылатын тәсілмен құрылады.
Айналдырушы моменттің құрылуының негізіне салынған физикалық құбылыстарға қарай аналогтық өлшеуіш құралдар келесі жүйелерге бөлінеді:
- магнитоэлектрлік;
- электромагниттік;
- электродинамикалық;
- ферродинамикалық;
- электростатикалық;
- индукциондық.
Магнитоэлектрлік өлшеуіш механизмдердің жұмысы тұрақты магнит ағыны мен бұралу рамкасының катушкасы арқылы ағатын токтардың өзара әсеріне негізделген. Пайда болатын айналдырушы момент механизмнің қозғалмалы бөлігін қозғалыссызға байланысты ауытқытады.
Қозғалмалы рамкалы және қозғалмалы магнитті механизмдерді айырады. Көбірек таралған - қозғалмалы катушкалы механизм. 4. 2-суретте магниті сыртында орналасқан магнитоэлектрлік өлшеуіш механизмнің құрылымы көрсетілген.
Сурет - 4. 2 Магнитоэлектрлік механизмнің
4. 3 суретте магнитоэлектрлік өлшеуіш механизмнің структуралық схемасы көрсетілген
Сурет - 4. 3 Магнитоэлектрлік өлшеуіш механизмнің
1 - тұрақты магнит; 2 - магнитоөткізгіш; 3 - полюстік ұштықтар;
4- қозғалыссыз өзек; 5 - спиральдік серіппе; 6 - қозғалмалы катушка; 7 - магниттік шунт; 8 - көрсеткіш
Қозғалыссыз өзек пен полюстік магниттер арасындағы ауалық саңылауда бірқалыпты радиал магниттік өріс пайда болады.
6 механизмінің қозғалмалы бөлігі - алюминийден жасалған тірекке оралған жұқа мыс сымнан тұратын тікбұрышты формалы катушка болып табылады. Ол ауалық саңылаудың магниттік өрісінде айнала алады. Шкалалы стрелка немесе көрсеткіш есеп беру құрылғысын құрайды. Магниттік шунт механизмнің ауалық саңылауындағы магнит индукциясын реттеуге арналған.
Өлшеуіш ток рамка орамаларына кері әсер моментін тудыру үшін арналған екі тартпа немесе спиральдік серіппе арқылы келтіріледі. Кері әсер моменті:
(4. 6)
Қозғалмалы катушканы іліктіретін электромагниттік өрістің энергиясы
; (4. 7
мұндағы
(4. 8)
қозғалмалы катушканың ағын ілінісі;
В - ауалық саңылаудағы индукция;
S - катушканың активті ауданы;
w - катушка орамаларындағы орамдар саны;
a - катушканың бұрылу бұрышы;
Лездік айналдырушы момент мына формуламен анықталады:
(4. 9)
Егер ток синусоидалық (
) болса, онда лездік айналдырушы момент:
(4. 10)
Осы формулаға сай орташа айналдырушы момент бұл жағдайда 0 тең.
Бірақ осы формулаға сәйкес механизм жұмысы w ток жиілігінен және меншік толқулар жиілігінен тәуелді (мұндағы
) . Магнитоэлектрлік механизмдері бар өлшеуіш аспаптардың меншік толқулар жиілігі шамамен 1 секундқа тең. Яғни 10 Гц артық жиілікпен кіріс шаманың кез келген амплитудасында сигналды өлшеуде қозғалмалы бөліктің ауытқуы 0 тең. 10 Гц-тен төмен жиілікте қозғалмалы бөлік кіріс токтарының жиілігімен тербеледі. Сондықтан магнитоэлектрлік механизмдерді аспаптар тек тұрақты ток тізбегінде қолданады.
Тұрақты токтың өлшеуіш механизм арқылы өтуі кезінде айналдырушы момент:
(4. 11)
Кері әсер моменті өлшеуіш механизмде серіппелі элементпен тудырылады, сонда тепе-теңдік шарты келесі түрде болады:
(4. 12)
немесе
. (4. 13)
Сонда қозғалмалы рамканың ауытқу бұрышы
; (4. 14
мұндағы
(4. 15)
өлшеуіш механизмнің токка сезімталдығы.
В, магниттік индукция ауалық саңылауда тұрақты, сондықтан аспап шкаласы бірқалыпты.
Логометр түріндегі магнитоэлектрлік механизмдер кең қолданылады.
Логометрлер - бұл электрлік және электрлік емес шамалардың функциясы болып табылатын екі электрлік шаманың бөлінуінің есептік операциясын іске асыратын аспаптар.
Басты түрде логометрлер параметрлік электрлік шамаларды (омметрлер, генриметрлер, фарадметрлер, герцметрлер) өлшеу үшін қолданылады.
Логометрлерде магнитоэлектрлік механизмнің қозғалмалы бөлігі орамалары бойынша I1 және I2 токтары өтетін бір бірімен қатаң бекітілген екі катушкадан құралған. Магнитті өрістің М1 және М2 моменттері бір біріне қарама қарсы бағытталған.
Өзектер мен полюстік ұштықтарының формасы ауалық саңылаудағы индукция бірқалыпты емес және радиал емес бағытталған болатындай етіп таңдалады.
4. 4-суретте магнитоэлектрлік жүйенің логометрлік механизмінің құрылымы көрсетілген.
Сурет - 4. 4 - Магнитоэлектрлік логометрлік механизмінің
Моменттер теңдігі кезінде тепе теңдік шарты келесі түрде болады:
. (4. 16
Сонда
. (4. 17)
бұдан
; (4. 18)
мұндағы
- I1 және I2 токтарының қатынасының функциясы.
Магнитоэлектрлік механизмдердің жетістіктері:
- жоғары сезімталдылық;
- меншік қуаттың төмен тұтынылуы;
- күшті меншік магниттік өрістің әсерінен магниттік өрістердің төмен ықпал етуі;
- электрлік өріс ықпалының жоқтығы;
- рамка орамасындағы ток пен ауытқу бұрышы арасындағы тік пропорционал тәуелділік.
Кемшіліктер:
- конструкцияның күрделілігі;
- жоғары бағасы;
- ток бойынша асыра тиеу қабілетінің төмендігі;
- тек тұрақты ток тізбектерінде жұмыс істейді.
Магнитоэлектрлік жүйе негізінде өндіріс келесі аспаптарды шығарады:
- амперметрлер;
- вольтметрлер;
- омметрлер;
- гальванометрлер;
- кулонметрлер.
Магнитоэлектрлік механизмді амперметрлер өлшенуші ток тізбегіне не тікелей, не шунт арқылы жалғанады. Тікелей жалғану токөткізгіштеріне мүмкін төмен токтарды (30 мА дейін) өлшеуде іске асады, яғни тікелей жалғау миллиамперметрлерді қолдануда мүмкін. Үлкен токтарда шунттар қолданылады.
... жалғасы- Іс жүргізу
- Автоматтандыру, Техника
- Алғашқы әскери дайындық
- Астрономия
- Ауыл шаруашылығы
- Банк ісі
- Бизнесті бағалау
- Биология
- Бухгалтерлік іс
- Валеология
- Ветеринария
- География
- Геология, Геофизика, Геодезия
- Дін
- Ет, сүт, шарап өнімдері
- Жалпы тарих
- Жер кадастрі, Жылжымайтын мүлік
- Журналистика
- Информатика
- Кеден ісі
- Маркетинг
- Математика, Геометрия
- Медицина
- Мемлекеттік басқару
- Менеджмент
- Мұнай, Газ
- Мұрағат ісі
- Мәдениеттану
- ОБЖ (Основы безопасности жизнедеятельности)
- Педагогика
- Полиграфия
- Психология
- Салық
- Саясаттану
- Сақтандыру
- Сертификаттау, стандарттау
- Социология, Демография
- Спорт
- Статистика
- Тілтану, Филология
- Тарихи тұлғалар
- Тау-кен ісі
- Транспорт
- Туризм
- Физика
- Философия
- Халықаралық қатынастар
- Химия
- Экология, Қоршаған ортаны қорғау
- Экономика
- Экономикалық география
- Электротехника
- Қазақстан тарихы
- Қаржы
- Құрылыс
- Құқық, Криминалистика
- Әдебиет
- Өнер, музыка
- Өнеркәсіп, Өндіріс
Қазақ тілінде жазылған рефераттар, курстық жұмыстар, дипломдық жұмыстар бойынша біздің қор #1 болып табылады.

Ақпарат
Қосымша
Email: info@stud.kz