Электротехника пәнінен лабораториялық жұмыстар


ЛАБОРАТОРИЯЛЫҚ ЖҰМЫС №
Операциялық күшейткішің сипаттамалары.
Жұмыстың мақсаты:
- Операциялық күшейткіштің (ОК) кіріс токтарын өлшеу;
- Операциялық күшейткіштің кіріс токтарының айырмашалаған және орташа мәнін анықтау;
- Операциялық күшейткіштің кернеулік ығысуын өлшеу;
- Операциялық күшейткіштің дифференциалды кіріс кедергісін өлшеу;
- Операциялық күшейткіштің шығысындағы кедергіні есептеу;
- Оперциялық күшейткіштің шығысындағы кернеудің өсу жылдамдығын анықтау;
Кұралдар және элементтер.
Вольтметр.
Амперметр.
Осциллограф.
Функционалды генератор.
Керену көзі.
LM741 типті ОК.
Резисторлар.
Теориядан қысқаша мәліметтер.
Интегралды операциялық күшейткішті сипаттайтын негізгі параметрлер:
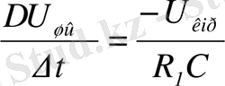
1. Орташа кіріс тогы I êið . Операциялық сигнал түспей тұрған кезде, оның кіріс ұштарында, биполярлық транзистордың базалық кіріс токтарымен шарттасқан ток өтеді. Кіріс сигналдың ішкі кедергіснен өткен кіріс токтар, ОК - тің кірісінде құрама кернеуді пайда болдырады. Олар ОК - тің кіріснде сигнал жоқ кезде шығысындағы кернеуді пайда бодырады. Идеалды ОК - дегі кіріс токтардың бір - бірінен айырмашылығы 10 - 20% болғандықтан кернеудің компенсациясы қиындау. ОК - тің кіріс токтарын, инверсиялық I 1 және инверсиялық емес I 2 кірісіндегі токтардың арифметикалық орташасы деп алуға болады.
- Кіріс токтардың айырмашылығы
![]()
Анықтамаларды бұл мәліметтердің модулі берілген.
- Тұрақты токтағы кернеудің күшейту коэффициенті. Бұл параметр ОК - тің негізгі функциясын кіріс сигналдарын күшейтуді сипаттайды. Иедалды күшейткіштерде күшейту коэфициенті шексіздікке ұмтылады. 2 - суреттегі схемада ОК - тің кернеу бойынша күшейту коэффициенті мына формуламен анықталады:
- Кернеудің ығысуыUû¹. ОК - тің шығысындағы керну нөлге тең болу үшін, кірісінеUñì- нің мәнін беру керек. Күшейту коэффициенті және кірісінде кернеу жоқ кезде, шығысындағы кернеудіUшығбілсек кернеудің ығысуын анықтай аламыз.
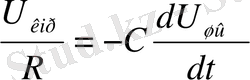
- Кіріс кедергісіRêið. Кіріс кедергісі дифференциалды кіріс кедергіден және синфазды сигналдағы кіріс кедергіден тұрады. Биполярлық тарнзистор негізіндегі ОК - тің дифференциалды кіріс кедергісі 10 кОм . . . 10МОм аралығында жатады. Синфазды сигналдағы кіріс кедергісі келесі формуламен анықталады:
Мұндағы:
синфазды кіріс кедергінің өсімі.
кіріс токтың орташа өсімі.
Дифференциалды кіріс кедергісі тең:
ОК - тің кірістері арасындағы кернеудің өзгеруі.
кірісіндегі токтың өзгеруі.
- Шығыс кедергісіRшығ. Интегралды ОК - де шығыс кедергісі 20 . . . 2000 Ом аралықта жатады. Rшығ. - шығыс сигналының амплитудасын кішірейтеді.
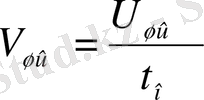
- Шығыс кернеудің өсу жылдамдығы Vшығкелесі формуламен анықталады:
Мұндағы:
U шығ - ОК - тің шығыс кернеуі.
t о - шығыс кернеудің өсу уақыты.
Тәжірибелерді жүргізу реті.
1 - тәжірибе. Кіріс токтарды анықтау.
1 - суреттегі схеманы қосып ОК - тің кіріс токтарын өлшеңіз. өлшеу нәтижесінен кіріс токтардың орташы мәнін және кіріс токтардың айырымдылығын анықтаңыз.
1 - сурет.
2 - тәжірибе. Кернеу ығысуын анықтау.
2 - суреттегі схемадағы вольтметрдің көрсетуін «тәжірибелердің нәтижелері» тарауына жазаңыз. Кенеу ығысуын
U
ы
ОК - тің күшейту коэффициентін пайдаланып табыңыз.
2 - сурет
3 - тәжірибе. Кіріс және шығыс кедергілерді өлшеу.
3 - суреттегі схемадан кіріс токты I кір және шығыс кернеуді U шығ анықтаңыз. Схемадағы кілтті ауңыстырып I кір токтың мәнін алыңыз. Кіріс кернеудің, токтың өзгеруін және дифференциалды кіріс кедергісін есептеңіз.
3 - сурет
4 - тәжірибе. Шығыс кернеудің өсу жылдамдығын өлшеу.
4 - суреттегі схемадағы осцилографтың шығыс кернеуін алыңыз. Шығыс кернеудің өсу жылдамдаған және тұрақтану уақытын осциллограмма арқылы анықтаңыз.
4 - сурет
Тәжірибелердің нәтижелері.
1 - тәжірибе.
Инверсиялық емес кіріс ток І 1 өлшеу
Инверсиялық кіріс ток І 2 өлшеу
Орташа кіріі тогы І кір есептеу
Кіріс токтардың айырымдылығы
есептеу
2 - тәжірибе.
Күшейткіштің шығыс кернеуі U шығ өлшеу
Схеманың күшейту коэффициенті К у есептеу
Керенудің ығысуы U ы есептеу
3 - тәжірибе.
Кілті ауыстыру алдындағы кіріс тогы І кір мкА өлшеу
Кілтті ауыстырғаннан кейінгі кіріс тогы І кір мкА өлшеу
Кіріс кедергісінің өзгеруі, мВ есептеу
Кіріс токтың өзгеруі, мкА есептеу
Дифференциалды кіріс кедергісі, Ом есептеу
4 - тәжірибе.
Шығыс кернеу U шығ өлшеу
Шығыс кернеудің тұрақтану уақыты өлшеу
Шығыс кернеудің өсу жылдамдығы есептеу
Бақылау сұрақтары.
- ОК - тің жұмыс істеу принципі.
- ОК - тің кіріс және шығыс кедергілерінің мәндерін салыстырыңыз.
- Шығыс кернеудің өсу жылдамдығы нені сипаттайды.
- Кіріс токтардың айырымының пайда болу себебі.
ЛАБОРОТОРИЯЛЫҚ ЖҰМЫС №
Операциялық күшейткіш негізіндегі дифференциалды және
интегралды схемалар.
Жұмыстың мақсаты:
- ОК негізіндегі интегратордың схемасын зерттеу.
- Интегратордың шығыс сигналына схемадағы параметрлердің әсерлерін есептеу.
- ОК негізіндегі дифференциаторды зерттеу.
- Дифференциатордың шығыс сигналына кіріс әсерлерді талдау.
Кұралдар және элементтер:
Осциллограф
Функционалды генератор
Операциялық күшейткіштер LM741
Резисторлар
Конденсаторлар
Теориядан қысқаша мәлімет.
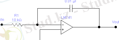
Операциялық күшейткіш негізінде идеалды интеграторды (1 - сурет) құрастыруға болады. Оның шығыс кернеуі U шығ кіріс кернеуі U кір келесі қатынаспен байланысқан.
Схеманың кемшілігі - ОК - тің кіріс токтарына және кернеуінің ығысуына сертті шығыс кернеудің дрейфі.
Егер конденсаторда С үлкен кедергімен резисторды R 2 қоссақ, онда бұл құбылысты азайтға болады (2 - сурет) . Конденсатор зарядталғаннан кейінгі немесе конденсатордан өткен ток нөлге тең болғанда, ОК - тің қанағаттануын кері байланыстағы резистор R 2 болдырмайды. Кері кернеу U кір амплитудасымен өзгергендегі шығыс кернеу мына өрнекпен анықталады.
Өту процессінің бастапқы интегралында шығу кернеудің өзгеруі сызықты, сондықтан шығыс кернудің өзгеру жылдамдығын келесі фромуламен анықтауға болады.
Дифференциатордың шығысындағы кернеу тең:
1 - сурет
2 - сурет
Тәжірибелерді жүргізу реті.
1 - тәжірибе. Инегратор схемасындағы өтпелі процесс.
3 - суреттегі схеманың кірісіндегі тізбекті тіктөртбұрышты импульс түріндегі керенуді берген жағдайда, схеманың кіріс және шығыс кернеулерін осциллограммадан алыңыз. Кіріс кернеудің амплтудасы арқылы шығу кернеудіңң өзгеру жылдамдығын анықтаңыз. Тұрақталған процесте шығу кернеудің амплитудасын өлшеңіз.
2 - тәжірибе. ОК негіздегі диференциатордың өтпелі процесі.
Осциллограммадан схеманың 4 - суреттегі кіріс және шығыс кернеулерді сызып алыңыз. Алынған осциллограммалар арқылы кіріс кернеулердің өзгеру жылдамдығын және шығыс кернеудің амплитудасын анықтаңыз. Нәтижелерін «тәжірибелердің»
3 - сурет
4 - сурет
Бақылау сұрақтары.
- ОК негізіндегі интегратордың жұмыс істеу прнципі.
- ОК негізіндегі дешифратордың жұмыс істеу принципі.
- 3 - суреттегі схемадағы R2кедергісінің ролі.
- Өту процессінің (4 - сурет) қай параметрлеріне R2кедергісі әсер етеді.
- Шығыс кернеудің өзгеру жылдамдығы (3 - сурет) схемада, қай компоненттердің параметрлеріне байланысты.
- Кіріс және шығыс кернеулер арасындағы 3, 4 - суретке байланысты шығарыңыз.
- Не себептен 4 - суреттегі схема дифференциалды каскад болып саналады.
ЛАБОРОТОРИЯЛЫҚ ЖҰМЫС №
Биполярлық транзисторды зертеу.
Жұмыстың мақсаты:
- База - эмиттер керенуінің және база тогының коллектор тогына қатынасын зерттеу;
- Коллектор тогының тұрақты токтағы күшейту коэффициентіне қатынасын талдау;
- Кыршу (отсечки) режиміндегі биполярлық транзистордың жұмысын зерттеу.
Құралдар және элементтер.
Биполярлық транзистор 2N3904
ЭҚК - нің тұрақты көзі
ЭҚК - нің айнымалы көзі
Амперметр
Вольтметр
Осциллограф
Резисторлар
Теориядан қысқаша мәліметтер
Зерттелетін схема 1 - суретте көрсетілген. База тогының
коллектор тогына
қатынасы токтың статикалық коэффициентін анықтайды:
Коллекторлық ток өсімінің базалық ток өсіміне қатынасы токтың өткізу коэффициентін анықтайды:
Коллектор - эмиттердегі кернеулердің тіркелген мәнінде транзистордың жалпы эмиттер схемасында дифференциялдық кіріс кедергісі
анықталады:
Транзистордың параметрлері арқылы транзистордың жалпы эмиттер схемасында дифференциялдық кіріс кедергісі тең:
мұндағы:
- жартылай өткізгіштің базалық аймағындағы таралған кедергісі;
- база - эмиттер өтудің дифференциялдық кедергісі,
. Бұл жердегі
- эмиттердегі миллиампермен өлшенетін тұрақты ток.
болғандықтан (4) өрнек келесі түрде жазылады:
Тәжірибенің жүргізу реті.
1 - тәжірибе. Транзистордағы токтың статикалық коэффициентін анықтау.
- 1 - суреттегі схеманы іске қосып, коллектор - эмиттер кернеуін, база тогын және коллектор тогын жазып алыңыз. Сөйтіп транзистордың өту коэффициентін анықтаңыз.
- Схемадағы ЭҚК көзін2, 68В - қа дейін өзгертіп а) пунктін қайталаңыз.
- Схемадағы ЭҚК көзін5В - қа дейін өзгертіп а) пунктін қайталаңыз.
1 - сурет
2 - тәжірибе. Коллектордың кері тогын өлшеу.
1 - суреттегі схемада
мәнін 0 - ге орнатып, берілген коллектор - эмиттер кернеуін және база ток арқылы коллектор тогын өлшеп. «Тәжірибелердің нәтижелерін тарауға жазыңыз.
2 - сурет
3 - тәжірибе. Транзистордың жалпы эмиттер схемасындағы шығыс сипаттамаларын алу.
- «Тәжірибелердің нәтижелерін тараудағы 1 - кестеніжәнемәндеріне лайықты коллектор тогынөлшем толтырыңыз. тәуелділігінің графигін тұрғызыңыз.
- 2 - суреттегі схемадан осциллограмма экранынан транзистордың шығыс сипаттамаларын сызып алыңыз. 1 - кестедегімәндерін қойып осциллограммадағы шығыс сипаттамаларын алыңыз.
- Шығыс сипаттамаданөту коэффициенті, базалық ток- ден- ге дейін өзгергенде жәнеанықтаңыз.
4 - тәжірибе. Транзистордың жалпы эмиттер схемасындағы кіріс сипаттамаларын алу.
- 1 - суреттегі схемадамәнін 10В орнатыпәр түрлі мәндеріне лайықты база тогын, база - эмиттер керенеуін, эмиттиер тогыналыңыз.
- «Тәжірибелер нәтижелерін тараудағы 2 - кестге толтырыңыз жәнетәуелділігінің графигін тұрғызыңыз.
- 3 - суреттегі схеманы қосып кіріс сипаттасын сызып алыңыз. Транзистордың базалық тогы- ден- ге дейін өзгергенде транзистордың кіріс кедергісін сипаттаңыз.
3 - сурет
Тәжірибелердің нәтижелері.
1 - тәжірибе
- ЭКҚ кернеу көзі
База тогы
өлшеу
Коллектор тогы
өлшеу
Коллектор - эмиттер кернеуі өлшеу
Статикалық өту коэффициенті есептеу
- ЭКҚ кернеу көзі
База тогы
өлшеу
Коллектор тогы
өлшеу
Коллектор - эмиттер кернеуі өлшеу
Статикалық өту коэффициенті есептеу
- ЭКҚ кернеу көзі
База тогы
өлшеу
Коллектор тогы
өлшеу
Коллектор - эмиттер кернеуі өлшеу
Статикалық өту коэффициенті есептеу
2 - тәжірибе
Коллектордың кері тогы
өлшеу
База тогы
өлшеу
Коллектор - эмиттер кернеуі
өлшеу
3 - тәжірибе
1 - кесте
Токтың өту коэффициентін
есептеу
4 - тәжірибе
2 - кесте
Бақылау сұрақтары.
- Транзистордың коллектор тогы неге байланысты?
- коэффициенті коллектор тогына байланысты ма?
- Кіріс сипаттама арқылы не деуге болады?
- Шығыс сипаттамма арқылы не деуге болады?
- Кіріс сипаттаманың кез - келген нүктесіндеrêiðмәндері тең бе?
- Эмиттер тогыныңғ кез келген мәніндеrýмәндері тең бе?
ЛАБОРОТОРИЯЛЫҚ ЖҰМЫС №
Жартылай өткіш диодтар.
Жұмыстың мақсаты:
- р - n өткізгіш диодтың вольтамперлік сипаттамасын тұрғызыу, өтудің тура және кері ығысудағы кернеуі мен тогын зерттеу.
- Жартылай зерттеу.
- Тұрақты және айнымалы токтағы диодтың кедергісін талдау.
- Вольтамперлік сипаттамадағы кернеу иілісін өлшеу.
Құралдар және элементтер.
Функционалды генератор.
Мультиметр.
Осциоллограф.
Тұрақты кернеудің көзі.
Диод 1N4001.
Резисторлар.
Теориядан қысқаша мәліметтер.
Әртүрлі деңгейдегі құралдармен жабдықталғанда ситуацияларды модельдеу мүмкіндігі және осы деңгейдегі өлшеу әдістерін меңгеру Electronics Workbench - тің артықшылығына жатады. Осы ситуацияларды жартылай өткізгіш диодтың вольтамперлік сипатамасын өлшеу мысалдарында қарастырайық.
Әртүрлі шамада кернеу көзін резистор арқылы диодтқа қосып, диодтың кернеуін өлшеу әдісі 1-суреттегі схемада көрсетілген. Бұл кезде диодтың тоғы мына өрнектен анықталады
мұндағы :
І m - тура бағыттағы диодтың тоғы;
E - ток көзінің кернеуі;
U m - тура бағыттағы диодтың кернеуі.
Сол схемадағы (1-сурет) диодтың қосу полюстарын ауыстырсақ, онда кері бағыттағы диодтың вольтамперлік сипаттамаларын алуға болады.
Диодтың тогы тең:
мұндағы:
І k - кері бағыттағы диодтың көзі;
U k - кері бағыттағы диодтың кернеуі.
Бір номиналды резистор кедергілердің ауытқуына байланысты осы әдістердің өлшеу дәлдігі төмен. Жоғары дәлдікпен сипаттамаларды алу үшін, бір мультиметр пайдлана отырып, алдымен 1-суреттегі схемада кернеуін өлшеп, кейіннен 2 - суреттегі схемада токты өлшеу керек. Мультиметр вольтметр және амперметр ретінде пайдаланады.
Егер сізде вольтметр және амперметр болса, онда жұмысыңыз жеңілденеді. Оларды 3 - суреттегі схема бойынша қосып, бірден токтың және кедергінің өзгеруін көруге болады.
Осциллогтраф (4 - сурет) арқылы вольтмаперлік сипаттаманы тез және ыңғайлы түрде зерттеуге болады. Осы қосу бойынша осциллографтың көлденең өсінде кернеу, ал тік өсінде диодтағы ток жатады.
1 Ом резистордағы кернеу, вольтпен өлшенетін, санды түрде диодтан өткен токқа, ампермен өлшенетін, тең ( I=
=
=U), сондықтан тік өстен токтың мәнін тікелей алуға болады. Егер осциллографта В/А режим алынса, онда осциллографтың экранында вольтамперлік сипаттаманы көруге болады (1, 2, 3, 4 сурет) .
1 - сурет
2 - сурет
3 - сурет
4 - сурет
Сызықты еместіктен диодты кедергі ретінде (сызықты резистор) сипаттауға болмайды. Диодтың кернеуі мен одан өткен токтың байланысы U/I , статикалық кедергі деп аталаын, токтың мәніне байланысты.
Егер диодта токтың маңызды тұрақты шамасына шағын айнымалы шама жатса (бұл кезде элемент кіші сигнал режимінде жұмыс істеп жатыр дейді), онда dU/dI байланысты дифференциялды (немесе динамикалық) кедергі деп атайды.
Динамикалық кедергінің мәні сипаттамадағы жұмыс нүктесін анықтайтын, диодтағы токтың тұрақты шамасына байланысты.
Тәжірибелерді жүргізу реті.
1 − тәжірибе. Кернеуді өлшеу және диодтан өткен токты есептеу.
1 - суреттегі схеманы жинап іске қосыңыз. Мультиметр диодтағы тура бағыттағы кернеу U m көрсетеді. Диодты аударып схеманы қайтадан іске қосыңыз. Сонда мультиметр диодтағы кері бағыттағы кернеуді U k көрсетеді «Тәжірибелердің нәтижелердің тарауында жазып диодтың тоғын тура және кері бағыта есептеңіз.
2 − тәжірибе. Токты өлшеу.
2 - суреттегі схеманы жинап іске қосыңыз. Мультиметр диодтағы тура бағыттағы токты көрсетеді. Диодты аударып қайтадан қосыңыз. Сонда мультиметр диодтағы кері бағыттағы токты көрсетеді. Алынған мәндерді «Тәжірибелердің нәтижелері» тарауында жазыңыз.
3 − тәжірибе. Диодтың статикалық кедергісін өлшеу.
Мультиметрді омметр режимінде пайдаланып диодтың тура және кері қосылуындағы кедергісін өлшеңіз. Кедергінің кіші мәндері тура қосылуына сәйкес.
4 − тәжірибе. Диодтың вольтамперлік сипаттамасын алу.
- ВА сипаттаманың тура бұтағы. 3 - суреттегі схеманы жинап іске қосыңыз. Кернеу көзінің мәндерін тізбекті түрде 5В, 4В, 3В, 2В, 1В, 0, 5В, 0В орнатып кернеудің алыңыз. Нәтижелерді кесте түрде жазыңыз.
- ВА сипаттаманың кері бұтағы. Диодты аударыңыз. Кернеу көзінің мәндерін тізбекті түрде 0В, 5В, 10В, 15В орнатып кернеудің және токтың мәндерін кестеде жазыңыз.
- Алынған мәндерге сүйене отырыпжәнеграфиктерде тұрғызыңыз.
- ВА сипаттаманың графигінде тура бұтағына нүктесінде жанама тұрғызып, диодтың дифференциалды кедергісін зерттеңіз. жәнеEquation. 3 нүктелерде процедураны қайталаңыз. Жауаптарын «Тәжірибелердің нәтижелері» тарауға жазыңыз.
- Кері байланыстағы 5В диодтың дифференциалды кедергісін 1 - пунктқа ұқсас зерттеңіз.
- Тұрақты токтадиодтың кедергісін есептеңіз.
- ВА сипаттамадан Кернеудің бүгілісін анықтау.
5 - тәжірибе. Осциллограф экранында ВА сипаттаманы алу.
4 - суреттегі схеманы жинап іске қосыңыз. Осциллограф экранында шыққан ВА сипаттаманы салып алыңыз.
Тәжірибелердің нәтижелері:
1-тәжірибе.
Тура бағыттағы кернеу
өлшеу
Кері бағыттағы кернеу
өлшеу
Тура бағыттағы ток
есептеу
Кері бағыттағы ток
есептеу
2-тәжірибе.
Тура бағыттағы ток
өлшеу
Кері бағыттағы ток
өлшеу
3-тәжірибе.
Тура бағыттағы диодтың кедергісі өлшеу
Кері бағыттағы диодтың кедергісі өлшеу
4-тәжірибе.
1. ВА сипаттаманың тура бұтағы
2. ВА сипаттаманың кері бұтағы
3. ВА сипаттамалардың графиктерін тұрғызу
- дегі Rдиф есептеу
- дегі Rдиф есептеу
- дегі Rдиф есептеу
5.
- дегі Rдиф есептеу
6.
R есептеу
7. Кернеудің бүгілісі есептеу
5 - тәжірибе.
Осциллограф экранында ВА сипаттаманы алу.
ЛАБОРОТОРИЯЛЫҚ ЖҰМЫС №
Дешифраторды зерттеу.
Жұмыстың мақсаты:
- Дешифратордың жұмыс істеу әдісімен танысу.
- Басқару сигналдарының дешифратордың жұмыс істеуіне әсерін зерттеу.
- Функционалдық модульдерді дешифратор негізінде зеріттеу және іске сыру.
Құралдар және элементтер.
Логикалық түрлендіргіш (преоброзователь)
Вольтметр
Логикалық тескіш
Қоректендіру көзі +5В
Генератордың көзі
Тактылы импульс генераторы
Екіпозициалы қосқыш
Демультипплексор
Қоректендіру сигналы “логикалық бірлік”
Микросхема 74138 - дешифратор 3х8
Теориядан қысқаша мәлімет.
- Комбинациялық схемалар.
Комбинациялық схема дегеніміз кірістегі мәндер мен шығыстағы мәндердің сигналдарын үйлестіретін логикалық схема. Комбинациялық схемаларды іске асыру үшін интегралды микросхема түрінде шығарылатын логикалық элементтер қолданылады. Бұл класқа мынадай интегралды схемалар жатады: дешифраторлар, имфраторлар, мультиплексорлар, демультиплексорлар және сумараторлар.
Бұл тақырыпта дешифратор схемасының орнына, алгоритмдері ұқсас болғандықтан демультиплексорлар қолданылған.
2. Дешифраторлар.
Дешифратор дегеніміз n информциялық кірістен және 2n шығыстан тұратын комбинациялық логикалық схема. Кірістегі әр комбинациялық логикалық деңгейге активті 2n шығыс деңгейі сәйкес келеді. Әдетте n 2, 3 немесе 4 - ке тең болады. 1 - суретте n=3 дешифроты көрсетілген және оның активті деңгей логикалық ноль деңгейі болып табылады. С; В; А кірісне келесідей комбинациялық логикалық деңгей ендіруге болады: 000, 001, 101 . . . , 111, барлығы 8 комбинация. Бұл тармағында төмен потенциал, ал қалған тармақтарында жоғарғы потенциял болатын 8 кірісті схема. Бір ғана шығыстағы активті (нөлдік) деңгей N санына байланысты. Ол кірістегі С, В, А күйлерімен анықталады: N=C2 2 +B21+F2 град. . х Мысалы, егер кірісне комбинациялық логикалық деңгей 011 берсек, онда микросхеманың 8 шығысының (Y0, Y1 . . . Y7) ішінде шығысында N=3 номерде сигналдық нольдік деңгейі (Ү3=0) болады да, қалғандарында логикалық бірлік орнатылады. Бұл әдісті келесідей жазуға болады:
1 - сурет
Көрініп тұрғандай шығыстағы Ү3=0 сигналдық деңгейі келесідей сипатталып тұр: Осындай күйде барлық шығыстағы дефишратордың мәндедін жазуға болады:
Y=C*B*A, Y4=C*B*A,
Y1=C*B*A, Y5=C*B*A,
Y2=C*B*A, Y6=C*B*A,
Y3=C*B*A, Y7=C*B*A,
A, B, C информациялық кірістен басқа дешифраторларда әдетте қосымща басқару кірісі G де болады.
Бұл кірістегі синалдар, дешифраторды функционалдауға немесе пассивті күйге өткізуге мүмкіндік береді. Бұқл жағдайда инфоромациялық кірістегі сигналдарға байланыссыз шығысында логикалық бірлік орнатады. Басқару кірісіндегі күймен анықталатын кейбір рұқсат беру функциялары бар деп айтуға болады. Дешифратордың рұқсат беру кірісі тура немесе инверсиялы болуы мүмкін.
Рұқсат беру кірісі тура болатын дешифратордың активті деңгейлі - логикалық бірлік деңгейі де, ал рұқсат беру кірісі инверсиялы болатын дешифратордың активті деңгейлі логикалық ноль деңгейі болады.
1 - суретте басқарылуы бір болатын инверсиялы кіріс болатын дешифратор. Бұл дешифратордың басқарылу әдісі төмендегідей:
Бірнеше басқару кірісі бар дешифратордың рұқсат беру функциясы, ереже бойынша барлық мүмкін болған сигналдардың логикалық туындысы. Мысалы, 74138 дешифраторы тура басқару кірісі G1 және екі G2А мен G2В үшін (2 - сурет) шығыс функциясы Yi және рұқсат беру G келесідей:
G=G1*G2A*G2B
2 - сурет
Дешифратордың басқару кірісі әдетте каскадтау (разрядтылықты күшейту) үшін немесе бірнеше схемалармен параллель жұмыс істегенде бір жалпы шығыс желісіне шығу үшін пайдаланылады.
3. Дешифраторды демультиплексор ретінде пайдалану.
Дешифраторды демультиплексор ретінде, кіріс сигналын бір шығыс сигналына жалғайтын логикалық коммутатор орнына пайдалануга болады. Бұл кезде информациялық кіріс сигналын - бір рұқсат беру кірісі атқарады да, ал С, В, А кіріс күйін шығыс номері (бұған кірістен рұқсат беру сигналы беріледі) алмастырады.
Тәжірибелерді жүргізу реті:
1 - тәжірибе. Негізгі күйінде 3х8 дешифраторының жұмыс істеу әдісін зерттеу.
... жалғасы- Іс жүргізу
- Автоматтандыру, Техника
- Алғашқы әскери дайындық
- Астрономия
- Ауыл шаруашылығы
- Банк ісі
- Бизнесті бағалау
- Биология
- Бухгалтерлік іс
- Валеология
- Ветеринария
- География
- Геология, Геофизика, Геодезия
- Дін
- Ет, сүт, шарап өнімдері
- Жалпы тарих
- Жер кадастрі, Жылжымайтын мүлік
- Журналистика
- Информатика
- Кеден ісі
- Маркетинг
- Математика, Геометрия
- Медицина
- Мемлекеттік басқару
- Менеджмент
- Мұнай, Газ
- Мұрағат ісі
- Мәдениеттану
- ОБЖ (Основы безопасности жизнедеятельности)
- Педагогика
- Полиграфия
- Психология
- Салық
- Саясаттану
- Сақтандыру
- Сертификаттау, стандарттау
- Социология, Демография
- Спорт
- Статистика
- Тілтану, Филология
- Тарихи тұлғалар
- Тау-кен ісі
- Транспорт
- Туризм
- Физика
- Философия
- Халықаралық қатынастар
- Химия
- Экология, Қоршаған ортаны қорғау
- Экономика
- Экономикалық география
- Электротехника
- Қазақстан тарихы
- Қаржы
- Құрылыс
- Құқық, Криминалистика
- Әдебиет
- Өнер, музыка
- Өнеркәсіп, Өндіріс
Қазақ тілінде жазылған рефераттар, курстық жұмыстар, дипломдық жұмыстар бойынша біздің қор #1 болып табылады.

Ақпарат
Қосымша
Email: info@stud.kz