Орта білім беретін мектепте атомдық физика бөлімі бойынша есеп шығару әдістемесі


ҚАЗАҚСТАН РЕСПУБЛИКАСЫ БІЛІМ ЖӘНЕ
ҒЫЛЫМ МИНИСТРЛІГІ
Қ. А. Ясауи атындағы Халықаралық Қазақ-Түрік университеті
Шымкент институты
Физика-математика факультеті
Физика кафедрасы
ДИПЛОМДЫҚ ЖҰМЫС
Тақырыбы: Орта білім беретін мектепте атомдық физика бөлімі бойынша есеп шығару әдістемесі
Орындаған: 141-14 тобының студенті
Г. М. Сарыбаева
Ғылыми жетекшісі: ф. -м. ғ. к. доцент
Д. Ә. Иманбеков
Шымкент 2008ж
Мазмұны
Кіріспе . . . 3
І-тарау. Орта білім беретін мектеп курсында физика
есептерін шығарудың маңызы және ролі
1. 1. Физикалық есептердің маңызы және классификациясы . . . 5
1. 2. Физика есептерін шығарудың тәсілдері мен әдістемесі . . . 8
ІІ-тарау. Орта білім беретін мектеп курсында атомдық физика
тарауын оқыту әдістемесі.
2. 1. Мектеп курсындағы атомдық физика тарауының жалпы әдістемелік ерекшеліктері . . . 12
2. 2. Мектеп курсындағы атомдық физиканың теориялық негіздері… . . . 14
ІІІ-тарау. Орта білім беретін мектеп курсында атомдық физика
тарауына есеп шығару әдістемесі.
3. 1. Атомдық физика негізінде есеп шығару әдістемесі . . . …. 30
3. 2. Мектеп физикасындағы атомдық және ядролық құбылыстарды динамикалық компьютерлік модельдерді пайдаланып оқыту . . . 48
Қорытынды . . . 50
Пайдаланған әдебиеттер . . . 51
Кіріспе
Қазақстан Республикасының «Білім туралы» заңында «Білім беру жүйесінің басты міндеті - ұлттық және адамзаттық құндылықтар, ғылым мен практика жетістіктері негізінде жеке адамды қалыптастыруға, кәсіби шеберлігін шыңдауға бағытталған білім алу үшін қажетті жағдайлар жасау: оқытудың жаңа технологияларын енгізу, білім беруді ақпараттандыру, халықаралық ғаламдық коммуникациялық желілерге шығу» деп білім беру жүйесін одан әрі дамыту міндеттері көзделеді.
Қазіргі таңда әлемнің өркениетті елдерінде қоғамды ақпараттандыру барынша кең өріс алуда. Осыған байланысты ақпараттану мен жаңа ақпараттық технологиялар кәсіби қызмет пен адамзат мәдениетінде де, мектептегі білім беру процесінде де ерекше мәнге ие болып отыр. Осыған орай қазіргі кезде егемендік алған Қазақстанда ғылым мен техниканы бүгінгі күн талаптарына сай дамытатын дарынды, таланты жастар тәрбиелеп шығару ісі мектепте оқытылатын жаратылыстану пәндері мұғалімдерінің алдына да үлкен міндеттер қоюда.
Қазіргі кезде жалпы орта білім беретін мектепте гуманитарлық пәндермен қатар физика пәні бойынша да терең әрі берік білімді қалыптастыруда үлкен тәжірибе жинақталған. Алайда теориялық білімді жеткілікті деңгейде игерген оқушылардың көпшілігі физиканың практикалық қолданысы мен мәселелерді шешуге келгенде қиналатындықтарын байқатады. Әрине физика есептерін шығару үшін теориялық мәселелерді білуі керек, демек, шығармашылық еңбек ете білуі, терең ойланып, күрделі мәселелерді шеше алатындай болуы керек.
I тарау. ФИЗИКА ЕСЕПТЕРІНІҢ МАҢЫЗЫ, КЛАССИФИКАЦИЯСЫ ЖӘНЕ ОЛАРДЫ ШЫҒАРУ ТӘСІЛДЕРІ
1. 1. Физикалық есептердің маңызы мен классификациясы
Мазмұнына қатысты физиканың жеке тарауларына, қарастырылатын құбылыстарға байланысты физика есептері төмендегідей бөлімдерге бөлінеді:
- механикалық;
- молекулалық физика;
- электромагнетизм;
- атомдық және ядролық физика.
Есептің жалпы құрылысы мен шешу тәсіліне қарай:
- ауызша есеп;
- сандық есеп;
- сапалық есеп;
- мәселе есеп;
- эксперименттік есеп;
- күрделі есеп;
- қызықты есеп деп бірнеше түрге бөлінеді.
Осы есептердің түрлеріне тоқталып өтейік.
1. Ауызша-сұрақ есептер - құрылысы қарапайым, ауызша жауап беретіндей етіп құрылады. Ауызша-сұрақ есептер қандай да бір физикалық құбылысты түсіндіруде, өтілген материалды еске түсіру кезінде, қайталау үшін жаттығу түрінде беріледі. Әдетте, мұндай есептердің мазмұнында сан мәліметтер болмайды. Сұрақ есептерді шығару барысында есептеулердің болмауы оқушылардың назарын физикалық мәніне аударуға мүмкіндік береді. Қойылған сұрақтарға жауаптарды негіздеу қажеттігі оқушыларды пайымдауға, физикалық заңдардың мәнін тереңірек ұғынуға үйретеді. Сұрақ-есептер, әдетте, бүкіл сыныпқа беріледі, оқушылар теориялық білімдерін саналы түрде іс жүзінде пайдалану жөнінен алғашқы қадам жасайды.
2. Сандық есеп. Бұл есептерде қойылған сұрақтардың жауабын есептеулерсіз алуға болмайды. Мұндай есептерді шығарғанда процестегі қандай да бір сандық сипаттамаларды сапалық анализбен толықтырады. Сандық есептер қиындығына қарай жай және күрделі болып бөлінеді. Жай есептер бір-екі амалмен шығарылатын есептер. Мұндай есептерді шығару енді ғана өтілген заңдылықтарды нақтылау үшін қажет.
3. Сапалық есептерде құбылыстың физикалық мәні ашылады. Есепті шығару кезінде физикалық құбылыстардың өмірмен байланыстылығын көреді.
4. Мәселе есеп - бір немесе бірнеше оқиғаларды қамтитын, бірнеше заңдылықтарға бағынатын, математикалық түрде шешілетін проблема түрінде беріледі. Есепті толық шешу үшін келтірілген құбылыстарды талдап, бір-бірімен байланысын анықтап, заңдарын жазып, проблемаға сай теңдеулер қорытып шығарып, математикалық түрлендірулер мен есептеулер жүргізу қажет.
5. Эксперименттік есептер - құрылысы жағынан мәселе есепке ұқсас, бірақ қажетті шамалар тәжірибе жүзінде алынады. Мұндай есептерді шығару үшін қойылған проблемаға байланысты қажетті заңдылықтарды анықтап, өлшеулер жүргізіп, тәжірибе жасайды. Қажетті шамаларды алғаннан соң эксперименттік есеп мәселе есепке айналады. Эксперименттік есепті шығару барысында оқушылар құрал-жабдықтармен танысып, физика құбылыстарын қолдан жасап, көзімен көреді.
6. Қызықты есептерде мәселенің әдеттен тыс қойылуы өзгеше және нәтижелердің кейінгі талқылауы әдетте оқушыларды қатты қызықтырады. Мұндай есептер өмірде кездесетін таңқаларлық оқиғалардың табиғатын анықтауға негізделген.
1. 2. Физика есептерінің тәсілдері мен әдістемесі
Физика есептерінің түрлері де, оны шешу тәсілдері де көп. Мұның себебі, аталған ғылымда қарастырылатын мәселелердің өте көлемді әрі күрделі болуында. Дегенмен де оқушылар оқу программасын жетік меңгеруі және есте сақтауы үшін есептерді көптеп шығаруы керек. Физика есебін шығаруда оқушылар теориялық мәселелерді бір емес, бірнеше рет қайталайды, осының нәтижесінде физикалық құбылыстар, заңдар мықтап есте қалатындай болады. Есеп шығару барысында оқушылар әр тараудың өзіндік ерекшклігіне қарай физикамен бірге математиканы, химияны, сызуды байланыстыра отырып, оның мағынасын арттырады.
Физикалық есептерді шығару тәсілдерінің мынадай түрлері кездеседі:
ІІ-тарау. ОРТА БІЛІМ БЕРЕТІН МЕКТЕП КУРСЫНДА АТОМДЫҚ ФИЗИКА ТАРАУЫН ОҚЫТУ ӘДІСТЕМЕСІ.
2. 1.
Аталған тарудың тағы бір ерекшелігі, оқушыларға ядродағы физикалық құбылыстарды түсіндірудің қиындығында. Себебі, олар көзге көрінбейтін, қолмен сезінуге болмайтын құбылыстар. Оларды эксперименттік тұрғыда сабақта түсіндіруге де қажетті демонстрациялық не лабораториялық приборлар жоқтың қасы әрі жасау да оңай емес. Осы жағдайлар ескеріліп, мектеп үшін атомдық физика туралы бірқатар электронды оқу құралдары жасалынған.
Атомдық физика жайлы негізгі мәселелерді түсіндіруде, ең алдымен, атом құрылысының күрделі екендігіне оқушылардың көзін жеткізу қажет. Ол үшін радиоактивтілік құбылысын қарастыруға болады. Радиоактивтілік - кейбір заттардың өзінше сәуле шығару қасиеті екендігі түсіндіріледі. Оның шындық факт екендігі радиоактивті элементтің ионизациялау, жылу және химиялық әсерлері арқылы дәлелденеді. Яғни, радиоактивті сәулелердің жәрдемімен зарядталған электроскоптың ионизациялануы, ыдыстағы судың жылынуы (1 гр. радийден бөлініп шығатын жылу арқылы 6 тәулік ішінде бір стакан суды қайнатуға бтуралы нақты мысал келтіру ойға қонымды), фотопластинкадағы кескіннің өңделіп байқалуы баяндалады. Ендеше, радиоактивті құбылыс - атомның ішінде өтетін процестің нәтижесі деп ой түйіндейміз. Бұдан, атом - күрделі бөлшек, оның құрылысы қандай, өзі қандай бөлшектерден тұрады? Деген сұрақ туындайды. Осы сұрақтарға жауап ретінде Резерфордтың фундаментальды тәжірибесі түсіндіріліп, атомның ядродан және электроннан құралатыны дәлелденеді. Ол теориялық тұрғыдан Резерфорд және Бор модельдері арқылы айқындала түседі.
2. 2. Мектеп курсындағы атомдық физиканың теориялық негіздері
Томсон және Резерфорд атомының моделі
Барлық заттар бөлінбейтін аса ұсақ бөлшектерден - атомдардан тұрады деген ұғым ерте қалыптасқан болатын. Егер атом шындығында заттың бөлінбейтін алғашқы кірпіштері болса табиғаттағы кездесетін сан алуан заттарға сан алуан атомдар қойылуы тиіс. Бұлай болуы бір жағынан күмән туғызады. Физика ғылымының дамуы барысында ХІХ ғасырдың аяғына қарата атомның қасиеттеріне байланысты жаңа тәжірибелік деректер жинала бастады. Мысалы М. Фарадей 1833 жылы электролиз құбылысын зерттеу барысында электролит ерітінділеріндегі ток иондарының реттелген қозғалысы екендігін анықтады.
Дж. Дж. Томсон жарықтың әсерінен (фотоэфект) шығатын бөлшектердің электр және магнит өрістерінде ауытқуын зерттей келе, электронды ашты. Электронның массасы атомның массасынан ондаған мың есе аз блғандықтан, Томсон атом құрылысының моделін диаметрі ~10
-10
м болатын үздіксіз оң зарядталған шардың ішінде электрондардың жүзім сияқты тұтасып орналасқан құрылымын ұсынды. Электрондардың тепе-теңдік
қалыптың маңында гармониялық тербеліс жасауының нәтижесінде (гармониялық осциллятор) атомдар монохроматтық толқындарды шығарады (немесе жұтадыс) . 1-сурет
Бірақта, жұқа металл пленкалардан электрондық шашырауы туралы Ленард пен α-бөлшектерінің шашырауы туралы Резерфорд тәжірибелерінде барлық бөлшектердің шашыраусыз және өте кішкентай бұрыштарға шамамен 1-3 0 ауытқи отырып фольгадан өтетіндігі көрсетілді. Тек, олардың кейбіреулері ғана (1 бірі) шамамен 135-180 0 болатын үлкен бұрыштарға ауытқиды. α-бөлшегі электроннан 7300 есе ауыр болғандықтан, мұндай шашыраудың себебі электрондар арқылы болуы мүмкін емес. Резерфорд, α-бөлшегінің шашырауы, өлшемдері атом көлемімен (диаметрі ~10 -14 м) салыстырғанда өте аз болатын, атом «ядросының» үлкен массалы оң зарядына жүреді деп болжады. (Мысалы, 1 м 3 платинадағы ядро көлемі 0, 3мм 3 ) .
Сондықтан басым бөлігі бос кеңістіктен тұратын атомда, электрондар статистикалық тепе-теңдікте бола алмайды. Олардың орнықтылығы астрономиядағы планеталар сияқты, тек қана динамикалық болуы мүмкін. Резерфорд атомның планетарлық моделін ұсынды
Резерфорд бойынша, атом центрінде өлшемдері 10 -15 -15 -14 м, массасы іс жүзінде атомның массасына тең және заряды Zе тең оң зарядталған ядро орналасқан, ал ядро төңірегінде сызықтық өлшемдері ~10 -10 м болатын аймақта атомның электрондық қабыршағын түзе тұйық орбита бойынша қозғалып жүретін Z электрондардан
тұратын зарядтар жүйесін құрайды. 2-сурет
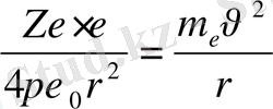
Кулондық күштің әсерінен шеңбер бойымен қозғалған электрон үшін Ньютонның екінші заңы ғана былай жазылады:
Мұндағы: m
e
және υ радиусы r орбитадағы электронның массасы мен жылдамдығы,
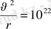
- диэлектрлік тұрақты. r ≈ 10
-10
м болған кезде электронның қозғалыс жылдамдығы υ ≈ 10
6
м/с, ал үдеуі
м/с
2
. Резерфорд моделі атом ілімінің дамуына үлкен әсерін тигізді, атом табиғатын дұрыс түсінуге мүмкіндік берді. Бірақ Резерфорд моделінің классикалық электродинамика тұрғысынан елеулі кемшіліктері болды.
1) электрон ядроны айналып қозғалғанда, оның қозғалысы үдемелі қозғалыс болғандықтан, ол үнемі электромагниттік толқын шығаруы керек, ал олай болса, электрон энергиясы азая береді. Электрон мен ядро арасы жақындай беріп, аз уақыт өткенде электрон ядроға құлап түсуі тиіс. Атом бұзылуы керек. Ал күнделікті тәжірибеден атом өте берік жүйе екендігі белгілі.
2) электрон ядроға жақындай берген сайын айналу периоды үздіксіз кеми береді. Осы кездегі шығарылған электромагниттік толқындардың жиілігі үздіксіз артып отырады. Сөйтіп, атомның шығарған электромагниттік толқын спектрі үздіксіз болуға тиіс. өмірде атомның шығарған спектрі үздікті, сызықтық спектр болып табылады. Мысалы сутегі атомының спектрлері - сызықтық спектрлер.
Сутегі атомының сызықтық спектрі.
Сиретілген газдардың (жеке атомдардың) сәуле шығару спектрлерін эксперименттік зерттеу, әрбір элементтің сипаттамалық сызықтық спектрі орындары қарапайым эмпирикалық формулалармен анықталатын сериялар жиынтығын құрайтындығы көрсетті. Мысалы, көрінетін спектр аймағында сутегі атомы сызықтарының орны Бальмер формуласымен сипатталады:
(1) немесе
жиілігі үшін:
(2)
мұндағы
- Ридберг тұрақтысы, көпшілігінде оны
қолданылады.
Ғалымдар сутегі атомының спектрлерін зерттеп, алшақ жатқан инфрақызыл және ультракүлгін аймақтарда қосымша серияларды тапты. Олар:
Лайман сериясы:
мұндағы
Инфрақызыл аймақ үшін:
Пашен сериясы:
мұндағы
Брэкет сериясы:
мұндағы
Перунд сериясы:
мұндағы
Хэмфри сериясы:
мұндағы
анықталады.
Бұл сериялардың барлығы Бальмердің жалпыланған формуласы арқылы анықталуы мүмкін:
мұндағы m=1, 2, 3, 4, 5, 6 серияларды анықтаса, ал n = m+1, n=2, . . . осы сериялардың жеке сызықтарын анықтайды. n артқан сайын серия сызықтары жақындай түседі; n=∞ мәні үлкен жиіліктер жағынан тұтас спектрге жанасатын сериялар шекарасын анықтайды.
Осыған ұқсас сериялар басқа атомдардың сызықтық спектрінде де байқалады.
Бор постулаттары. Франк пен Герц тәжірибелері.
Сызықтық спектрлердегі заңдылықтарды түсіндіру үшін 1913ж. Дания ғалымы Н. Бор классикалық физиканың теориясынан бөлек атом теориясын ұсынды. Ол Резерфорд атом моделі мен атомның спектр шығару және жұту процестерін біріктіретін идеяны алды. Бор тұжырымы бойынша классикалық электродинамика заңдарын атом ішіндегі процестерге қолдануға болмайды. Атом ішіндегі процестер Планктің кванттық теориясының заңдылықтарына бағынуға тиіс. Бор теориясында классикалық физикадан алынған көптеген ұғымдар бар еді, мысалы, электрон орбитасы, траекторисы туралы түсініктер және т. с. с. Бор атом ішіндегі электронның қозғалу заңдылықтарын көрсету үшін классикалық физиканың ұғымдарын толықтырды. Міне, осылай толықтырылған классикалық ұғымдар ең қарапайым жүйе - сутегі атомының спектрлерінің орналасу заңдылықтарын дұрыс түсіндіре білді. Бор теориясын тек қана сутегі атомының күйін сипаттап қоймай, сонымен қатар сутегі атомына ұқсас системаларға да қолдануға болатынын көрсетті. Мысалы, мұндай системалар: Не + , Li ++ және т. с. с.
Бірақ Бор жүйелі атом теориясын берген жоқ, ол жаңа теорияның негізгі қағидаларын постулаттар түрінде тұжырымдады, сонымен бірге классикалық физиканың заңдарынан да қол үзген жоқ, жаңа постулаттар классикалық физикада рұқсат етілген қозғалысқа кейбір шектеулер ғана қойды. Осыған қарамастан, Бор теориясының табысы айтарлықтай болып, кейіннен микробөлшектердің теориясы - кванттық механиканың шығуына себепші болды. Сонымен, Бор мынадай болжамдар (гипотеза) ұсынды. Кейін бұл болжамдар Бор постулаттары деп аталды.
Бордың бірінші постулаты (атомның стационарлық күйі) : атомдық жүйе стационар (уақытқа байланысты өзгермейтін) күйде болады, стационар күйде ол сәулелік энергия шығармайды. Атомның стационар күйіне бойымен электрондар қозғалатын стационар орбиталар сәйкес келеді.
Бұл постулат классикалық электродинамика заңына қайшы. Себебі, ядроны айналғанда электрон қозғалысы үдемелі қозғалыс, ал үдемелі қозғалыстағы электрон электромагниттік толқын шығаруы және электрон энергиясы кез-келген мәнге ие болуы керек.
Бордың екінші постулаты (жиіліктер ережесі) : атом бір күйден екінші күйге өткен кезде, сәйкес стационар күйлер энергияларының айырымына тең энергиясы мынадай сәуле (фотон) шығарылады немесе жұтылады
Атом энергиясы үлкен күйден энергиясы кіші күйге ауысқан кезде (электрон ядродан анғұрлым алыс орбитадан, оған жақынырақ орбитаға көшкен кезде) сәуле шығарылады. (Е
m
< Е
n
) .
Фотонның жұтылуы (Е m > Е n ) атомның энергиясы үлкен күйге ауысуы кезінде (электронның ядродан қашық орбитаға ауысуы) байқалады.
Кванттық ауысулар кезіндегі барлық мүмкін болатын дискреттік жиіліктер жиыны
атомның сызықтық спектрін анықтайды.
Бордың орбиталарды кванттау ережесі бойынша, атомның стационар күйіне сәйкес, электрон дөңгелек орбита бойымен қозғала отырып, мынадай шарттарды қанағаттандыратын импульс моментінің квантталған мәндеріне ие болуы тиіс
мұнда n=1, 2, 3, . . . m - электрон массасы, υ - электрон жылдамдығы, r - орбитаның радиусы.
Франк пен Герц тәжірибелерінде атомды стационарлық күйлердің болатындығы эксперимент жүзінде дәлелденді (3-сурет) .
Катодтан К эмиссия нәтижесінде шыққан электрондар катод пен тор С 1 арасындағы үдетуші потенциалдар айырымы φ әсерінен 1 аймақта үдетіледі. 2 аймақта электрондар сынап буы арқылы өте отырып анодқа А жетеді. Сынап атомның алғашқы қозған кездегі күйіне сәйкес энергиясы 4, 86 ЭВ тең. Үдетуші потенциалды φ осы шамаға дейін артырған кезде электрондардың атомдармен соқтығысуы серпімсіз болады. Электрон негізгі энергетикалық күйден бірінші энергетикалық күйге (сынап атомдарының энергияны жұтуы) ауысуды қоздыра отырып өзінің кинетикалық энергиясын толығымен атомға береді де - ток күші күрт төмендейді.
φ-ді одан әрі арттырған кезде, токтың осыған ұқсас кемуі энергия мәні ∆E=4, 86 эВ еселі болғанда, яғни электрондардың 2, 3 . . . серпімсіз соқтығысулары кезінде байқалады. Сөйтіп атомды стационар күйлердің бар екендігі байқалды (Бордың бірінші постулатының дәлелі) .
Сынаптың қозған атомдары, негізгі күйге ауыса отырып, толқын ұзындығы
нм жарық квантын шығарады (Бордың екінші постулатының дәлелі) .
Бор бойынша сутегі атомының спектрі
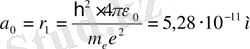
Дөңгелек стационар орбиталармен шектеле отырып, сутегі типтес жүйедегі электронның қозғалысын қарастырамыз. Ньютонның екінші заңы
( басқаша түрі:
) және импульс моментінің кванттау шарты:
, электронның n-ші стационар орбитасын анықтауға мүмкіндік береді:
Сутегі (Z=1) үшін электронның бірінші орбитасының радиусы (Бордың бірінші радиусы) мынаған тең:
Сутегіне ұқсас жүйеде электронның толық энергиясы кинетикалық және потенцилдық энергиялардың қосындысынан тұрады:
Орбитаны r n кванттау арқылы мынаны аламыз:
мұндағы минус таңбасы, электронның байланысқан күйде тұратындығын білдіреді.
Атомның энергетикалық деңгейін анықтайтын бүтін сан n, бас кванттық сан деп аталады (4-сурет) . Сутегі атомының энергиясының ең кіші мәні Е 1 =-13, 55эВ. n=∞ сәйкес келетін ең үлкен энергия Е ∞ =0 атомның ионизациялау энергиясы (Е=Е ∞ болған кезде электрон атомнан босап шығады) деп аталады.
n стационар күйінен m стационар күйіне ауысу кезде энергия квант шығарылады:
мұндағы :
R-дің теориялық мәні эксперимент жүзінде анықталған Ридберг тұрақтысының мәнімен сәйкес келеді. Бұл бор теориясының үлкен жетістіктерінің бірі болды.
Бор теориясы атомдық физиканың құрылуында, атомдық және молекулалық спектроскопияны дамытуда өте үлкен рөл атқарады, бірақта классикалық және кванттық көзқарастарды біріктіруде ішкі қайшылықтар пайда болады. Бор постулаттарына сүйеніп көп электронды атомдардың (ең болмағанда ядродан басқа екі электроннан тұратын қарапайым гелий атомын) спектрлерін түсіндіру мүмкін болмады.
Франк пен Герц тәжірибесі. Бор теориясын тәжірибелердің нәтижелерімен салыстыру.
Стационар күйлердің бар екені және энергияның сақталу заңы жөніндегі Бор постулаттарының шындығын тікелей тәжірибемен дәлелдеудің үлкен мәні болды. 1913ж. Неміс физиктері Л. Франк пен Г. Герц тәжірибе жүзінде осы айтылған постулаттардың шындығын дәлелдеді. Тәжірибелердің идеясы мынадай болды: стационарлық күйлердің бар екенін аңғару үшін атомға белгілі мөлшердегі энергия бергендегі оның өзгерісін зерттеу қажет. Егер стационар күйлер болмаса, яғни егер атомның ішкі энергиясы кез-келген мәнді қабылдай алатын болса, онда атомға белгілі мөлшерде энергия беріп, біз атомды міндетті түрде қоздыра алатын боламыз, яғни оның ішкі энергиясын арттырамыз. Егер стационар күйлер бар болса, онда ішкі энергияны арттыру үшін оған төменгі екі стационар күйлер энергияларының айырымынан артық болатын энергия жұмсау керек. Одан аз энергия жұмсағанда атом қозбайды да, оған берілетін энергия тек атомның түгелдей алғандағы кинетикалық энергиясын арттырады. Тәжірибе келесідей жасалды. Электр өрісінде үдей қозғалатын электрондар мен атомдарды атқылап, оларға белгілі бір энергия беру. ∆φ потенциалдар айырымын жүріп өткен электронның кинетикалық энергиясы:
.
Франк пен Герц экспериментальдық қондырғысының схемасы (5-суретте) берілген.
5-сурет
Үш электродты (катод-К, тор-Т және анод-А) шыны ыдыс төменгі қысымдағы сынап суымен толтырылған. Б1 батареясы үдетуші электр өрісін туғызады. К катод пен Т тордың арасындағы кернеу П потенциометрдің жәрдемімен реттеледі. Тор мен анодтың арасындағы Б2 батареясының жәрдемімен әлсіз - 0, 5В шамасындағы тежеуші кернеу туғызады. Бұл өріс баяу электрондардың анодқа жетуіне кедергі жасайды. Электрондар термоэлектрондық эмиссия негізінде К катодтан шығады. Тәжірибе жүзінде ток күшінің анодтық тізбегіндегі кернеуге тәуелділігі анықталады. Алынған тәуелділік қисық сызық түрінде 6-суретте берілген.
6-сурет
... жалғасы- Іс жүргізу
- Автоматтандыру, Техника
- Алғашқы әскери дайындық
- Астрономия
- Ауыл шаруашылығы
- Банк ісі
- Бизнесті бағалау
- Биология
- Бухгалтерлік іс
- Валеология
- Ветеринария
- География
- Геология, Геофизика, Геодезия
- Дін
- Ет, сүт, шарап өнімдері
- Жалпы тарих
- Жер кадастрі, Жылжымайтын мүлік
- Журналистика
- Информатика
- Кеден ісі
- Маркетинг
- Математика, Геометрия
- Медицина
- Мемлекеттік басқару
- Менеджмент
- Мұнай, Газ
- Мұрағат ісі
- Мәдениеттану
- ОБЖ (Основы безопасности жизнедеятельности)
- Педагогика
- Полиграфия
- Психология
- Салық
- Саясаттану
- Сақтандыру
- Сертификаттау, стандарттау
- Социология, Демография
- Спорт
- Статистика
- Тілтану, Филология
- Тарихи тұлғалар
- Тау-кен ісі
- Транспорт
- Туризм
- Физика
- Философия
- Халықаралық қатынастар
- Химия
- Экология, Қоршаған ортаны қорғау
- Экономика
- Экономикалық география
- Электротехника
- Қазақстан тарихы
- Қаржы
- Құрылыс
- Құқық, Криминалистика
- Әдебиет
- Өнер, музыка
- Өнеркәсіп, Өндіріс
Қазақ тілінде жазылған рефераттар, курстық жұмыстар, дипломдық жұмыстар бойынша біздің қор #1 болып табылады.

Ақпарат
Қосымша
Email: info@stud.kz