Трансформаторлар электр энергиясын өндіру, тарату және жеткізу


Трансформаторлар электр энергиясын өндіру, тарату және жеткізу.
Трансформатор (лат. transformo - түрлендіремін) - кернеулі айнымалы токты жиілігін өзгертпей басқа кернеулі айнымалы токқа түрлендіретін статикалық электрмагниттік құрылғы. Трансформатордың жұмыс істеу принципі электро-магниттік индукция құбылысына және параметрлік эффектіге негізделген. Негізгі элементтері магнитөткізгіш және онда орналасқан бірінші реттік орамалар (БРО) мен бір немесе бірнеше екінші реттік орамалардан (ЕРО) тұрады. Трансформатордың барлық орамалары бір-бірімен индуктивті түрде, ортақ магнит өрісімен байланысқан. Бірқатар Трансформаторларда екінші реттік орама қызметін бірінші реттік ораманың бір бөлігі атқарады, мұндай Трансформаторларды автотрансформаторлар деп атайды. Бірінші реттік орамаларның шықпаларын (Трансформатордың кірісі) айнымалы кернеу көзіне, ал Екінші реттік орамаларның шықпаларын жүктемеге қосады. Бірінші реттік орамалардағы айнымалы ток магнитөткізгіште айнымалы магнит ағынын, ал Екінші реттік орамалардағы өзараиндукция электр қозғаушы күш (ЭҚК) тудырады. Бірінші және екінші реттік орамалардағы кернеулердің қатынасы олардағы орамдар санының қатынасына тең болады. Түрлендіретін ток түріне қарай 1 фазалы және 3 фазалы Трансформаторлар болады. Атқаратын қызметіне қарай олар күштік немесе қоректендіру Трансформаторлары (электр энергиясын таратуға арналған), жоғары кернеулі сынақ Трансформаторлары, ток немесе кернеу импульстерін түрлендіру үшін қолданылатын импульстік Трансформаторлар, үлкен токтар мен кернеулерді өлшеуге арналған өлшеуіштік Трансформаторлары, жоғары жиілікті кернеулерді түрлендіруге арналған радиожиілікті Трансформаторлар және радиоэлектрондық құрылғылардың қоректендіруші блоктарында қолданылатын , т. б. бөлінеді.
Импульстік Трансформаторлар мен қоректендіру
Трансформаторлары бірнеше Гц-тен 2 МГц-ке дейінгі жиілікте, радиожиілікті Трансформаторлар 500 МГц-ке дейінгі жиілікте жұмыс істейді. Трансформаторлардың магнитөткізгіштігі магниттік өтімділігі жоғары материалдардан (мысалы, электртех. болат таспаларынан, магнитодиэлектриктер мен фериттерден) жасалады. Электрмен жабдықтау жүйелерінде, негізінен майлы Трансформаторлар қолданылады. Күштік Трансформаторлар Қазақстанда Кентау трансформатор зауытында шығарылған. Қазіргі кезде электр-механикалық жабдықтар осы зауыттың негізінде құрылған Трансформатор ААҚ-да шығарылады. [2]
Трансформатор - айнымалы токтың кернеуін жоғарылатуға немесе төмендетуге арналған электр приборы. Үй жағдайында, трансформаторды пайдаланып, электр приборын кернеуі 127 В желілен кернеуі 220 В желіге және керісінше қосуға болады. Егер трансформатор жоғары кернеулі желіге ауыстырылып қосылса, онда оны кернеуі 220 Вжеліге қосуға болмайды. Өйткені одан алынатын жоғары кернеу (380 В-тан астам) транформаторлық және ол арқылы қосылған электр приборларының бұзылуына әкеліп соқтыруы мүмкін. Трансформатор таңдаған кезде оның қуаты электр приборларын бір мезгілде қоректендіруге арналған құрал-
жабдықтардың жалпы қуатынан кем болмауын есте сақтаған жөн.
Әр түрлі құралдар мен қондырғылар тұтынатын кернеу өте кең диапазонда өзгереді. Тіпті бір электр қондырғысы әр түрлі кернеу пайдалануы мүмкін. Қуаттың тұрақты дерлік мәнінде айнымалы ток кернеуінің ток күшімен қатар өзгеруін айнымалы токтың трансформациясы дейді. Айнымалы токтың трансформациясын жүзеге асыратын құрал трансформатор деп аталады. Ол электромагниттік индукция құбылысының негізінде жұмыс істейді. Бұл құралды орыс ғалымы П . Н . Яблочков (1878 ж. ) ойлап тапқан, кейін оны (1882 ж. ) И . Ф . Усагин жетілдірді.
Қазіргі трансформаторлар, Фуко тогын 24-сурет азайту үшін оқшауланған пластиналардан құралған тұйық өзекшеден түрады. Өзекше пластиналары трансформаторлық болаттан жасалады, ол өте аз шығынмен оңай қайта магниттеледі. Өзекшеге екі катушка кигізіледі (2. 24-сурет) . Бір катушка айнымалы ток тізбегіне қосылады, оны біріний реттік орама (катушка) дейді. Екінші катушкаға тұтынушы, яғни электр қондырғыларын қосады. Оны екінші реттік орама (катушка) деп атайды. Катушкалардың активті кедергілері аз. Генератор бірінші реттік катушкаға айнымалы кернеу береді. Оның бойынан жүретін айнымалы ток трансформатордың өзекшесінде айнымалы магнит ағынын тудырады. Олай болса, бірінші реттік катушканың әр орамында өздік индукция ЭҚК-і, ал екінші реттік катушканың әр орамында дол сондай индукциялық ЭҚК-і пайда болады.
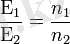
Егер бірінші реттік катушканың орам саны
, ал екінші реттік катушкада
болса,
,
, мұндағы
- бір орамдағы индукциялық ЭҚК. Осы екі өрнектен
(2. 21)
шығады. Активті кедергі аз болғандықтан, бірінші реттік катушка үшін
аламыз.
Жүктемесіз трансформатор
Екінші реттік катушкаға жүктеме қосылмасын (2. 25, а-сурет), яғни трансформатор зая жүрісте болсын. Онда екінші реттік орамада ток жүрмейді, сондықтан жуықтап алғанда оның қысқыштарындағы кернеу
. Жүктеме жоқ кезде екінші реттік тізбекте энергия шығыны жоқ. Ал бірінші реттік тізбекте жалғаушы сымдар мен өзекшенің джоульдік жылу бөліну есебінен қызуына және өзекшенің қайта магниттелуіне кететін өте аз энергия шығыны бар, мұны ескермесе де болады. Сонымен, трансформатордың зая жүрісі үшін (2. 21) -ді ескере отырып,
аламыз, мұндағы
- трансформация коэффициенті, яғни екінші және бірінші реттік катушкалардың орам сандарының қатынасына тең шама. Трансформатордың зая жүрісінде
. Егер
болса,
трансформатор төмендеткіш, ал
болса,
, бұл трансформатор жоғарылатқыш деп аталады. Жоғарылатқыш трансформатордың бірінші реттік катушкасының орам саны екінші реттік катушканың орам санынан аз, ал төмендеткіш трансформаторда керісінше.
Жүктемелі трансформатор
Екінші реттік тізбекке қандай да бір жүктеме қосайық (2. 25, ә-сурет) . Онда бұл тізбекте жиілігі бірінші реттік тізбектегі ток жиілігіне тең
айнымалы ток туады. Сондықтан екінші катушкада өздік индукция ЭҚК-і пайда болады, оның үштарындағы кернеу аздап төмендейді. Ленц ережесі бойынша өздік индукция ЭҚК-і магнит ағынын азайтады. Бұл магнит ағыны екі катушканы бірдей тесіп өтетін болғандықтан, оның азаюы бірінші реттік катушкадағы өздік индукция ЭҚК-і
-дің кемуіне әкеп соғады. Ал, онда бірінші тізбекте
кернеудің мәні тұрақты болса да ток күші артады.
Өз ретінде бірінші реттік тізбектегі ток күшінің өсуі магнит ағынының артуын тудырады, онда екінші реттік тізбектегі индукциялың ЭҚК-і мен ток күші артады. Бұдан әрі осы сипатталған процестер берілген жүктеме үшін белгілі бір магнит ағыны, екінші реттік тізбектегі индукциялық ЭҚК-і жәнө бірінші реттік тізбектегі
ток күші түракталғанша жүре береді.
Енді трансформатор генератордан өзінің зая жүрісіне қарағанда екінші реттік тізбек тұтынатын қуатқа тең қуатты көбірек алады. Егер аздаған энергия шығынын ескермесек, энергияның сакталу заңы бойынша, генератордың энергиясы бірінші реттік тізбектен екінші реттік тізбекке магнит өрісі арқылы беріледі. Сондықтан шығынды ескермей, былай жазуға болады:
, бұдан
Кернеуді неше ece арттырса, ток күші сонша есе кемиді. Қазіргі трансформаторлардың пайдалы әрекет коэффициенті
өте жоғары, ол 99%-ға дейін жетеді, яғни шығын бар болғаны 1-2%.
Электр энергиясын өндіру және жеткізу
... жалғасы- Іс жүргізу
- Автоматтандыру, Техника
- Алғашқы әскери дайындық
- Астрономия
- Ауыл шаруашылығы
- Банк ісі
- Бизнесті бағалау
- Биология
- Бухгалтерлік іс
- Валеология
- Ветеринария
- География
- Геология, Геофизика, Геодезия
- Дін
- Ет, сүт, шарап өнімдері
- Жалпы тарих
- Жер кадастрі, Жылжымайтын мүлік
- Журналистика
- Информатика
- Кеден ісі
- Маркетинг
- Математика, Геометрия
- Медицина
- Мемлекеттік басқару
- Менеджмент
- Мұнай, Газ
- Мұрағат ісі
- Мәдениеттану
- ОБЖ (Основы безопасности жизнедеятельности)
- Педагогика
- Полиграфия
- Психология
- Салық
- Саясаттану
- Сақтандыру
- Сертификаттау, стандарттау
- Социология, Демография
- Спорт
- Статистика
- Тілтану, Филология
- Тарихи тұлғалар
- Тау-кен ісі
- Транспорт
- Туризм
- Физика
- Философия
- Халықаралық қатынастар
- Химия
- Экология, Қоршаған ортаны қорғау
- Экономика
- Экономикалық география
- Электротехника
- Қазақстан тарихы
- Қаржы
- Құрылыс
- Құқық, Криминалистика
- Әдебиет
- Өнер, музыка
- Өнеркәсіп, Өндіріс
Қазақ тілінде жазылған рефераттар, курстық жұмыстар, дипломдық жұмыстар бойынша біздің қор #1 болып табылады.

Ақпарат
Қосымша
Email: info@stud.kz