Қазақстанда мөлшерден тыс ылғалдану қалыптасуының синоптикалық жағдайлары


Жұмыс түрі: Курстық жұмыс
Тегін: Антиплагиат
Көлемі: 26 бет
Таңдаулыға:
КІРІСПЕ
Ауыл шаруашылығына жылдың жылы мезгіліндегі ауа райының күрт ауытқуын болжау өте маңызды, әсіресе мөлшерден тыс ылғалдану кезеңдері.
Артық ылғалдану деп, түскен жауын-шашынның буланудан артуы және судың топыраққа сіңуін айтамыз. Жылдың жылы мезгілінде мөлшерден тыс ылғалданудың қолайсыз әсері, көбінесе, ауылшаруашылығына тиеді, мысалға, бидайдың және тағы да баса ауылшаруашылық дәнді-дақылдардың өсіп-өнуіне, пісіп жетілуіне және науқанға кері әсерін тигізеді. Сондықтан да, артық ылғалданудың ұңғыл-шұңғылын зерттеп меңгеру метеорологтар алдындағы шоғыры биік толғақты мәселелердің ең маңызды тапсырмасы болып табылады.
Жалпы ылғалдану солтүстіктен оңтүстік бағытта төмендейді, бірақ кейбір аймақтардың рельеф ерек шіліктері, климаттық режимнің қалыптасуына әсер етуіне байланысты, бұл заңдылық үнемі сақтала бермейді.
Артық ылғалдануды болжау кезінде, оның кеңістікпен таралуы және пайда болуын білу өте маңызды. Бұндай мәліметтер, артық ылғалдануды алдын ала ұзақ мерзімге болжау барысында көмегін тигізеді.
Бұл құбылысты зерттеу негізгі үш жолмен: статистикалық, геофизикалық және синоптикалық жолдармен жүргізілген. Зерттеу нәтижелерінде көбінесе ылғалданудың әлсіз түрі басым байқалған. Сондықтан осы мәселеге ерекше көңіл бөлінді.
Осы жұмыста Қазақстан территориясы бойынша салыстырмалы біркелкі орналасқан 37 метеостанцияның температура және жауын-шашын мәліметтерін пайдалана отырып, Sі параметрі негізінде атмосфералық ылғалданудың кеңістік бойынша таралуы мен қайталанушылығы зерттелді.
1 ӘДЕБИЕТТЕРГЕ ШОЛУ
Артық ылғалдану дегеніміз, түскен жауын-шашынның буланудан артуы және судың топыраққа сіңуі [1] .
Ылғалдану жалпы, солтүстіктен оңтүстік бағытқа қарай төмендейді, бірақ кейбір аймақтардың рельеф ерекшеліктері, климаттық режимнің қалыптасуына әсер етуіне байланысты, бұл заңдылық үнемі сақтала бермейді. Ылғалдану тәртібінің, яғни артық және жеткіліксіз ылғалдылықтың қайталанушылығы, шамамен 15-20 жыл өзгермелілік кезектес айналымда болады.
Метеорологияның көптеген міндеттерін шешу метеорологиялық құбылысты немесе жағдайды жіктеу қажеттілігіне байланысты болып келеді. Мысалы, ауа райын синоптикалық ұзақ мерзімге болжау әдістері ірі өлшемді процесстерді талдауға және олардың қайта құрылу өзгешеліктеріне негізделген. Макросиноптикалық процесстерді объективті жіктеу қажеттілігі үлкен. Мысалы, Р. М. Вильфанд пен А. А. Бурцевтің жұмыстарында метеорологиялық алқаптарды объективті түрде жікте үшін Б. А. Голвкиннің рекурентті алгоритмі қолданылған [2, 3, 4] . Бұл алгоритм класстарды сипаттайтын, эталонды объектілерді анықтап, барлық объектілерді класстар бойынша бір мәнді таратып және арнайы критерийлердің көмегімен оның тиімді жағынан класстардың сапасын анықтауға мүмкіндік береді. Сондай-ақ бұл алгоритмнің негізгі жетістігі болып, жіктеуге түскен көптік объектілердің кеңістікті құрылымы туралы қандай-да бір ұйғарымдардың жоқ болуы табылады. Алгоритмнің бастапқы мәліметтері болып тек объектілері арасындағы арақашықтық табылады. Вильфанд пен Бурцевтің жұмыстарында келтірілген метеорологиялық алқаптарды объектілері жіктеу бойынша көп сандық эксперименттер Головкиннің алгоритмі объектілерді класстар бойынша тиімді етіп бөлуді және эталонды объектілерді анық айқындауды жүзеге асыруға мүмкіндік беретінін көрсетті. Осындай объективті жіктеу құрғақшылық немесе ылғалдану дәрежесі бойынша Қазақстанның температуралы-ылғалды жағдайын сипаттайтын
параметрін жіктеуге де жүргізілді [5] . Д. А. Педь енгізген
параметрі құрғақ және артық ылғалданған кезеңдердің қарқындылығын, ұзақтығын және уақыт бойынша таралуын бейнелеуге мүмкіндік береді. Параметр мәнінің таңбасына байланысты жаздың әрбір төрт айына қатысты негізгі екі класс анықталды. Бірінші класты эталонды алқап қазақстанның көптеген бөлігінде әлсіз құрғақшылықпен сипатталады. Бұл кезде
мәні оңтүстіктен солтүстікке қарай өседі. Қостанай және Солтүстік Қазақстан облыстарында қарқындылығы 2, 0-ге тең күшті құрғақшылық ошағы орналасады. Онша үлкен емес аздаған ошақтар республиканың шығыс, оңтүстік және батыс аудандарында кездеседі. Екінші класты эталонды алқап маңызы жағынан бірінші класқа кері болып келеді. Яғни, мөлшерден тыс ылғалдану ошағы Қазақстанның барлық территориясын қамтыды.
минус 0, 3-ке тең ошақ Ақтөбе және Солтүстік Қазақстан облыстарының солтүстігінде орналасса, оның минус 4, 9-ға тең мәні Қағанды облысында байқалды. өте күшті мөлшерден тыс ылғалдану ошағы республиканың шығыс бөлігінде орын алады. Тек Жамбыл облысында ғана оның жергілікті ошағы қалыптасты.
Маусым айында
алабының бірінші класы зерттелген территорияның шығыс бөлігінде құрғақшылықтың болуымен айырмашылығы болды. Күшті құрғақшылық алқабы Талдықорған облысында байқалды. Ал Қазақстанның батыс және солтүстік-батыс аудандарында ылғалдануға жақын тенденция ошағы қалыптасады. Мөлшерден тыс ылғалданудың жергілікті ошағы Солтүстік Қазақстан облысында орналасқан. Екінші класты эталонды картада зерттелетін аймақтың барлығы дерлік мөлшерден тыс ылғалданумен қамтылған. өте күшті мөлшерден тыс ылғалдану ошағы республиканың орталық аймақтарында байқалса, ал Қарағанды және Жезқазған облыстарында оның мәні минус 3, 0-ге тең. Орал, Атырау және Маңғыстау облыстарында әлсіз құрғақшылық байқалады.
Шілде айындағы бірінші класты эталонды картада республиканың барлық территориясында оң таңбалы
параметрінің басым болумен сипатталады. Жезқазған, Қызылорда және Жамбыл облыстарында құрғақшылық ошағы қалыптасқан. Әлсіз мөлшерден тыс ылғалдану республиканың батысында байқалады. Екінші класты
алабы бірінші класқа түгелдей қарама-қайшы болып келеді. Яғни әлсіз құрғақшылық республиканың батыс және қиыр оңтүстігінде орын алса, ал территорияның қалған бөлігін әлсіз мөлшерден тыс ылғалдану ошағы алып жатыр, оның негізгі ошақтары Қарағанды және Шығыс Қазақстан облыстарында байқалады.
Тамыз айында бірінші класты эталонды алқапта Қазақстан территориясының басым бөлігінде әлсіз құрғақшылықтың сақталуымен сипатталады, оның ошақтары Қостанай, Торғай әне Ақмола облыстарында қалыптасады. Бұл айда күшті құрғақшылық мүлдем байқалмайды.
параметрінің оң таңбалы көрінісінде әлсіз мөлшерден тыс ылғалдану ошағы Ақмола мен Қарағанды облыстарында байқалады. Ал республиканың батыс аймақтарында әлсіз ылғалдану ошағы орналасады. Екінші класты эталонды алқап бүкіл Қазақстан территориясы бойынша әлсіз ылғалданумен сипатталады. Күшті мөлшерден тыс ылғалдану ошағы Қазақстанның солтүстік-шығысында, Көкшетау және Солтүстік Қазақстан облыстарында орналасады. Тек қиыр батыс пен республиканың оңтүстік-шығысында әлсіз құрғақшылық ошағының болуы ықтимал. Бұл зерттелген әртүрлі аспектілердің ғылыми тұрғыдан ғана емес, сонымен қатар, тәжірибелік маңызы бар, яғни болжауларды қолдануға әбден болады.
Ылғалдылық тәртібіне, вегетация кезеңінде, Еуропа және Азияның қуаңшыл территорияларына зоналдық батыс тасымал түрінің бұзылуы әсер етеді, яғни зоналдық емес процесстердің қайталанушылығы көбейген сайын, соғұрлым жауын-шашын жиынтығының көбеюіне әкеледі. Сондықтан табиғат бойынша қарама-қарсы, әсіресе, жылдың жылы кезеңіндегі бұл құбылыстың сипаттамасы үшін сандық критерийлерді зерттеу туындады.
Жалпы, климаттық аудандастыруда аймақтардың ылғалдану дәрежесі ең маңызды критерийлердің бірі болып саналады. Аймақтар бойынша ылғалдануды есептеу әдісінде жауын-шашын мөлшерінің булануға қатынасы арқылы есептелетін ылғалдану көрсеткішінің дәлдігі жоғары болып келеді.
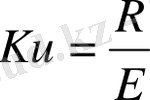
Көптеген жағдайларда ылғалдану көрсеткіші ретінде жауын-шашынның (мм) оң таңбалы орташа тәуліктік температуралар жиынтығына қатынасын есептеу ұсынылды:
, (1)
мұндағы:
R - сәуір-шілде айларындағы, яғни вегетациялық кезең ішіндегі жауын-шашын мөлшері, мм,
t - сол кезең ішіндегі 10 °С-тан жоғары орташа тәуліктік температуралар жиынтығы.
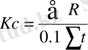
К с шамасына байланысты климаттық жағдайлардың келесі түрлері бекітілген: К с =0, 5 болған кезде аз жауын-шашын және өте құрғақ; К с =0, 5÷1, 0 - құрғақ және жеткіліксіз ылғалды; К с ≥1, 0 болғанда артық ылғалдану қалыптасады. Аумақтың ылғалдануын бағалаудың мұндай әдісі құрғақшылықты зерттегенде, әсіресе агрометеорологтар арасында кең таралған.
Сондай-ақ, Г. Т. Селянинов ылғалдану көрсеткіші және жаздық астық өнімділігі арасында байланыс бар екенін көрсетті [6] . Яғни ең жоғарғы өнім К с =1, 2 болғанда байқалады, ал К с <1, 2 болғанда, құрғақшылық құбылыстарының дамуына байланысты ол төмендейді және К с >1, 2 болғанда, өнімділік артық ылғалданудың әсерінен азаяды. Бірақ К с критерийінің бірқатар кемшіліктері бар:
а) ол тек
R және
t ескереді және топырақ ылғалдылығы туралы мәліметтерді енгізбейді;
б)
К
с
шамасы,
R және
t мәндерінің әртүрлі комбинацияларында алынуы мүмкін, ол өз кезегінде әрдайым қандай да бір нәтиже туғызбайды. Мысалы,
t=15·30 және
R=18 мм немесе
t=30·30 және
R=36 мм болғанда,
К
с
=0, 4 болады. Екінші нұсқасы күшейтілген транспирация салдарынан өсімдіктерге қауіптірек болады;
в) К с критерийі тек далалық және орманды дала зоналарына ғана жарайды;
г) К с көрсеткіші үшін уақыт ұзақтығының мәні зор. Неғұрлым кезең қысқа болса, соғұрлым гидрометеорологиялық көрсеткіш аз болады. Оларға көктемге қарай топырақта жиналатын немесе алдыңғы түскен жауын-шашындар нәтижесіндегі ылғалдылық қорлары әсер етеді;
д) К с түзілген жағдайлардың кәдімгі күйден ауытқуларын білдірмейді, тек абсолюттік шаманы ғана береді.
Жер шары бойынша ылғалдануды аудандастырған Н. Н. Иванов [7] . Бұл автор да жауын-шашын мөлшерінің булануға қатынасын есептеу арқылы ылғалдану көрсеткішін алуға болатынын көрсетті:
, (2)
мұндағы:
Е=0, 0018(t -25) 2 ·(100-а),
t - орташа айлық ауаның температурасы,
а - оның орташа айлық салыстырмалы ылғалдылығы.
Тым ылғалданған топырақ жағдайында атмосфералық құрғақшылық эффектісі (ылғалдылық мол қоры немесе суару) едәуір азаяды. Ауа құрғақшылығы, мысалы Тәуелсіз мемлекеттер достастығының (ТМД) еуропалық аумағының оңтүстік-шығысында, топырақтың жеткілікті ылғалдану жағдайында жоғары өнімдерді алуға кедергі етпейді.
Соңғы уақыттарда мөлшерден тыс ылғалдануды есептеу үшін Д. А. Педьдің S і критерийін кеңінен қолданады [8] . Бұл кезде жылдың нақты бір кезеңінде кез-келген ауданның артық ылғалдануын немесе құрғақшылығын сипаттайтын S і индексін тапқан кезде Т, R және Е мәндерін емес, климаттық нормасымен салыстырғандағы олардың ауытқу мәндерін алу керек.
S
і
индексін анықтағанда бұл факторлардың кез-келгені (
Т,
R,
Е) құрғақшылықтың қалыптасуына оң үлесін қосуы қажет, сонда
S
і
ең жоғарғы мәнге дейін өсу керек. Артық ылғалдануда, жекелеген факторлар бұл құбылысқа қолайлы жағдай туғызғанда,
S
і
индексі ең аз мәнге ие болады.
S
і
индексіндегі
Т,
R, және
Е ауытқулары көбінесе, метеорологиялық алаңдардың ауытқуларымен бекітіледі. Бұл үш параметрлерден
Т және
Е мәндерінің бір бөлігі нормалы таралу мәніне жақын, ал
R - одан қатты ерекшеленеді, әдетте, үлкен ассиметриямен сипатталады. Сондықтан,
R параметрін нормаға келтіріп, сосын есепке қосқан жақсы болар еді, алайда бірінші жағдайды есепке алмауға болады.
Автордың көзқарасымен атмосфераның құрғақшылығы мен мөлшерден тыс ылғалдануды келесі формуламен есептеледі:
, (3)
Бұл формулаға талдау жасайық:
а) құрғақшылықтар үшін:
>>0 және
>0,
және
<0,
және
<0, сонда
;
б) артық ылғалдану үшін:
және
<0,
R>>0 және
>0,
>>0 және
>0, сонда
S
і
0.
Сөйтіп, құрғақшылық болған жағдайда S і >0, ал артық ылғалдануда S і < 0.
Тәжірибе жүзінде арнайы мақсаттар үшін әрбір і пункт үшін S і -ді жеке анықтағанды, сосын, арнайы S і анықтағанды ұсынамыз. Оларға S і =0 өтпелі шекаралық сызығы бар, S і >0 және S і <0 аймақтарын айқындау қажетті. Әрбір аймақ әртүрлі S і -ді сипаттайтын болады, мұнымен бірге S і көп болған сайын, құрғақшылық арта түседі. Керісінше, S і <0 алқабы артық ылғалданумен ерекшеленеді, егер S і аз болса, және құбылыс көбірек айқындалады. Нақты жағдайларда S і ауытқуының, құбылыстың едәуір аздап эстремалды күйге жеткенге дейін кең аралығы бар. Олардың ауыл шарушылық өндірісіне қауіптілік деңгейі бойынша, тәжірибелік жолда әрбір жеке пункт үшін шекаралық мәндерін бекітеді.
Қазіргі кезде
S
і
индексіне кіретін барлық элементтерді біз енгізе алмаймыз. Топырақ қабатының (1м-ге дейін) ылғалдығы бойынша Е және
есептелген мәндері әрдайым болмайды. Ауа температурасын және атмосфералық жауын-шашынды енгізетін мұндай индекс шын құрғақшылық немесе артық ылғалдану күйін белгілемеді, ол атмосфералық факторлар есебінен олардың потенциалды мүмкіндігін, яғни құрғақшылықтың метеорологиялық жағдайларын белгілейді.
Нақты бір бөлімше және уақыт (әдетте, маусым айы) үшін қойылған есепті шешкен кезде
S
і
мәнін есептеп, қисық таралуларды құрайды. Мысалы, Мәскеу және Астана қалалары бір-бірінен ерекшеліктері болатын болса да, ол симметриялы болды. Бұл қисық екі жартыға бөлінеді, яғни
S
і
S
о
жағында артық ылғалдану басым жағдайлар орналасады, мұнымен
S
і
азайған сайын ылғалдану деңгейі ұлғаяды.
Бірыңғай алаңда S і карталарын құрған және талдаған кезде жазда біркелкі емес түсетін нөсерлі жауын-шашын есебімен түзілетін S і -дің аз шамасы бар дақтар пайда болуы мүмкін. Олар, ережеге сай, топырақпен аз сіңіріледі және ауыл шаруашылық өндіріс үшін онша пайда әкелмейді.
Атмосфераның артық ылғалдануының климаттық ерекшелігіне тоқталайық. Артық ылғалдануды болжау кезінде, оның кеңістік бойынша таралуын және пайда болуын білу өте маңызды. Бұндай мәліметтер, артық ылғалдануды алдын ала ұзақ мерзімге болжау барысында көмегін тигізеді.
В. К. Иванов құрғақ және ылғалды жылдардың айналымдық қайталануын анықтады [9] . Украинада және орталықта, Батыс Сібірде қара топырақты зонада құрғақ жылдары (1928, 1934, 1938, 1946 жж. ) өте ылғалды болды. Жазғы жауын-шашын мөлшері бойынша қарама-қарсы ылғалданумен ТМД-ның Еуропалық бөлігі және Батыс Сібір (1905, 1917, 1924 жж. ) ерекшеленеді. Мұндай тенденция Батыс Сібір және Украинаның ылғалдануында (сәуір-маусым) да байқалған. Бұл қасиет, әсіресе, ең ылғалды және құрғақ жылдары көрінеді. Батыс Сібірде жоғарғы өнімділік және жақсы ылғалданумен бөлінген жылдар, Украинада құрғақ, аз өнімді және керісінше болды. Батыс Сібір құрғақшылықтарына Орта Азиядағы мол ылғалдану сәйкес келеді.
S
і
параметрінің жіктелуі келтірілген: әлсіз (минус 1-ден минус 2-ге дейін), орташа (минус 2-ден минус 3-ке дейін) және қатты (минус 3-тен төмен) артық ылғалдану. Практикалық мақсаттар үшін орташа және қатты
S
і
қарқындылық құбылыстар қызығушылық тудырды. Сондықтан және артық ылғалданудың климаттық жағдайларын зерттеуді, олардың болу мүмкіндігін (
, %)
S
і
минус 2, 0 және
S
і
минус 3, 0 айлар бойынша, сосын барлық көктемгі жазғы кезең үшін жекелеген пункттер бойынша есептеулерді бастады.
Ауыл шаруашылығының көптеген салаларына артық ылғалдану қауіпті құбылыс болып саналады. Құбылыстың қарқындылығы (
S
і
минус 3, 0) территория бойынша біркелкі емес. Екі ауданды анық көруге болады, бірнеше жерде ол жиі (2 %-дан аз), солтүстікте Баренц және Карск теңіз жағалауында, Батыс Сібірдің солтүстігінде және шығыс бөлігінде, сонымен қатар Солтүстік Кавказда, Қазақстанның орталық және оңтүстік облыстарында. Бұл зоналар арасында қайталанушылығы 2 % асатын аумақ орналасқан, және де 4 % артық жиілікпен үлкен ошақтар бар. Ол бұрынғы Кеңестік Социалистік Республика Одағының (КСРО) шығыс жағында, Батыс және Солтүстік Қазақстанда және Батыс Сібірдің оңтүстік-батысында орналасқан. Мұндай күшті артық ылғалданудың пайда болып таралу себебі, жиі түсетін нөсерлі жауын-шашынмен және адвективті суық ауамен байланысы. Осы құбылыстың көп қайталанушылығы, ауылшаруашылығында ең маңызды дәнді-дақылдар егілген аудандарға сәйкес келгендіктен, науқан қарсаңына қарай болжау кезек күттірмес мәселе.
Өте қатты мөлшерден тыс ылғалдану салыстырмалы сирек кездеседі, шамамен 10 %-ға жуық. Олардың қайталауының таралуы алдыңғыдағыдай ұқсас. Бұрынғыша ықшамдылығы 10 %-дан аз екі аудан бар, яғни қарастырылатын ауданның солтүстігі, Батыс Сібір, Украинаның оңтүстігі, Солтүстік Кавказ және Қазақстанның батыс жартысы. Осындай мәндер Балтық жағалауында кездеседі. Қалған бөлігі 10 %-дан аса қайталанумен қамтылған, ал Батыс Украина, Кама өзенінің алабы, Шығыс Қазақстан деген сияқты жеке облыстарда ол 12 %-ға жетеді. Артық ылғалдану бәрінен де жиі бидай өсіретін аудандарда орналасқан. Сондықтан да бұл құбылыс, әсіресе өнімді жинау кезінде үлкен қызығушылық туғызады. Оның пайда болып, таралуын болжау өте қиын.
Артық ылғалданудың ерекшеліктерінің бірі, оның көктем-жаз кезеңіндегі қайталану ұзақтығы. Осы мәселені шешу үшін әр станцияда жиілігі жақын айлардың мына мәнін
S
і
минус 2 алуға болады.
Бір айдағы құбылыс шамамен 8 % жағдайда кездеседі. Егерде Р=8-10 % мәнінен аумақтық басым бөлігі бос болмаса, онда Карелия, Балтық жағалауы, Белоруссия, Украинаның оңтүстігі, төменгі Кама, Солтүстік Кавказ, Батыс Сібірдің шығысы және Солтүстік теңіз жағалауларында Р<8 %. Екі айда қатарынан артық ылғалдану 1 %-дан аз мөлшерде кездеседі, мұнымен осы алаңда Р=1-2 % жолақ орын алады. Солтүстік жағалаулары мен Қазақстанда Р мәндері біршама азаятындығы маңызды. Осылайша артық ылғалдану бәрінен жиі бір айда кездеседі, сирек - екі айда кездеседі және үш айда тіптен кездеспейді. Көктемгі-жазғы кезең аралығында артық ылғалдылықты (
S
і
минус 2) сақтау бір ай өте үлкен, ал Балтық маңы, Белоруссия, Тәуелсіз Мемлекеттер Достастығының (ТМД) еуропалық бөлігінің солтүстік және оңтүстік-шығыс бөлігінде бұдан да көп (Р>90 %) . Қалған облыстарда, яғни ең бірінші ТМД-ның Еуропалық аумағының оңтүстік бөлігінде және Батыс Сібірдің оңтүстік-батысында Р=80-90%, яғни артық ылғалдану қатарынан екі аралығында сақтау мүмкіндігі бар. Шынымен де олардағы Р=10-20%, ал солтүстік және оңтүстікке қарай құбылыстың ықтималдығы азаяды. Осылайша, созылыңқы артық ылғалдану, шамамен екі ай қатарынан белсенді астық шаруашылығы жүргізілетін ТМД-ның Еуропалық аумағының оңтүстігіндегі кейбір аудандарда ықтималдырақ.
Алынған нәтижелер тек қана қауіпті құбылыстың (
S
і
минус 2) сақталуы мен туындауына қатысты болды. Алайда
S
і
-дің барлық мәнінің көктемгі-жазғы кезеңде өзгеруі маңызды. Осы есепті шешу үшін уақытша құрылымдық функциялар келесі формулалар арқылы есептеледі:
, (6)
мұндағы.
τ - уақытша жылжу (ай),
n - жағдайлар саны;
S
- аномалия.
Бірақ норма
S
=0 болғандықтан, онда
S
і
~
S
і
. Соңғысы төмендегі қатынастан шығады:
. (7)
Артық ылғалдануды болжағанда олардың жыл аралық өзгеруін білу қажет. Бұл үшін
S
і
минус 2 бастапқы мәндері есептеліп, зерттеледі және оларды мамыр-тамыз айларында станцияларда сақталуы анықталды. Содан соң сәйкес карталар құрылады. Бастапқы мәндерді болу ықтималдығы (%) шектен тыс аз (шамамен 1 %-ға жуық) . Мұның арасында жеке станцияларда бірнеше тербелді және бастапқы күйді сақтаудың үлкен және аз жиілік бар ошақтар пайда болды.
Лайықты жағдай
S
і
минус 2, 0 үшін белгіленді. Артық ылғалдану жиі, жылында бір рет болады. Р=8-10 %-ы бар аудандар ТМД-ның аумағының орталық және шығыс облыстарында, Батыс Сібірдің оңтүстік жартысында, Орталық және Шығыс Қазақстанда бар. Р= 6 %-ы бар аудандар Балтық маңын және Карелияны, Батыс Сібірдің солтүстігін және шығысын, сондай-ақ Каспий теңізінің солтүстік жағалауында бар. Екі жыл қатарынан артық ылғалдану өте жиі болды. Р=1-2 % бар аудандар Балтық маңын, Белоруссияны, орталық қара топырақты облыстарды, Батыс Сібірдің оңтүстік-батыс және орталық аудандарын және Шығыс Қазақстанды алады. Осы ауданнан солтүстік және оңтүстікке қарай, артық ылғалданудың екі жыл қатарынан пайда болу ықтималдығы өте аз. Осылайша, кейбір аудандарда артық ылғалдану жиі пайда болады, кейде бір, кейде екі жыл қатарынан байқалады.
- Іс жүргізу
- Автоматтандыру, Техника
- Алғашқы әскери дайындық
- Астрономия
- Ауыл шаруашылығы
- Банк ісі
- Бизнесті бағалау
- Биология
- Бухгалтерлік іс
- Валеология
- Ветеринария
- География
- Геология, Геофизика, Геодезия
- Дін
- Ет, сүт, шарап өнімдері
- Жалпы тарих
- Жер кадастрі, Жылжымайтын мүлік
- Журналистика
- Информатика
- Кеден ісі
- Маркетинг
- Математика, Геометрия
- Медицина
- Мемлекеттік басқару
- Менеджмент
- Мұнай, Газ
- Мұрағат ісі
- Мәдениеттану
- ОБЖ (Основы безопасности жизнедеятельности)
- Педагогика
- Полиграфия
- Психология
- Салық
- Саясаттану
- Сақтандыру
- Сертификаттау, стандарттау
- Социология, Демография
- Спорт
- Статистика
- Тілтану, Филология
- Тарихи тұлғалар
- Тау-кен ісі
- Транспорт
- Туризм
- Физика
- Философия
- Халықаралық қатынастар
- Химия
- Экология, Қоршаған ортаны қорғау
- Экономика
- Экономикалық география
- Электротехника
- Қазақстан тарихы
- Қаржы
- Құрылыс
- Құқық, Криминалистика
- Әдебиет
- Өнер, музыка
- Өнеркәсіп, Өндіріс
Қазақ тілінде жазылған рефераттар, курстық жұмыстар, дипломдық жұмыстар бойынша біздің қор #1 болып табылады.

Ақпарат
Қосымша
Email: info@stud.kz