Энергия жайлы


ЭНЕРГИЯ
Табиғатта жұмыс істеу салдарынан материя қозғалысының формасы бір түрден екінші түрге өзгеріп отырады. Материалдық объектінің бір күйден екінші күйге көшкенде жұмыс істеу кабілетін энергия деп атаймыз. Сондықтан жүйе нормаль күйге көшу кезінде неғұрлым көп жұмыс істесе, оның энергиясы соғүрлым көбірек болады. Яғни, материалдық объектінің жұмыс істеу қабілетінің сандық мөлшерін сипаттайтын физикалық шаманы энергия деп ұғу керек. Осы себептен жұмыс қандай өлшем бірлікпен өлшенсе, энергия да сол өлшем бірлігімен, яғни джоульмен өлшенеді.
Материалдық жүйенің қандай формада қозғалуына байланысты энергия да әр түрлі болады. Мысалы: механикалық, ішкі, электормагниттік т. б.
Сонын, ішінде механика бөлімінде өте кең тараған механикалық энергия түрін қарастырайық.
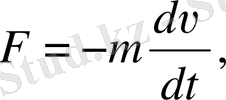
Кинетикалық энергия. Бұл ұғымды еркін денеге әсер етуші күштің жұмысын есептеу арқылы түсіндірген жөн. Яғни бір күштің әсерінен қозғалған материалдық нүктенің немесе дененің жылдамдығы өзгеріп отырады. Түсірілген күштің істеген жұмысы дененің жылдамдығының өзгеруіне байланысты. Бұл байланыс материалдық нүктенің кинетикалық энергиясы деп аталатын физикалық шама арқылы өрнектеледі.
Материалдық дененін кинетикалық энергиясын анықтау керек болсын. Сонда массасы т, жылдамдығы v материалдық дене екінші бір денемен әсерлесуінің салдарынан өзінің қозғалысын тоқтатады. Сол кездегі инерция күші Ньютоннын екінші заңы бойынша мынаған тең:
мұндағы
- дененің уақытқа байланысты жылдамдығының өзгерісі, ал теріс таңба сол жылдамдықтын кемуін көрсетеді.
Егер дене инерция күшінің нәтижесінде ds-ке орын ауыстырса, онда істелген жұмыс dA = Fds болады, сонда
Енді қозғалыстағы дене толық тоқтауы кезінде істелген жұмысты табу үшін соңғы өрнектІ интегралдаймыз, яғни
Сонымен Ғ күшінің істеген жұмысы кинетикалық энергия деп аталатын (mv 2 l2) шамаға тең болады, оны E k әрпімен белгілейміз:
(27)
Сонда, массасы
т
денеге
жылдамдық беру үшін түсірілген күш
-қа тең оң жұмыс істеуі керек.
Потенциалдық энергия. Материалдық нүкте ретінде қарастырылып отырған дене, өзін айнала қоршаған денелермен әсерлесе отырып, бip орыннан . . . екінші орынға қозғалған. Демек, ол денеге күштер әсер етеді, бұл жағдайда дене күш өрісінде қозғалады деп айтылады. Ондай күштер: тартылыс, серпімділік, ауырлық электромагнитик т. б. болуы мүмкін.
Сонымен потенциалдық энергия денелердің немесе олардың белшектерінің өзара орналасуы кезіндегі жұмыс қорымен өлшенеді. Мысалы, материалдық нүкте ауырлық күшінің біртекті өрісінде қозғалғанда, яғни денені бір деңгейден екінші деңгейге көтергенде істелетін жұмысты есептеу арқылы потенциалдық энергияны табуға болады.
Деформацияның потенциалдық энергиясы
Дененің қарапайым бөлігіндегі потенциалдық энергияны анықтау үшін оның бойынан қырлары
dl
1
, dl
2
, dl
3
, беттері басты ауданшалармен сәйкес келетін қарапайым параллелопипедті бөліп аламыз. Параллелопипедтің әрбір бетінде, оған перпендикуляр бағытта кернеу мен ауданының көбейтіндісіне тең күш әсер етеді (6. 3-сурет) .
Энергияның сақталу заңы бойынша, деформацияның потенциалдық энергиясы параллелипипедтің беттеріндегі сыртқы күштердің жұмысына тең. Сыртқы күштердің әсерінен параллелопипедтің қырлары келесі шамаларға ұзарады.
Сондықтан, потенциалдық энергияға тең сыртқы күштердің жұмысы
![]()
мұндағы әрбір қосылғыш
статикалық түрде әсер етуші күштердің өз бағытындағы сәйкес
орын ауыстыру аралығындағы жұмысы. Соңғы өрнектегі ұзару шамаларының орындарына өздерінің мәндерін қойсақ
(28, 3)
dU-ды алғашқы көлемге бөлсек, бірлік көлемге сәйкес потенциалдық энергия немесе толык меншікті потенциалдық энергия анықталады.
Гуктың жалпылама заңынан
(29. 3)
Оның өлшем бірлігі кНм/м 3 (кН/м 2 ) т. с. с.
Сыртқы күштердің әсерінен, қарапайым параллелопипедттің, көлемі келесі шамаға өзгереді.
(30. 3)
Параллелепипедтің көлемі мен оның пішіні өзгереді, яғни, оның қырлары әртүрлі шамаға ұзарады.
Сонымен, параллелипипедтің кернеулі күйін екіге жіктеуге болады. Олардың біріншісінде параллелшшпедтің тек көлемі өзгереді, бұл күйдегі потенциалдық энергия көлемді өзгеретін потенциалдық энергия.
Екінші күйде параллелопипедтің көлемі өзгермейді, тек оның пішіні өзгереді. Параллелопипедтің бойындағы жиналған потенциалдық энергия, пішінді өзгертетін потенциалдық энергия.
Тек көлемді өзгертетін меншікті потенциалдық энергияны анықтау үшін, (29. 3) өрнегіндегі
кернеулерін
кернеуімен алмастырады.
немесе
(32. 3)
Тік кернеулердің қосындысы тұрақты болатындықтан
(33, 3)
Тек пішінді өзгертетін меншікті потенциалдық энергияны анықтау үшін, (29. 3), өрнегіндегі
аз кернеулерді
кернеулерімен алмастырамыз.
(29. 3) -ті ескеріп, түрлендіруден соң
(34, 3)
Көлемді және пішінді өзгертетін меншікті потенциалдық энергиялардың қосындысы, толық меншікті потенциалдық энергияға тең.
и К +и п =и. (35. 3)
Меншікті потенциалдык энергия арқылы, денедегі потенциалдық энергияны анықтауға болады.
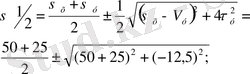
1 мысал. 8. 3, а суретте көрсетілген кернеулі күйдің, нормалы
бағытымен 30° бұрыш жасайтын
тп
жазықтығының бойындағы кернеулерді, басты кернеулер мен олардың бағытын анықтаңыз (8. 3-сурет) .
Шешуі: тп қимасы арқылы қарапайым призма кесіп аламыз (8. 3, 6-сурет) .
кернеулерін, әуелі оң таңбалы деп қабылдаймыз. Суретте көрсетілген кернеулердің бағыты бойынша
=50 МПа,
-25 МПа,
12, 5 МПа. (10. 4), (11. 4) формулалары бойынша
Басты кернеулер (7. 3) формуласынан аныңталады
Нормальдің басты ауданшамен жасайтын бұрышы
9. 3 суретте басты кернеулер мен олар әсер ететін жазықтықтар көрсетілген.
- Іс жүргізу
- Автоматтандыру, Техника
- Алғашқы әскери дайындық
- Астрономия
- Ауыл шаруашылығы
- Банк ісі
- Бизнесті бағалау
- Биология
- Бухгалтерлік іс
- Валеология
- Ветеринария
- География
- Геология, Геофизика, Геодезия
- Дін
- Ет, сүт, шарап өнімдері
- Жалпы тарих
- Жер кадастрі, Жылжымайтын мүлік
- Журналистика
- Информатика
- Кеден ісі
- Маркетинг
- Математика, Геометрия
- Медицина
- Мемлекеттік басқару
- Менеджмент
- Мұнай, Газ
- Мұрағат ісі
- Мәдениеттану
- ОБЖ (Основы безопасности жизнедеятельности)
- Педагогика
- Полиграфия
- Психология
- Салық
- Саясаттану
- Сақтандыру
- Сертификаттау, стандарттау
- Социология, Демография
- Спорт
- Статистика
- Тілтану, Филология
- Тарихи тұлғалар
- Тау-кен ісі
- Транспорт
- Туризм
- Физика
- Философия
- Халықаралық қатынастар
- Химия
- Экология, Қоршаған ортаны қорғау
- Экономика
- Экономикалық география
- Электротехника
- Қазақстан тарихы
- Қаржы
- Құрылыс
- Құқық, Криминалистика
- Әдебиет
- Өнер, музыка
- Өнеркәсіп, Өндіріс
Қазақ тілінде жазылған рефераттар, курстық жұмыстар, дипломдық жұмыстар бойынша біздің қор #1 болып табылады.

Ақпарат
Қосымша
Email: info@stud.kz