Сұйықтың көлденең беттерге түсiретiн қысымы


Сұйықтың көлденең беттерге түсiретiн қысымы
Фигурасы кез келген бетке әсер ететiн гидростатикалық қысымының күшi.
Сабақ жоспары:
1. Сабақ мақсаты мен міндеті.
Гидростатикалық қысымының бiрiншi қасиетiне байланысты S ауданның барлық нүктелерiне сұйықтың қысымы қабырғаға нормаль (90 0 ) болып түсетіндігін ескере отырып, студенттерге осы мәселені толығымен түсіндіру.
2. Қарастыратын сұрақтар.
а) абсолюттiк гидростатикалық қысымның Р А күшiн;
б) Р А күшiнiң әсер ету сызығының орнын.
Гидростатикалық қысымының бiрiншi қасиетiне байланысты S ауданның барлық нүктелерiне сұйықтың қысымы қабырғаға нормаль (90 0 ) болып түседi (1. 10 сурет) . Сондықтан S ауданға түсетiн абсолюттiк қысым да қабырғаға байланысты алғанда нормаль болады.
Төмендегi мәселелердi табуға мақсат қояйық:
а) абсолюттiк гидростатикалық қысымның Р А күшiн;
б) Р А күшiнiң әсер ету сызығының орнын.
1. Р А күшi. Қарастырып отырған фигурадан кез келген m нүктесiн аламыз. Оның координатасы z және ол h тереңдiкке батырылған.
Сонда
(1. 60)
Мұнда θ су бетi мен көлденең қабырғасын арасындағы бұрыш. Осы m нүктесiн айналдыра өте кiшкентай dS ауданын аламыз. Бұл ауданға түсетiн абсолюттiк гидростатикалық қысым күшi.
(1. 61)
1. 10 сурет
немесе
(1. 62)
Бұл өрнектен бүкiл S аудан бойынша интеграл алсақ:
(1. 63)
мұнда
:
(1. 64)
мұнда
- тегiс фигураның
О
х
осiне қатынасты статикалық моментi; z
c
- берiлген тегiс фигураның ауырлық орталығының координатасы.
(1. 64) өрнектi (1. 63) қойып алатынымыз.
(1. 65)
болдады.
h с - тегiс фигураның ауырлық орталығы болатын C нүктесiнiң су бетiнен тереңдiгi.
(1. 66)
немесе
(1. 67)
Мұнда (Р А ) с - қарастырылып отырған тегiс фигураның ауырлығының орталығы болатын С нүктесiне түсiп тұрған абсолюттiк гидростатикалық қысым.
(1. 66) формуланы былай етiп те жазуға болады.
(1. 68)
мұнда Р а атмосфераның (беттiк) қысымның әсерiнен пайда болған сұйықтың арқылы фигураның бетiне түсетiн қысым.
(1. 69)
Р - ауырлық қысымының күшi.
(1. 70)
Мұнда р с - ауырлық орталығына түсетiн артылған қысым.
2. Қарастырып отырған фигура бетi мен Р А күшi сызығының қиылысында орналасқан D А нүктесi, Р А күшi қысымының орталығы деп аталады.
Егер D А нүктесiнiң орнын табатын болсақ, онда бiз Р А күшi әсерiнен сызығында тапқан боламыз.
Қысым орталығының D А орны. Р a күшiнiң қысымының орталығы сол фигураның ауырлық орталығы сәйкес болады (1. 11 сурет) . Себебi беттiк қысым Р 0 = Р а , сұйық арқылы берiле отырып қарастырып отырған ауданға бiркелкi түседi. Ал артылған қысымды алатын болсақ ол фигураның ауданына әркелкi болып түседi. Фигурада алынған нүктелер тереңдеген сайын ондағы қысым арта түседi. Сондықтан Р қысым күшінің орталығы фигураның ауырлық орталығынан төмен жатады ( D нүктесi) .
Iздеп отырған Р А қысымы болса, ол Р а және Р қысымдарының геометриялық қосындысы. Сондықтан Р А нүктесi С және D нүктелерiнiң ортасында жатады. Айтылған әртүрлi тегiс фигуралар үшiн керектi қысым орталығы координаталарын анықтамалық әдебиеттерден алуға болады.
1. 11 сурет
Тiк төртбұрышты тегiс фигураға әсер ететiн гидростатикалық
қысымның күшi
Гидростатикалық қысымның таралу жолдары . Қысым эпюрасы. Гидростатиканың негiзгi теңдеуiн қарастыратын болсақ, оның түзу сызықтың теңдеуi екенiн көруiмiздi болады.
р А =p a +γh (1. 71)
Мұнда р а - атмосфералық қысым еркiн мүше болса, сұйықтың меншiктi салмағы γ -бұрыштық кооэфицент, ал өзгерiп отыратын биiктiк h координатаны бiлдiредi.
Атмосфералық қысым ескерiлмеген жағдайдағы артылған гидростатикалық қысымды графикалық түрде көрсету үшiн, вертикаль орналасқан тегiс қабырғаға әсер етiп тұрған Н биiктiгi бар сұйықты аламыз (1. 12 сурет) . Себебі қабырғаның оң жағына сұйық арқылы өтіп әсер ететіін атмосфералық қысым оның сол жағындағы тікелей әсер ететін мәніне тең болады.
(1. 71) теңдеуден байқайтынымыздай сұйықтың еркiн бетiнде ( О нүктесiнде) р=0: себебi h=0: ал түбiнде р=γН , себебі h=Н:
х
осiнiң бойына кесiндi түрiнде берiлген масштабпен артылған қысымды, ал
z
осi бойынша сәйкес тереңдiктi салып, оларды ұзын
ОВ
түзу сызығымен қосатын болсақ, артылған гидростатикалық қысымының графикалық суретiн аламыз. Немесе мұны вертикаль қабырғаның биiктiгiндегi гидростатикалық қысымның эпюрасы деп аталады. Оның формасы
ОАВ
ұшбұрышы. Байқап отырғанымыздай
ОВ
сызығының көлбеулiгі
γ
мәнiне байланысты
γ=1
-ге тең болса (су)
АbB=45º;
Судан ауыр сұйықтар үшiн
АbB 45º
кем болады. ОАВ үшбұрышының ауданын вертикаль қақпаның еніне
b
көбейтетін болсақ, онда төртбұрышты фигураға әсер етіп тұрған гидростатикалық қысымды
Р
аламыз:
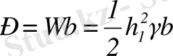
(1. 72)
Н
1. 12 сурет
Ендi көлбеу орналасқан тегiс қабырғаны қарастырамыз (1. 13 сурет) . АВ қабырғасын аламыз. АВ қабырғасының су бетiне көлбеулiк бұрышы
тең дейiк. Сонда артылған гидростатикалық қысымның шамасы.
(1. 73)
мұнда
h
с
=
қабырғаның ауырлық орталығының бату теңдеудiгi.
- көлдеу қабырғаның ауданы;
b
- көлдеу қабырғаның енi.
1. 13 сурет
Қисық сызықты бетке түскен сұйықтың қысымы
... жалғасы- Іс жүргізу
- Автоматтандыру, Техника
- Алғашқы әскери дайындық
- Астрономия
- Ауыл шаруашылығы
- Банк ісі
- Бизнесті бағалау
- Биология
- Бухгалтерлік іс
- Валеология
- Ветеринария
- География
- Геология, Геофизика, Геодезия
- Дін
- Ет, сүт, шарап өнімдері
- Жалпы тарих
- Жер кадастрі, Жылжымайтын мүлік
- Журналистика
- Информатика
- Кеден ісі
- Маркетинг
- Математика, Геометрия
- Медицина
- Мемлекеттік басқару
- Менеджмент
- Мұнай, Газ
- Мұрағат ісі
- Мәдениеттану
- ОБЖ (Основы безопасности жизнедеятельности)
- Педагогика
- Полиграфия
- Психология
- Салық
- Саясаттану
- Сақтандыру
- Сертификаттау, стандарттау
- Социология, Демография
- Спорт
- Статистика
- Тілтану, Филология
- Тарихи тұлғалар
- Тау-кен ісі
- Транспорт
- Туризм
- Физика
- Философия
- Халықаралық қатынастар
- Химия
- Экология, Қоршаған ортаны қорғау
- Экономика
- Экономикалық география
- Электротехника
- Қазақстан тарихы
- Қаржы
- Құрылыс
- Құқық, Криминалистика
- Әдебиет
- Өнер, музыка
- Өнеркәсіп, Өндіріс
Қазақ тілінде жазылған рефераттар, курстық жұмыстар, дипломдық жұмыстар бойынша біздің қор #1 болып табылады.

Ақпарат
Қосымша
Email: info@stud.kz