Атомдық физика пәнін электрондық оқыту


Атомдық физика пәнін электрондық оқыту
Атомдық физика XX ғасыр басындағы физикада болған үлкен дағдарыстың шешімі ретінде дамыды. Кванттық жаңа бағыт классикалық түсініктер, ұғымдарға мүлдем ұқсамай, тіпті кейде қарама-қайшы келді.
Атомдық физика қазіргі кездегі қатты денелер физикасы, химиялық байланыстар және биофизиканың негіздері болғандықтан, ғылым мен техникада алатын орны айрықша. Атомдық құбылыстарды толық түсініп алмай, қарқынды дамып келе жатқан техника мен жаңа технологияларды меңгеру мүмкін емес.
Атомдық физикадан қазақ тілінде оқулықтар аз екенін ескере келіп, бізге оқылған лекциялар негізінде бұл пәннен қысқаша оқу құралы жазылды және осы негізде электрондық нұсқа жасалды. Онда атомдық физиканың мына мәселелері қамтылған:
- Сәулеленудің кванттық табиғаты. Мұнда жылулық сәулелену және оның сипаты, Кирхгоф, Стефан-Больцман, виннің ығысу заңдары, Релей-Джинс және Планк формулалары қарастырылған. Оптикалық пирометрия, фотоэффект құбылысы, Комптон эффекті және электромагниттік сәулеленудің корпускулалық және толқындық қасиеттері бұл тарауда қамтылған.
- Сутегі атомының Бор теориясы. Бұл тарауда Томсон және Резерфорд модельдері, атомының сызықты спектрлері, Бор постулаттары, Франк-Герц тәжірибесі және сутегі атомының Бор теориясы бойынша спектрі қарастырылған.
- Кванттық механика элементтері. Мұнда толқындық функция, анықталмаушылық принципі, Шредингер теңдеуі және оның әр түрлі мысалдардағы шешімдері қарастырылған.
- Қазіргі атомдар және молекулалар физикасының элементтерітарауында сутегі атомының теориясы, электрондардың атомдық күйлерге жіктелуі, Менделеевтің периодтық жүйесі, рентген спектрлері, химиялық байланыстар, молекулалық спектрлер және лазерлер физикасының негіздері тақырыптары қамтылған.
Электрондық нұсқада қамтылған бірнеше тақырыптарға электрондық анимация жасалған. Бұл анимациялар атомдық құбылыстарды терең түсінуге, пәнге деген қызығушылықты бірсатыға жоғары көтереді.
Алғаш атом құрылысы туралы ілімнің дауына ағылшын физигі Э. Резерфордтың тәжірибесі үлкен үлес қосты. Тәжірибеде α-бөлшектердің затта шашырауы бақыланған (1-сурет) . α-бөлшектер 1 мкм алтын фальгадан өткенде α- 1-сурет бөлшектердің көпшілігі өзінің
қозғалыс бағытынан ауытқыған.
Ал кейбірі (20 000-нан біреуі) бағытын 180
0
-қа жуық бұрышқа өзгерткен. Ұшып шыққан α-бөлшектерді арнайы детектор тіркеп отырған.
Э. Резерфорд тәжірибесін былай қорытындылады: үлкен жылдамдықты ауыр α-бөлшектерінің қозғалыс бағытының өзгеруіне атомда массасы едәуір үлкен оң зарядты орталық әсер етеді, ал α-бөлшектердің 180 0 -қа жуық бұрышқа 2-сурет
ауытқудың сирек кездесуі атомдағы оң зарядты орталықтың көлемі атом өлшемімен салыстырғанда өте кішкене болуынан (2-сурет) . Сөйтіп, 1911 жылы Э. Резерфорд өз тәжірибе нәтижелеріне сүйене отырып, атомның планетарлық (ядролық) моделін ұсынды. Бұл модель бойынша өлшемі 10 -15 м, заряды Ζе оң болатын ядроны одан өте ұзақта орналасқан электрондар бұлты қоршап тұрады. Электрондар ядроны айналып жүреді (3-сурет) .
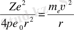
Резерфорд моделі көптеген тәжірибе нәтижелерін түсіндіріп теориямен үйлесе алды. Алайда атомның электромагниттік сәулелену құбылысын Резерфорд моделі түсіндіре алмады. Мысалы, электрон ядроны радиусы r шеңбер бойымен
3-сурет айналып жүрсін. Электрон мен ядро арасындағы тартылыс күші Кулон заңы бойынша
бұл күш электронға центрге тартқыш үдеу береді. Ньютон 2-заңы бойынша
(2. 1)
бұл жерде
,
- электрон массасы және жылдамдығы.
Берілген (2. 1) теңдеу радиустың
мәніне жылдамдықтың осындай мәні сәйкес. Бұл энергияның үздіксіз мәніне сәйкес келеді. Ал шын мәнінде атом спектрі сызықты. Сонымен (2. 1) формуладан
м болғанда
м/с, а=10
22
м/с
2
болады. Классикалық электродинамика теориясы бойынша үдеумен қозғалған электрон электромагниттік сәулеленуі нәтижесінде энергиясы кемуге тиісті. Сөйтіп электрон ядроға жақындайды да, ақыр аяғында электрон ядроға құлап, атомның өмір сүру уақыты таусылады, бұл шындыққа үйлеспейді. Осындай кемшіліктерді жою үшін - атомның кванттық теориясы жасалды.
Заттың атомдық құрылысы туралы ілім өте ерте кезден пайда болған еді. Б. э. д. IV-V ғ жасап өткен грек философ ғалымдары Демокрит, Эпикур, Лукреций, Аристотель көзқарастары бойынша зат бөлінбейтін өте ұсақ бөлшектерден құралған (атомос - бөлінбейтін) деді.
XVIII ғасыр басында А. Лавуазье, М. В. Ломоносов, Д. Дальтон еңбектерінде атомның бар екендігі дәлелденді, бірақ оның ішкі құрылысына үңіле қоймады, «атом - бөлінбейтін бөлшек» түсінігімен қалып қойды. Д. И. Менделеевтің 1869 ж жасаған элементтердің периодтық системасы атом құрылысы жайлы мәселені алға қойды. Электронның затта болуы және көптеген тәжірибе нәтижелері XIX ғ соңы XX ғ басында ғалымдар алдына атом құрылысын үйрену мәселесін қойды.
Көптеген тәжірибе нәтижелеріне сүйене отырып, 1903 ж Дж. Томсон атомның алғашқы моделін ұсынды. Бұл модель бойынша атом радиусы 10 -10 м шамасындай үздіксіз оң зарядталған шар болып, өзінің тепе-теңдігі айналасында терберуші электрондар осы шар ішінде жайласқан. Ондағы оң заряд мөлшері электрондардың теріс зарядына тең, сондықтан атом бейтарап. Бірақ бұл модель шындыққа сай келмеді.
Қорыта келгенде атомдық физиканы электрондық версияда көрсетудің үлкен келешегі бар екенін көрсетіп отыр.
... жалғасы- Іс жүргізу
- Автоматтандыру, Техника
- Алғашқы әскери дайындық
- Астрономия
- Ауыл шаруашылығы
- Банк ісі
- Бизнесті бағалау
- Биология
- Бухгалтерлік іс
- Валеология
- Ветеринария
- География
- Геология, Геофизика, Геодезия
- Дін
- Ет, сүт, шарап өнімдері
- Жалпы тарих
- Жер кадастрі, Жылжымайтын мүлік
- Журналистика
- Информатика
- Кеден ісі
- Маркетинг
- Математика, Геометрия
- Медицина
- Мемлекеттік басқару
- Менеджмент
- Мұнай, Газ
- Мұрағат ісі
- Мәдениеттану
- ОБЖ (Основы безопасности жизнедеятельности)
- Педагогика
- Полиграфия
- Психология
- Салық
- Саясаттану
- Сақтандыру
- Сертификаттау, стандарттау
- Социология, Демография
- Спорт
- Статистика
- Тілтану, Филология
- Тарихи тұлғалар
- Тау-кен ісі
- Транспорт
- Туризм
- Физика
- Философия
- Халықаралық қатынастар
- Химия
- Экология, Қоршаған ортаны қорғау
- Экономика
- Экономикалық география
- Электротехника
- Қазақстан тарихы
- Қаржы
- Құрылыс
- Құқық, Криминалистика
- Әдебиет
- Өнер, музыка
- Өнеркәсіп, Өндіріс
Қазақ тілінде жазылған рефераттар, курстық жұмыстар, дипломдық жұмыстар бойынша біздің қор #1 болып табылады.

Ақпарат
Қосымша
Email: info@stud.kz