Ядроның бөлінуі. Ядроның бөліну процессі

 
    
Қазақстан Республикасының Білім және Ғылым министірлігі
Семей қаласындағы Шәкәрім атындағы Мемлекеттік университеті
СӨЖ
Пән: Қолданбалы физика және радиациялық қауіпсіздік.
Тақырыбы: Ядроның бөлінуі. Ядроның бөліну процессі. Тұрақты ралионулидтер. Бөліну энергиясы. Ядроны бөлу заттары. Радионуклидтерді қосу
Семей 2017
Мазмұны:
Кіріспе3
1 Радиациялық қауіпсіздік4
1. 1 Ядроның бөлінуі4
1. 2 Бөліну энергиясы4
1. 3 Тұрақты ралионулидтер және радиациондық қауіп8
1. 4 Сәлелену дозасы11
Қорытынды13
Пайданылған әдебиеттер15
КіріспеТабиғи және жасанды радиоактивті изотоптарда ядролардың өздігінен ыдырау процесі үздіксіз жүріп жатады. Демек, олар сыртқы ортаға туынды белшектерді, гамма кванттарын үнемі атқылаумен болады. Радиоактивті сәулелер кейде радиация немесе иондағыш сәулелер деп аталады. Олардың кинетикалық және электромагниттік энергиялары үлкен шама құрайды. Сондықтан ондай бөлшектер жолындағы денелердің атомдары мен молекулаларының химиялық-физикалық касиеттерін өзгертіп иондайды, олардың араларындағы қалыпты байланыстарды үзеді. Сөйтіп, биологиялық денелер де, басқа табиғи денелер де өзгеріске ұшырайды. Әсіресе тірі табиғат: адам мен жан-жануарлар, өсімдіктер мен басқа да тіршілік иелері зор зардап шегеді.
Атом бомбалары мен уран кеніштерін айтпағанның өзінде, атомдық реакторлар мен атомдық электр станциялары да радиацияның көзі болып табылады. Сондай-ақ Күн радиациясының, ғарыштан келетін басқа да бөлшектердің зиянды әсерін де білуіміз қажет. Ол үшін изотоптардың сәуле атқылау белсенділігін, сондай-ақ радиацияға душар болған денелердің алған сәулелерінің мөлшер-дозасын нақты білу қажет. Қандай доза шегінде жұмыс істеуге болады, қандай доза денсаулыққа зиян немесе адам өміріне қауіпті деген сұрақтарға да жауап беруіміз керек.
Иондағыш сәулелерден қорғана білу үшін олардың өтімділік қасиеттерін білген жөн. Радиоактивті изотоптармен жұмыс істегенде, олардың өтімділігіне орай тиісті қауіпсіздік ережесін бұлжытпай орындау керек.
Альфа-бөлшек парақ қағазға тұтылып, одан өте алмайды. Алайда адам терісінде қалып қойса немесе ішкі органдарына тыныс жолымен, яғни жеген тағамы арқылы етіп кетсе, өте қауіпті.
Бета-бөлшектердің өтімділік қабілеті үлкен. Олар адам ағзасына 1-2 см тереңдеп ене алады. Алайда бірнеше миллиметр алюминий қаңылтыры оны толық жұтып алады.
Гамма-сәуленің өтімділік қабілеті аса күшті. Сондықтан одан қорғану үшін корғасынның немесе бетон плиталардың калың қабаты пайдаланылады.
1 Радиациялық қауіпсіздік 1. 1 Ядроның бөлінуі
Ядроның бөлінуі, атом ядросының бөлінуі - ауыр атом ядроларының өздігінен не басқа бір бөлшектердің әсерінен бірнеше бөлшекке (көбінесе 2 бөлшекке, сиректеу 3 және 4 бөлшекке) бөлінуі. Ядроның нейтрондар арқылы бөлінуінің практикалық маңызы бар. Атом ядросы протондар, дейтрондар, γ-кванттар, т. б. арқылы да бөлінеді. Атом ядросының бөліне алатындығын тәжірибе жүзінде неміс ғалымдары О. Ган (Хан) және Ф. Штрасман ашқан (1939) . Бұл тәжірибенің нәтижесін неміс ғалымдары Л. Мейтнер мен О. Фриш түсіндіріп берді. Атом ядросы бөлінуінің алғашқы теориясын 1939 ж. Я. И. Френкель (КСРО), сондай-ақ Н. Бор және Дж. Уилер (АҚШ) жасады. Ауыр ядроны жуық түрде тебіліс күші мен оған қарсы бағытталған керілу күшінің әсерінде тұрған сұйық тамшысы деп қарастыруға болады. Ядроның орнықсыздық дәрежесі электрстатистикалық тебіліс күші энергиясының беттік керілу күшінің энергиясына қатынасы бойынша анықталады, басқаша айтқанда: Z2/A, мұндағы Z - ядроның электр заряды, А - оның массалық саны. Z2/А шамасы жеткілікті дәрежеде үлкен болғанда ядро өздігінен (спонтанды) бөліну мүмкін. Атомядросының өздігінен бөлінуі құбылысын 1940 ж. Г. Н. Флеров пен К. А. Петржак ашты. Теориялық есептеулер бойынша Z2/А>45 болатын атом ядросы орнықты емес.
Ауыр ядролардың бөлінуі кезінде массалары әр түрлі 2 жарықшақтар орнықты ядроға айналмастан бұрын бірнеше рет бета-ыдырауға ұшырайды. Атом ядросының бөлінуі кезінде жарықшақтармен қатар нейтрондар және γ-кванттар да бөлініп шығады. Әрбір ядро бөлінгенде 200 МэВ-қа жуық энергия бөленіді. Ядроның бөлінуі кезінде бөлініп шығатын нейтрондарды шапшаң және баяу нейтрондардеп аталатын екі топқа бөлуге болады. Тізбекті реакция жүру үшін әрбірнейтронныңядроны бөлуі шарт емес. Тек ядроға тізбекті реакция өту үшін қажетті мөлшердегі нейтрондардың саны түссе болғаны. Ядролық энергияны алуда ядроларының бөлінуінің ерекше маңызы бар. Висмут, қорғасын, мыс, күміс, ядроларының да бөлінетіндігі анықталды. Алайда бұдан гөрі жеңіл ядролар өте сирек бөлінеді[1] .
1. 2 Бөліну энергиясы
 Бөлінудің негізгі заңдылықтарын ядроның тамшылық моделіне сүйеніп түсіндіруге болады. Меншікті байланыс энергиясы Менделеев таблицасының аяғындағы ядролар үшін оның орта шеніндегі ядроларға қарағанда 1МэВ-қа аз. Демек ауыр (А~200) ядролар бөлінген кезде ~ 200МэВ энергия бөлініп шығуы тиіс. Бұл тәжірибелердің нәтижелерімен үйлеседі. Бөліну энергиясы жарқыншақтар мен бөліну кезінде шығарылатын нейтрондардың кинетикалық энергиясы, шығарылатын g-кванттар энергиясы және жарқыншықтардың ыдырау энергиясы түрінде байқалады.
  - ядросы үшін олардың ара қатынасы жуықтап алғанда мынадай:
 - ядросы үшін олардың ара қатынасы жуықтап алғанда мынадай:
Жарқыншақтардың кинетикалық энергиясы 160МэВ
Бөліну g-нұрының энергиясы 8 МэВ
Нейтрондардың кинетикалық энергиясы 6 МэВ
Жарқыншақтардың ыдырау энергиясы 21 МэВ
Ядролардың ыдырау энергиясын жартылай эмпирикалық Вейцзеккер формуласынан табуға болады. Алдымен, бөліну кезінде ядроның заряды мен массалық саны сақталады деп есептейік
 
Бұл пайымдау, бөліну кезінде ұшып шығатын нейтрондар мен гамма-нұрдың энергияларын және жарқыншықтардың радиоактивтілігін елемеумен пара-пар. Егер оларды елесек, (1) -шарты орындалмас еді. Жарқыншақтардың ыдырауы (b - -ыдырау мен нейтрондық ыдырау) кезінде олардың заряды өседі, бөліну кезінде нейтрондардың шығарылуынан жарқыншақтардың массалық саны бөлінетін ядроның массалық санынан кем болады:
 
Егер (1) -шарты орындалса, жарқыншақтардың кинетикалық энергиясы реакция энергиясына тең болады. Ол бөлінетін аралық ядроның массасы мен жарқыншақтардың массаларының айырмасына тең.
 
мұндағы М Я - бөлінетін, М ж мен М А , сәйкес, жеңіл және ауыр жарқыншақтардың массалары. Ядролардың массаларын өз кезегінде олардың байланыс энергиялары арқылы өрнектеуге болады. Сонда
 
шығады. Мұнда Е б -ядролардың байланыс энергиялары. Вейцзеккер формуласынан ол
 
Мұндағы a=15, 75МэВ, b=23, 7МэВ, g=0, 71МэВ, s=17, 8МэВ, d=-34МэВ тақ-тақ ядролар үшін, d=34МэВ жұп-жұп ядролары үшін, d=0 жұп-тақ, тақ-жұп ядролар үшін. Егер тәжірибелік мәліметтерге сәйкес
 
яғни,
 
деп алсақ және Вейцзеккер формуласының мәні кішкентай соңғы мүшесін елемей, бөлінетін ядро мен жарқыншақтар үшін байланыс энергияларын (4) -ке қойсақ, олардың бірінші және екінші мүшелері өзара қысқарады да, бөліну энергиясы
 
болады. Мұндағы
 
пен
 
құрама ядроның байланыс энергиясының беттік және кулондық құраушылары, ал
 
жарқыншақтардың беттік және кулондық энергияларының қосындысы. Бөліну барысындағы беттік керілу энергиясы
 
артады, ал кулондық тебілу энергиясы
 
кемиді. Сонда ядроның бөліну энергиясы (байланыс энергиясының артуы, толық энергияның кемуі) :
 
Бөліну энергиясы кулондық энергия мен беттік энергияның өзгерісімен анықталады. Бөліну барысында кулондық энергия кемиді де, беттік энергия артады.
 Мысалы
  ядросы
 ядросы
  криптон 93 пен ксенон 139 ядроларына ыдырағанда, оның кулондық энергиясы 337МэВ-қа кемиді де, беттік энергиясы 166МэВ-қа өседі. Осыдан бұл ядроның бөліну энергиясы
 криптон 93 пен ксенон 139 ядроларына ыдырағанда, оның кулондық энергиясы 337МэВ-қа кемиді де, беттік энергиясы 166МэВ-қа өседі. Осыдан бұл ядроның бөліну энергиясы
 
(9) -нан ядро екі жарқыншаққа бөліну үшін
 
болу керектігі шығады. Бұған
 
және
 
кулондық және беттік энергияның мәнін қойсақ ядроның бөліну шарты
 
 түріне келеді. Мұндағы Z
 
  2
 
 /A бөліну көрсеткіші деп аталады. Бұл көрсеткіш неғұрлым жоғары болса, бөліну энергиясы
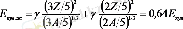
  соғұрлым жоғары болуы тиіс. (10) -шартын күмістен ауыр ядролардың барлығы қанағаттандырады,
 соғұрлым жоғары болуы тиіс. (10) -шартын күмістен ауыр ядролардың барлығы қанағаттандырады,
  -ядросы үшін Z
 
  2
 
 /A=47
 
  2
 
 /108=20>17 Демек, бөліну Менделеев таблицасының екінші жартысындағы барлық элементтердің ядролары үшін тиімді. Бұған қарамастан тәжірибе жүзінде өздігінен бөліну периодтық жүйенің ең ауыр элеметтерінің үшеуінің
 -ядросы үшін Z
 
  2
 
 /A=47
 
  2
 
 /108=20>17 Демек, бөліну Менделеев таблицасының екінші жартысындағы барлық элементтердің ядролары үшін тиімді. Бұған қарамастан тәжірибе жүзінде өздігінен бөліну периодтық жүйенің ең ауыр элеметтерінің үшеуінің
  ғана ядроларына тән. Басқа ядролар үшін баяу нейтрондардың әсерінcіз бөліну, олардың энергиялық көзқарастан тиімділігіне қарамастан, тәжірибелерде бақыланбайды. Мұны a-ыдыраудағы сияқты, кулондық тосқауылдың әсерімен түсіндіруге болады. Егер бір-бірінен аластатылған (шексіз қашықтықта орналасқан) жарқыншықтардың әсерлесу энергиясын 0 деп алсақ, жаңа ғана бөлінген, өзара жанасып тұрған жарқыншақтардың кулондық әсерлесу энергиясы (кулондық тосқауылдың биіктігі) торий-232 ядросы үшін
 ғана ядроларына тән. Басқа ядролар үшін баяу нейтрондардың әсерінcіз бөліну, олардың энергиялық көзқарастан тиімділігіне қарамастан, тәжірибелерде бақыланбайды. Мұны a-ыдыраудағы сияқты, кулондық тосқауылдың әсерімен түсіндіруге болады. Егер бір-бірінен аластатылған (шексіз қашықтықта орналасқан) жарқыншықтардың әсерлесу энергиясын 0 деп алсақ, жаңа ғана бөлінген, өзара жанасып тұрған жарқыншақтардың кулондық әсерлесу энергиясы (кулондық тосқауылдың биіктігі) торий-232 ядросы үшін
 
Ядроның бөліну 170МэВ энергиясынан әлде қайда жоғары [2] .
1. 3 Тұрақты ралионулидтер және радиациондық қауіпҚазіргі таңда қоршаған ортаның экологиялық қауіпсіздігінің проблемалары туындауда. Топырақ-өсімдік-судың химиялық заттармен ластануы топырақтың құрамында химиялық өзгерістерге алып келеді. Жер шарындағы кейбір аймақтардың техногендік қалдықтары табиғи норманы бірнеше есе асы түседі.
Жуырға дейін ең басты ластаушы деп шаң, көмірқышқыл газ, күкірт оксиді, азот болған. Радионуклидтер ластаушы ретінде қарастырылмаған. Стронций мен цезийдің ластауынан соңғы кездері радионуклиттік ластануға көп көңіл бөлінуде.
Радионуклид - атомдық салмағы мен атомдық заряды бар радиоактивті заттың атомы. Бірдей зарядтары бар, алайда атомдық салмағы әр түрлі атомдар осы элементтің изотоптары деп аталады.
Чернобыль апаты Ресей Федерациясының көптеген аймақтарының экологиялық жағдайына әсер етті. 1992 жлдың науырыз айында цезиймен 11 облыс ластанған. Жалпы цезиймен ластанған жерлердің ауданы 5210 км кв.
Радионуклидтер өсімдіктер мен жануарлар арқылы адам ағзасында жиналып денсаулығына кері әсерін тигізеді. Сондықтан да экологиялық таза өнім шығару керек.
Ауыл шаруашылығының ең басты проблемасы радионуклиттермен ластанған жерлерде экологиялық таза өсімдіктер мен жануарлар өсіру. Бұл іс-шараларды жүзеге асырудың басты себебі, ластанған аймақтарда бала өлімдерінің көбеюі менәр түрді аурулардың пайда болуы.
Жер шарында тіршіліктің дамуы әр қашан қоршаған ортаның радиациялануымен сипатталған. Радиациялық сауленену табиғи және жасанды болады. Табиғи радиацияның шығу тегі космостық және жергілікті болады. Олар жер бетінде адам ағзасына әсер етеді. Ал космостық радиациялар бөлшектелген жиынтығы мен қатты гамма сәулелерден тұрады. Олардың атмосфералық малекулармен әрекеттескенде екілік мезон мен электрондардан тұратын космостық сәулелену пайда болады.
Табиғи радиактивті элементтерді шартты түрде 3 бөлуге болады:
- Уран, торий мен антиноуранның изотоптары;
- Калий, кальций, рубидий және т. б. ;
- Радиактивті изотоптар, яғни тритин;
Биосферада жасанды радионуклиттермен пайда болған сәулелер жасанды радиацияның пайда болуына алып келеді( АЭС-тердегі апаттар, өдерлі өнеркәсіптердің қалдықтары) .
Жалпы атом энергетикасы радиациялық фонның өзгеруіне ықпал жасайды. АЭС-да өңделген өнім кей кездері екінші рет өңделеді.
АЭС-ң апаттарында қоршаған ортаға көптеген радионуклидтер шығарылады. Ең қауіпті апаттар, радионуклиттердің атмосфераға шығуы.
... жалғасы- Іс жүргізу
- Автоматтандыру, Техника
- Алғашқы әскери дайындық
- Астрономия
- Ауыл шаруашылығы
- Банк ісі
- Бизнесті бағалау
- Биология
- Бухгалтерлік іс
- Валеология
- Ветеринария
- География
- Геология, Геофизика, Геодезия
- Дін
- Ет, сүт, шарап өнімдері
- Жалпы тарих
- Жер кадастрі, Жылжымайтын мүлік
- Журналистика
- Информатика
- Кеден ісі
- Маркетинг
- Математика, Геометрия
- Медицина
- Мемлекеттік басқару
- Менеджмент
- Мұнай, Газ
- Мұрағат ісі
- Мәдениеттану
- ОБЖ (Основы безопасности жизнедеятельности)
- Педагогика
- Полиграфия
- Психология
- Салық
- Саясаттану
- Сақтандыру
- Сертификаттау, стандарттау
- Социология, Демография
- Спорт
- Статистика
- Тілтану, Филология
- Тарихи тұлғалар
- Тау-кен ісі
- Транспорт
- Туризм
- Физика
- Философия
- Халықаралық қатынастар
- Химия
- Экология, Қоршаған ортаны қорғау
- Экономика
- Экономикалық география
- Электротехника
- Қазақстан тарихы
- Қаржы
- Құрылыс
- Құқық, Криминалистика
- Әдебиет
- Өнер, музыка
- Өнеркәсіп, Өндіріс
Қазақ тілінде жазылған рефераттар, курстық жұмыстар, дипломдық жұмыстар бойынша біздің қор #1 болып табылады.
 
            
                Ақпарат
Қосымша
Email: info@stud.kz