Барабанды елеуіш түйіндері мен конструкциясын әзірлеу


3 Барабанды елеуіш түйіндері мен конструкциясын әзірлеу
3 . 1 Құрылғының құрылысы мен жұмысын жалпы баяндау
Барабанды елеуіш дегеніміз горизоньтал немесе сәл еңіс ось бойымен айналатын торлы бүйір беті бар цилиндрлі немесе конусты барабан. Барабан ішінде бір жағынан материал жүктеледі, ол барабан айналу кезінде тор үстімен себіледі. Үлкен бөлшектер барабанның барлық ұзындығымен өтіп, басқа шетінен төгіледі.
Цилиндрлі елеуіштерде шығыршықтарда айналатын темір және білікке бекітілген ылдилы осьпен орындайды. Үлкен цилиндрлік елеуіштерде материалдың елеуіш бойына қозғалысы жылдамдығын өзгерту мақсатымен өзгермелі ылдилы бұрышпен жасайды. Барабанды елеуіштер қимасында ол шеңбер тәрізді және көпбұрышты болады. Соңғысын полигональды деп атайды. Полигональды елеуіштер сол өлшемдегі шеңбер тәріздіге қарағанда көп өнімді, өйткені полигональды елеуіш айналған кезде материал жылдамдықпен себілудің нәтижесінде шекараларға соғылып тез төгіледі.
Барабанды елеуіштерде құю цехтарында қолданылған қалыптау қоспаларын және жаңа құмдарды елеуге кең қолданылады. Әдетте полигональды елеуіштерге қарағанда цилиндрлі барабанды елеуіштердің өнімділігі жоғары болып табылады. Барабанды елеуіштердегі қолданылған қоспаға арналған торының ұяшықтар өлшемі 6-25 мм. Осыдан тікбұрышты ұяшықты торды қолданған орынды. Елеуіш барабанындағы материал оның осі бойымен қозғала отырып бірте- бірте себіледі, сондықтан сегмент сияқты материалдың қима ауданы елеуіш ұзындығы бойынша ауыспалы болады. Барабанды елеуіштердің артылықшылықтары конструкциясының қарапайымдылығы және соққы әрекетінің жоқтығы салдарынан тыныш жұмыс істеуі.
Елеуіштің торының ұяшығының өлшемі 25мм болады. Елеуіш 2 корпустың шарнирлі тіреуінде 11 орналасқан. Ол эксцентрикті білік арқылы қайтымды қозғалыс жасайды . Білік корпуста екі подшипник арқылы бекітілген және электроқозғалтқыш арқылы жұмыс жасайды. Электроқозғалтқыш корпустың ішінде орналасқан.
Қалыптауыш қоспа қозғалмалы торға қоректендіргіш арқылы түседі. Ірі кесектер тордың сол жағына қарай жылжиды. Тордан өткен материал елеуіштің түбіне түсіп, магнитті барабанға түседі. Шарнирлі тіреулер оң жаққа қарай еңістеу орналасқан. Сондықтан елеуіш сол жаққа қарай қозғалған кезде елеіш жоғары қарай көтеріледі, ал материалда сол жаққа қарай қозғалады.
3. 2 Құрылғының негізгі көрсеткіштерін есептеу
Барабанды елеуіш үзіліссіз жұмыс істейтін құрылғы болып табылады. Барабан елеуіші пирамида, призма, цилиндр, конусты конфигурациялы болуы мүмкін. Бағыттаушы барабанның немесе еңістің бұрышы себілетін материалдың құрамына байланысты 5,, ,, 15 0 аралығында алынады.
Барабанды елеуіштің жоба есебі.
Алғашқы мәліметтер:
- илегіш өнімділігі=0. 75 кг/c:
- себілген материал бөлшектерінің орташа өлшемі
=1, мм;
-cебілетін материалдың тығыздығы,
=1. 2 кг/м
3
Барабанның ішкі диаметрі берілген өнімділікті қамтамасыз етуден табылады.
(3. 0)
Q=0. 85
кг/с
бұл жерде,
- материалдың себілгендегі салыстырмалы қопсу коэффициенті, негізгі илегіш өлшемі -0, 85.
ос
-иілгіш осі бойымен материал қозғалысының жылдамдығы, - 42м/с.
F- материалдың илегішке кіргендегі қима ауданы, -70 м 2 .
Домалақ қималы (цилиндрлі және конусты) илегіштер үшін F өлшемі h сегмент ауданы сияқты анықталады, оның белгіленген жүктеу коэффициенті төмендегідей:
Һ=(0, 1 . . . 0, 125)
R
б
(3. 1)
Һ=0, 1
=0. 015 м.
мұндағы R б -барабанның ішкі радиусы, -0, 15 м.
F өлшемін келтірілген формула бойынша анықтайды.
F=1, 9
(3. 2)
F=1. 9
Барабанның айналу жиілігін себілетін материалдың оның бетімен ең көп көтерілу бұрышымен табылады.
(3. 3)
айн/мин
мұндығы
- бөлшектер көтерілу бұрышы, град;
- себілетін материалдың шікі үйкелу бұрышы, град.
(3. 4)
Бұрышы өлшемін мына қатынас бойынша алу ұсынылады
(3. 5)
үлкен емес.
Илегіш барабандағы материал бөлшектерінің остік қозғалысы жылдамдығын мына формула бойынша анықтаймыз.
(3. 6)
Осыдан (3. 4), (3. 5), (3. 8) қатынастарын (3. 2) формуласына қойсақ, барабан
диаметрін табуға қажетті өрпек аламыз
(3. 7)
мұндағы
((3. 3) қатысына қара)
барабан ұзындығын L
б
, м П. Ә. К - ті ескере отырып көбіне (4 . . . 5)
аралығында аламыз.
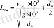
Илегіштін полотно ұяшықтарының өлшемдерін келесідей табады:
Вяч. епін - материал құрамын ескере отырып бөлшектердің орташа диаметрі d ч 1, 2 . . . 1, 5 аралығында, ал L яч ұзындығын - бөлшектердің ұяшықтан жақсы өтуі талабы орындағанда анықталады
(3. 8)
Мұндағы 10 3 - мм-ге ауыстыру коэфициенті
- бөлшектердің қозғалыс жылдамдығының илегіш полотносының сырғанағасына қатынасы, м/с:
(3. 9)
-себудің п. ә. к.
Илегіштің жетек қуаты N, кВт төмендендегі анықтатады.
(3. 10)
Мұндағы
- илегіш айналуына қарсылықтың сумасылық моменті
К - қуаттың қажеттілік коэффициенті К = 1, 0 . . . 1, 2
3. 3 Басқару және автоматтандыру нобайын жетілдіру
... жалғасы- Іс жүргізу
- Автоматтандыру, Техника
- Алғашқы әскери дайындық
- Астрономия
- Ауыл шаруашылығы
- Банк ісі
- Бизнесті бағалау
- Биология
- Бухгалтерлік іс
- Валеология
- Ветеринария
- География
- Геология, Геофизика, Геодезия
- Дін
- Ет, сүт, шарап өнімдері
- Жалпы тарих
- Жер кадастрі, Жылжымайтын мүлік
- Журналистика
- Информатика
- Кеден ісі
- Маркетинг
- Математика, Геометрия
- Медицина
- Мемлекеттік басқару
- Менеджмент
- Мұнай, Газ
- Мұрағат ісі
- Мәдениеттану
- ОБЖ (Основы безопасности жизнедеятельности)
- Педагогика
- Полиграфия
- Психология
- Салық
- Саясаттану
- Сақтандыру
- Сертификаттау, стандарттау
- Социология, Демография
- Спорт
- Статистика
- Тілтану, Филология
- Тарихи тұлғалар
- Тау-кен ісі
- Транспорт
- Туризм
- Физика
- Философия
- Халықаралық қатынастар
- Химия
- Экология, Қоршаған ортаны қорғау
- Экономика
- Экономикалық география
- Электротехника
- Қазақстан тарихы
- Қаржы
- Құрылыс
- Құқық, Криминалистика
- Әдебиет
- Өнер, музыка
- Өнеркәсіп, Өндіріс
Қазақ тілінде жазылған рефераттар, курстық жұмыстар, дипломдық жұмыстар бойынша біздің қор #1 болып табылады.

Ақпарат
Қосымша
Email: info@stud.kz