Крамер формулалары


Жұмыс түрі: Курстық жұмыс
Тегін: Антиплагиат
Көлемі: 31 бет
Таңдаулыға:
МАЗМҰНЫ
II. ЕСЕПТІ ШЕШУДЕГІ ҚОЛДАНЫЛҒАН ПРОГРАММАЛАУ
ОРТАСЫ. ТУРБО ПАСКАЛЬ ПРОГРАММАЛАУ ТІЛІ.
КІРІСПЕ
Паскаль тілін 1973 жылы швейцар математигі Никлаус Вирт жасап шығарады да, атақты француз математигі, физигі, философы және алғашқы есептеу машинасы - арифмометрді /1641/ жасаған Блез Паскальдің құрметіне "Паскаль" деп ат қойды.
Паскаль тілі оқып үйренуге жеңіл, түрлі салалық информациямен жұмыс істеуде нәтижелі болғандықтан, дүние жүзінде көп тараған тілдердің бірі болып табылады.
Паскаль тілі:
• алгоритм құрылымын сақтап құрылған;
• жоғары деңгейлі программалау тілдерінің жақсы қасиеттерін жинақтаған;
• қазіргі замандағы көптеген программалау тілдерінің негізі болып саналады;
Сондықтан бұл тілдің нақты ЭВМ - нің мүмкіндігіне байланысты бірнеше түрлері бар.
Курстық жұмысымның тақырыбы Крамер әдісімен теңдеулер шешуге программа құру.
І. ЕСЕПТІҢ БЕРІЛУІ. КРАМЕР ФОРМУЛАЛАРЫ
Бізге
белгісізі бар
сызықтық теңдеуден тұратын жүйе берілсін:
(1)
Мұндағы
- белгісіздер,
- белгісіздердің коэффиценттері;
- бос мүшелер.
Анықтама. Белгісіздердің (1) жүйедегі теңдеулердің әрқайсысын тепе-теңдікке айналдыратын мәндерін жүйенің шешімі деп атайды. Шешімі бар жүйені үйлесімді, шешімі жоқ жүйені үйлесімсіз жүйе деп атайды.
Белгісіздердің коэффиценттерінен құралған анықтауышты
(2)
жүйенің (немесе жүйеге сәйкес) анықтауышы деп атайды.
Теорема. Егер (1) жүйеге сәйкес (2) анықтауыштың мәні нөлден өзгеше болса, онда (1) жүйе үйлесімді болады және оның жалғыз ғана шешімі болады.
Енді
-дің мәнін табу үшін (1) жүйедегі бірінші теңдеудің
-ге, екінші теңдеуді
-ге тағы сол сияқты ең соңғы теңдеуді
-ге көбейтіп, одан шығатын теңдеулерді мүшелеп қосамыз. Сонда мынау шығады:
Анықтауыштың анықтамасы бойынша, бұл теңдіктің
-дің коэффиценті
-ға тең болады, ал
- дердің коэффиценттері нөлге айналады. Сондықтан
,
яғни
болғандықтан,
болады.
Мұндағы
,
.
Енді
-ні табу үшін (1) жүйедегі бірінші теңдеуді
-ге, екінші теңдеуді
- ге тағы сол сияқты соңғы теңдеуді
- ге көбейтіп, шыққан теңдеулерді мүшелеп қосамыз. Сонда алдындағы айтылғандай
белгісіздердің коэффиценттері нөлге айналып, мынау шығады:
Жалпы
үшін төменгі формула шығады:
сонымен
(3)
Мұндағы
ретті анықтауыш, оның
- дан айырмашылығы тек
к -
тік жолдың элементтерінің орнына сәйкес бос мүшелерді қойсақ,
шығады. Сөйтіп, (1) жүйедегі белгісіздердің мәні (3) формулаларымен анықталады. Олар (3) Крамер формуласы деп аталады.
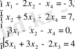
1-мысал.
жүйенің шешімін табу керек.
Жүйенің анықтауышы
нөлге тең болмағандықтан, оның шешімі Крамер формулаларымен анықталады. Мұнда
сондықтан
болады.
Егер (1) жүйедегі барлық бос мүшелер
болса, онда ондай жүйені біртектес жүйе деп атайды.
Біртектес жүйе
әрқашан үйлесімді болады, өйткені
оның шешімі болады. Бұл шешімді нөлдік шешім дейді. Егер біртектес жүйенің анықтауышы
болса, онда жүйенің нөлдік шешімінен басқа шешімі болмайды. Біртектес жүйе үшін Крамер формулалары мына түрге көшеді:
Осыдан біз біртектес жүйенің нөлдік шешімінен басқа шешімінің, тек
болғанда ғана болуы мүмкін деген қорытындыға келеміз.
II. ЕСЕПТІ ШЕШУДЕГІ ҚОЛДАНЫЛҒАН ПРОГРАММАЛАУ ОРТАСЫ. ТУРБО ПАСКАЛЬ ПРОГРАММАЛАУ ТІЛІ.
2. 1 Компьютерді Турбо Паскальда жұмыс істеуге даярлау
Турбо Паскальда жұмыс істеге дайындау жолы:
WINDOWS-тан проводникке шығу үшін:
(Пуск) →Программы→проводник орындаймыз.
Егер компьютерде Borland Pascal 7. 0 қондырылған болса, онда С:\ дискісінде BP каталогында BIN каталогын ашамыз, курсорды bp. exe атауына әкеліп, Enter басу. Borland Pascal 7. 0 версиясына шығамыз.
Паскальда жұмыс жасау:
- Жаңа документ ашу керек болса, онда file мәзірінен new пунктін таңдау;
- Егер бұрынғы документте өзгеріс енгізу керек болса file мәзірінен open пунктін таңдап, керекті файлды ашамыз;
- Терілген программаның дұрыстығын тексеру үшін; Alt +F9пернелер комбинациясын басамыз, егер программада қате болса, курсор жіберілген жерді көрсетіп тұрады, қатені түзетеміз. Қате толық түзетілгенде ғана компиляциядан өтеді;
- Программаны сақтап қою үшін File мәзірінен SAVE пунктін таңдау, файлдың атын жазу;
- Программаны орындауға(компиляция) жіберуCtrl + F9;
- Нәтижені экранға шығаруAlt + F5;
- Файлды дискетаға жазып алу, SAVE пуктін таңдап, келесі команданы тереміз: А:\ файлдың атын жазу;
- Дискетаны ашу келесі орындалады, OPEN пунктін таңдап, келесі команданы тереміз: А:\ файлдың атын жазу. Enter пернесін басамыз. Сонда дискет іші ашылады. Еректі файлды таңдап Enter пернесін басу керек;
2. 2 Паскаль тілінің негізгі элементтері
Паскаль тілінің құрамы мына символдар тобынан тұрады. Олар - әріптер, цифрлар, логикалық мәндер, шектемелер, қызметші сөздер.
Әріптер: Паскаль тілінде негізінен латын алфавиті:
À B C D E G H I J K L M N O P Q R S T U V W X Y Z
a b c d e f g h i j k l m n o p q r s t u v w x y z пайдаланылады.
Цифрлар: араб цифрлары 0, 1, 2, 3, 4, 5, 6, 7, 8, 9 қолданылады.
Логикалық мәндер: true- ақиқат false- жалған . Бұл сөздердің әрқайсысы символ болып табылады.
Шектемелер. Шектемелер амалдарда қолданылатын шектемелер, ара қатынасты көрсететін шектемелер, шекаралық шектемелер болып бөлінеді.
1) Амалдарда қолданылатын шектемелер:
Қосу(+), азайту (-), көбейту(*), бөлу(/),
Div (а div b-а санын b санына бөлгендегі бүтін бөлігі),
mod (а mod b-a санын b санына бөлгендегі қалдық),
2) Ара қатынасты көрсететін шектемелер:
кіші(<), кіші немесе тең (<=), үлкен немесе тең(>=), тең(=), тең емес(< >) .
3) Логикалық амалдардағы шектемелер:
and (логикалық көбейту- және (∧) )
or (логикалық қосу - немесе(∨) )
not (логикалық терістеу - емес( -) )
3) Шекаралық шектемелер. Шекаралық шектемелерге конструкциялық шектемелер мен жақшалар жатады.
Конструкциялық шектемелерге үтір(, ) , нүкте(. ), қос нүкте(:), нүктелі үтір (; ), бағыттауыш(↑), меншіктеу таңбасы(:-), ашық орын жатады.
Жақшаларға дөңгелек жақша, квадрат жақша, тырнақша, түсініктеме жатады.
Жоғарыда айтылған символдардан басқа !, ?, % символдары да қолданылуы мүмкін.
Қызметші сөздер. Қызметші сөздің әрқайсысы белгілі бір мағынаны көрсетеді және олар ағылшын тілінде жазылады. Қызметші сөздер мағынасына қарай "бағыттаушы" және "сипаттаушы" деп екі топқа бөлінеді. Бұлардан басқа да қызметші сөздер болуы мүмкін. Егер бар болса, онда олар қосымша анықталуды керек етпей - ақ, компилятор арқылы пайдаланыла береді.
2. 3 Бағыттаушы қызметші сөздер
begin
end
goto
if
then
else
for
do
until
while
to
downto
repeat
in
read
write
начало
конец
перейти к
если
то
иначе
для
выполнить
до
пока
увеличивая до . . .
уменьшая . . .
повторить
в
ввести
вывести
басы
соңы
көшу
егер
онда
әйтпесе
үшін
орындау
дейін
әзір
… дейін көбейту
дейін азайту
қайталау
ішінде
енгізу
қорытындылау
2. 4 Сипаттаушы қызметші сөздер:
array
case
const
file
function
label
packet
procedure
program
set
record
type
var
Массив
Вариант
константа
файл
фукнция
метка
упакованный
процедура
программа
множество
запись
тип
переменная
массив
вариант
тұрақты, константа
файл
фукнция
белгі
ықшамдалған
процедура
программа
жиын
жазба
типі
айнымалы
2. 5 Стандартты функциялар
I -Integer, R-real, C-char, B-boolean
2. 6 Паскаль тілінде программалау.
Программа құрылымы. Қарапайым программа
Алгоритм сызықтық, тармақталу және циклді болып кездеседі. Оның жалпы жазылу түрі:
алг <атау> (айнымалылар сипаттамасы) .
басы
<алгоритм денесі>
соңы,
Машинаға түсінікті тілдердің бірінде жазылған алгоритмді программа деп атайды.
Паскаль тілінде программаның структурасы
proqram <аты>;
таңбалар бөлімі (label) ;
тұрақтылар бөлімі (const) ;
типтер бөлімі (type) ;
айнымалылар бөлімі (var) ;
процедуралар және функциялар бөлімі (procedure, function) ;
операторлар бөлімі.
Input, output-стандартты атаулар. Input (ендіру) -программаға клавиатурадан ендіру операторы. Оutput (шығару) -экранға не қағазға басып шығару операторы енгізілген кезде жазылады. Оларды жақшалармен қоса программа тақырыбына енгізбей кету мүмкін, компьютер оларды тақырыпта бар деп автоматты түрде қабылдайды. . Программаға операторлар бөлімінен басқа бөлімдердің енгізілуі міндетті емес. Олар қажеттілігіне қарай енгізілуі тиіс.
Паскаль операторлары:
- меншіктеу операторы;
- ендіру (read) ;
- шығару операторы (write) ;
- құрама оператор ;
- шартты оператор (if) ;
- таңдау операторы (case) ;
- "әзірше" циклінің операторы (while) ;
- "үшін" циклінің операторы (for) ;
- "дейін" циклінің операторы (repeat) ;
- көшу операторы (goto) ;
- бос оператор т. б.
Оператор құрамына бір не бірнеше қызметші сөз енуі мүмкін. Олардың біріншісін жай, екіншісін құрылымды опрератор деп атайды. Паскальдағы меншіктеу, ендіру, шығару, көшу және бос операторлары - жай, қалған операторлар құрылымды.
Операторлар бөлімі жай және құрылымды операторлардан тұруы мүмкін. Ол BEGIN- нен басталып, END -пен аяқталады да, олардың аралығы нүктелі үтір арқылы ажыратылып, орындалушы операторлар жазылады. END қызметші сөзінің соңына нүкте қойылуы тиіс, ол - программаның аяқталу белгісі. BEGIN
(басы), END (соңы) -ашу, жабу жақшаларының ролін орындайтын қызметші сөздер. Меншіктеу операторының жазылу үлгісі:
<айнымалы атауы>:= <өрнек >
Мысалы: x:=65, 25; y: =x; u:=5/x +4*y; y=4-5*cos(x) +6*sin(z) ; Pi:=3, 14;
Оперативті жадыдан мәндерді монитор экранына шығару WRITE операторы арқылы беріледі. Мысалы, х, у айнымалыларының мәндерін экранға шығару операторы - write(x, y), мұнда х, у айнымалыларын WRITE (жазу) операторының параметрі деп те атайды. Параметрлері үтір арқылы бөлініп, жай жақшалар ішінде жазылады.
WRITE операторының түрлі түрде жазылу мысалдары:
1) WRITE (x) ;
2) WRITE(x, ‘ ‘, y) ; (‘ ‘) - бос орын белгісі
3) WRITE (3*x+5, ’ ‘, y+2) ;
4) WRITE (x:n:m) ; WRITE(x/2:7:3)
5) WRITE (‘х-ті енгіз. ) ;
Паскальда белгілі мақсатта пайдаланылатын жүйелік файлдар бар. Олардың стандартты атаулары:
INPUT- клавиатурадан ендіру файылының аталуы
OUTPUT-экранға шығару файылының аталуы
LST-принтерде басып шығару файылының аталуы т. б.
Паскаль тілінде құрылатын программада операторлар мүмкіндігінше нөмірленбейді(белгі қойылмайды) ; әр опрератордан соң нүктелі үтір таңбасы қойылады (ол операторларды ажырату белгісі ) ; бір жолға сыйғанша бірнеше операторды орналастыру мүмкін. Операторларды жол басынан бастап жазу, бір жолға бірнеше операторды орналастыру және ЕND қызметші сөзінің алдындағы оператор соңына нүктелі үтір таңбасын қою міндетті емес. Программаны оқуға ыңғайлы етіп орналастырса болғаны. Қызметші сөздер мен атауларды жазуға үлкен не кіші латын әріптерін пайдаланудың айырмашылығы жоқ.
2. 7 Берілгендерді сипаттау
Бүтін типтер - жадыда 1 ден 4 байтқа дейін орын алатын мәнді айтады. Бұл мәндер кейбір арифметикалық операциялар орындай алады.
Бүтін типтерге келесі арифметикалық операциялар орындайға болады:
+, -, /, *, div, mod және <><=>=стандартты функциялар: abs(x), odd(x), chr(x), sqr(x), sqrt(x) т. б.
Нақты типтер - жадыда 4-ден 6 байтқа дейін орын алатын мәнді айтады. Бұл мәндер арифметикалық операциялар орындайды.
Бүтін типтерге келесі арифметикалық операциялар орындайға болады:
+, -, /, *, div, mod және стандартты функциялар: abs(x), odd(x), chr(x), sqr(x), sqrt(x) т. б.
2. 8 Сызықтық алгоритм
Сызықтық алгоритм негізінде құрылған программаны сызықтық деп, оның жай типті айнымалыларды пайдаланып құрылған түрін қарапайым деп те атайды.
1. 1-мысал . 854 пен 456 сандарының қосындысын табу керек болсын.
Program kos; схемасы
var a, b, s: real;
begin
а:=6. 5; b=3. 9;
S:=a + b;
write(’s:=’, s:7:5) ;
end.
Барлық меншіктеу операторларын пайдаланып, айнымалылардың түрлі мәндерімен жұмыс істеу ыңғайлы емес, себебі әр жолы, меншіктелінетін мәндерді алмастыру керек.
Программаны өзгертпей жұмыс істеу үшін READ (оқу) операторын пайдалану ыңғайлы. Оның жазылу түрі:
READ (x1, х2, . . . , хк)
Мұндағы хі (і=1, 2, 3, . . . , к) ендірілетін мәндерді сәйкес түрде қабылдайтын айнымалылар.
Енді мысалды READ операторын пайдаланып, программаны жалпы жағдайға лайықтап жазайық.
program kos;
var a, b, s :real;
begin
write (’a, b=’) ;
readln (a, b ) ;
S:= a+b;
write (’s:=, ’s:9:4)
end.
Программаның орындалу барысында READ операторы кездессе, машина айнымалылар мәндерін ОЖ- ға ендіруді күтіп, тоқтап қалады. Мәндерді клавиатурадан аралықтарына бос орын қалдырып теріп, Enter пернесін басса, программаның орындалуы одан әрі жалғасады.
READ опреторының алдында мәндерді ОЖ ендірілуі тиіс айнымалыларды WRITE операторы арқылы экранда көрсетіп қойған жөн.
1. 2 мысал. Қабырғалары берілген, үшбұрыштың ауданын табу керек .
program audan;
var
a, b, c, p, s: real;
begin
write (’a, b, c=?’) ;
read (a, b, c) ;
P:=(a+b+c) /2;
S:=SQR (p*(p-a) *(p-b) *(p-c) ) ;
write (’p:=’, p:4:2, ‘s:=’, s:4:2)
end.
WRITE, READ- Паскальдың стандартты атаулары. Кейде олардың соңына LN жалғауын қосып, WRITELN, READLN түрінде жазу қажет. Мысалы:
readln (a, b, h) ;
writeln (x: 6: 2) .
Мұндай оператор орындалған соң курсор экранда өзінің тұрған орнынан келесі жолдың басына ауыстырылады да, кезекті оператордың орындалуы экранда осы жерден бастап, көріне бастайды. Егер келесі жолды бос күйінде тастап кету қажет болса, программаға соңғы орындалатын LN жалғаулы операторлардан соң параметрсіз WRITELN операторын енгізсе болғаны.
1. 3 - мысал . x, у үшін х 2 -sin(у) мәнін экранға шығару программасын құру керек.
program f;
uses crt;
var x, y, p: integer;
begin
clrscr;
write('x, y=') ;
readln (x, y) ;
p: =sqr(x) -sin( y) ;
writeln;
write('p:=', p)
end.
Программаның орындалуы экранда мынандай түрде болады.
{Ctrl+F9 (компиляцияға жібереміз) }
x, y=
45
45
{Alt+F5 (жауабын аламыз) }
p=57
Мұндағы clrscr (clear screen-экранды тазалау) .
Uses crt, keupressed Турбо Паскальдағы тиісті жүйелік программалардың crt атаулы бөліміндегі экранның текстік режимін басқару құралдары.
Символдық шамаларды жолмен және бағана бойымен жазу.
program semia;
uses crt;
begin
clrscr;
writeln('Ernur, ', 'Ainur, ') ;
writeln('Adiljan, ', 'Aisulu, ') ;
writeln ('Marat, ', ' Aknur') ;
writeln('Leila, ', 'Timur, ') ;
writeln;
end.
Түсініп оқуға жеңіл болу үшін күрделі программның әр жеріне түсініктемелер жазылады. Олар { } не (*) символдарының аралықтарына орналастырылады, мысалы: {Аудан}, {*Периметрдің жартысы*}. Компьютер түсініктемені оқымай тастап кетеді, ол тек программаны оқуды оңайлату үшін ғана қажет.
1. 4 - мысал . Write операторын пайдаланып, өрнектер, тақырыптар орнаменттер салу процедурасы
PROGRAM х ;
BEGIN
WRITELN (' х ' ) ;
WRITELN (' x x ' ) ;
WRITELN (' x x ' ) ;
WRITELN (' x х х х х x ' ) ;
END .
Баспасы х
x x
x x
x х х х х x болады.
1. 5- мысал.
А, В сандарының арифметикалық және геометриялық ортасын анықтайтын программа жазыңдар, а, в санының арифметикалық ортасы (а+в) /2; в, а санының геометриялық ортасы:
PROGRAM Esep;
VAR
A, B, P, S :REAL;
BEGIN
READ ( A, B ) ;
P=SQR(A*B) ;
S; =(A+B) /2;
WRITELN (' P= ', P) ;
WRITELN (' S= ', S) ;
END.
1. 6- мысал
.
Тік бұрышты үшбұрыштың катеттері берілген. Оның гипотенузасын және ауданын табатын программа құр. A
2
+B
2
=C
2
; C=
PROGRAM Esep-1;
VAR
A, B, С, S:REAL; { айнымалыларды сипаттаймыз}
BEGIN
READ (A, B ) ; {айнымалыларды енгізу}
C:=SQRT(SQR(A) +SQR(B) ) ; {есептеу}
S:=A*B/2;
WRITELN(‘S=’, S) ;
WRITELN ('C=', C) ; {Жауабын шығару}
END.
1. 7- мысал. х және y нақты сандары берілген.
есептейтін программа құр.
PROGRAM Esep-2;
VAR
X, Y, Z :REAL; { айнымалыларды сипаттаймыз}
BEGIN
WRITELN(‘X=’) ;
READ (X ) ; {X-ті енгіземіз}
WRITELN(‘Y=’) ;
READ (Y ) ; {Y-ті енгіземіз}
Z:=(ABS(X) -ABS(Y) ) /(1+ABS(X*Y) ) ;
WRITELN (' Z= ', Z) ;
END.
2. 9 Шартты Оператор. Жай Шарт.
Шартты көшу операторы.
Шартты көшу операторы, белгілі бір шарттардың орындалуына байланысты, операторлардың орындалу тәртібін өзгертіп отырады. Бұл операторларды екі түрде жазуға болады;
Толық түрі Толық түрі Паскаль тілінде
Егер шарт IF-THEN-ELSE
онда 1 -серия if A then B else
әйтпесе 2-серия жазылу үлгілері
бітті IF (шарт) THEN(оператор1 ) ELSE(оператор 2)
Екі серияның біреуі ғана орындалады. Егер шарт сақаталатын болса, онда 1 - серияны, ал шарт орындалмаса, 2 - серияны орындау керек.
Қысқаша түрі Паскальда
... жалғасы- Іс жүргізу
- Автоматтандыру, Техника
- Алғашқы әскери дайындық
- Астрономия
- Ауыл шаруашылығы
- Банк ісі
- Бизнесті бағалау
- Биология
- Бухгалтерлік іс
- Валеология
- Ветеринария
- География
- Геология, Геофизика, Геодезия
- Дін
- Ет, сүт, шарап өнімдері
- Жалпы тарих
- Жер кадастрі, Жылжымайтын мүлік
- Журналистика
- Информатика
- Кеден ісі
- Маркетинг
- Математика, Геометрия
- Медицина
- Мемлекеттік басқару
- Менеджмент
- Мұнай, Газ
- Мұрағат ісі
- Мәдениеттану
- ОБЖ (Основы безопасности жизнедеятельности)
- Педагогика
- Полиграфия
- Психология
- Салық
- Саясаттану
- Сақтандыру
- Сертификаттау, стандарттау
- Социология, Демография
- Спорт
- Статистика
- Тілтану, Филология
- Тарихи тұлғалар
- Тау-кен ісі
- Транспорт
- Туризм
- Физика
- Философия
- Халықаралық қатынастар
- Химия
- Экология, Қоршаған ортаны қорғау
- Экономика
- Экономикалық география
- Электротехника
- Қазақстан тарихы
- Қаржы
- Құрылыс
- Құқық, Криминалистика
- Әдебиет
- Өнер, музыка
- Өнеркәсіп, Өндіріс
Қазақ тілінде жазылған рефераттар, курстық жұмыстар, дипломдық жұмыстар бойынша біздің қор #1 болып табылады.

Ақпарат
Қосымша
Email: info@stud.kz