Бірқалыпты түзусызықты қозғалыс

 
    
БІРҚАЛЫПТЫ ТҮЗУСЫЗЫҚТЫ ҚОЗҒАЛЫС
Қозғалыстың ең қарапайым түрі-бір қалыпты түзусызықты қозғалысты қарастырайық.
Жылдамдыгының бағыты да, шамасы да түрақты болатын қозғалысты бірқалыпты түзусызықты қозғалыс деп атайды.
Дәлірек айтсак, ондай қозғалыс жоқ деуге болады. Алайда шамалы уақыт мезетіндегі дененің қозғалысын бірқалыпты деп есептей алуымыз мүмкін. Парашюті ашылғаннан кейінгі парашютшінің қозғалысы, шариктің немесе доптың горизонталь бет бойымен баяу қозғалысы, ұшақтың ұшуы және т. б. мұндай қозғалыстың мысалы бола алады.
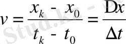
Бірқалыпты қозғалыстың жылдамдығы орын ауыстырудың сол
орын ауыстыруға кеткен уақыт аралығына қатынасымен анықталады:
 . Демек,
 . Демек,
  const кезінде, орын ауыстыру
 const кезінде, орын ауыстыру
  болады.
 болады.
Егер жылдамдык тұрақты шама болса, онда кез келген тең уақыт
аралығында дене бірдей қашыктықты жүріп өтеді. Мысалы, егер дене
 тұрақты жылдамдыкпен қозғалатын болса, онда ол 5 с ішінде
 тұрақты жылдамдыкпен қозғалатын болса, онда ол 5 с ішінде
 0, 5 м, 10 с-та 1 м жүріп өткен болар еді. Бұл қозғалыс алгебралық түрде
 
  s=vt
 
 өрнегімен анықталады, мұндағы
 
  s
 
 - жүрілген жол,
 
  v
 
 - жылдамдык,
 
  t
 
 - қозғалыс уақыты. Бірқалыпты түзусызықты қозғалыста орын ауыстыру векторының модулі жүрілген жолға тең, яғни
  .
 .
Егер уақыт қозғалыстың басталу мезетінен есептелсе, ал жол ұзындығының санак басы қозғалыстың бастапқы нүктесімен сөйкес келсе, онда осы қарапайым формула бойынша жүрілген жолды анықтай аламыз.
 Егер дененің бастапкы
 
  t
  
   0
  
 уақыт мезетінде координатасы х
 
  0
 
 нүктесінде болса, онда
 
  t
 
 уақыт ішінде ол
 
  s
 
 орын ауыстырады. s векторының
 
  Ох
 
 осіне проекциясы
  болады. Жалпы алғанда уақыт интервалын
 болады. Жалпы алғанда уақыт интервалын
  t = t-t
  
   0
  
 түрінде, яғни соңғы
 
  t
 
 және бастапкы
 
  t
  
   0
  
 уақыт мезеттерінің айырымы ретінде жазуға болады. Сонда дене координатасын анықтауға арналған формуланы келесі түрде жаза аламыз:
  t = t-t
  
   0
  
 түрінде, яғни соңғы
 
  t
 
 және бастапкы
 
  t
  
   0
  
 уақыт мезеттерінің айырымы ретінде жазуға болады. Сонда дене координатасын анықтауға арналған формуланы келесі түрде жаза аламыз:
 ал бұдан
 ал бұдан
 (3. 1)
 (3. 1)
аламыз.
Проекцияларында берілген жалпы формулаларды ось индексін көрсетпей жазуға келісейік, онда (3. 1) формуланы
 (3. 2)
 (3. 2)
түрінде жазуға болады
(3. 2) формуласы бойынша At уакыт ішінде дененің біркалыпты түзусызыкты козғалып жеткен координатасы есептелінеді.
 Егер сендер поезбен келе жатсаңдар, онда белгілі бір бастапқы пунктке қатысты жолдағы жеке бекеттердің орнын көрсету үшін теміржолшылар белгілейтін километрлік бағандарды көресіңдер. Мысалы, Үштөбе Алматыдан солтүстік шығыска қарай
  км қашықтықта орналасқан.
 км қашықтықта орналасқан.
 Егер сендер Үштебеден км 19:00 сағ кезінде шығып, шығыска қарай
  жылдамдықпен қозғалсаңдар, онда
 жылдамдықпен қозғалсаңдар, онда
  сағ кезінде Алматыдан шыққалы қанша жол жүрілгенін (3. 2) формуласы бойынша таба аласыңдар:
 сағ кезінде Алматыдан шыққалы қанша жол жүрілгенін (3. 2) формуласы бойынша таба аласыңдар:
  x=
 
 310 км +
  (20-19) car =370
 
  km.
 
 Осылайша өз есептеулеріңді километрлік бағандардың көрсеткіші бойынша салыстырып, мысалы, Алматыдан қаншалықты ұзап кеткендеріңді анықтай аласыңдар. Алгебра курсынан сендерге
 
  у
 
 =
 
  у(х)
 
 түзуінің теңдеуі, әдетте,
 (20-19) car =370
 
  km.
 
 Осылайша өз есептеулеріңді километрлік бағандардың көрсеткіші бойынша салыстырып, мысалы, Алматыдан қаншалықты ұзап кеткендеріңді анықтай аласыңдар. Алгебра курсынан сендерге
 
  у
 
 =
 
  у(х)
 
 түзуінің теңдеуі, әдетте,
  түрінде жазылатыны белгілі. Бұл теңдеу
 түрінде жазылатыны белгілі. Бұл теңдеу
  қозғалыс теңдеуімен сәйкес келеді. Мұндай функция
 
  сызықтың
 
 деп аталады, өйткені оның графигі түзу сызың болады. Автомобильдің тұрақты жылдамдыкпен қозғалуы кезіндегі орын ауыстыруының уақытка қатысты тәуелділік графигі көрсетілген.
 қозғалыс теңдеуімен сәйкес келеді. Мұндай функция
 
  сызықтың
 
 деп аталады, өйткені оның графигі түзу сызың болады. Автомобильдің тұрақты жылдамдыкпен қозғалуы кезіндегі орын ауыстыруының уақытка қатысты тәуелділік графигі көрсетілген.
 Егер автомобиль бастапкы
 
  t
  
   0
  
 уақыт мезетінде
 
  х
  
   0
  
 , ал
 
  t
  
   K
  
 мезетінде
 
  х
  
   к
  
 нүктесінде болса, онда
 
  х
  
   к
  
 -
 
  х
  
   0
  
 =у (
 
  t
 
  к
 
 -
 
  t
  
   0
  
  )
 
 немесе
  болады.
 болады.
х (t) графигінің көлбеулігі, яғни көлбеуліктің тангенс бұрышы v жылдамдыңты көрсетеді.
v жылдамдык проекциясы үшін алынған ѳрнек он да, теріс те болуы мүмкін және мұндағы таңба қозғалыс бағытын көрсетеді. Егер ѵ жылдамдық проекциясы теріс болса, онда қозғалыс таңдап алынган Ох осінің бағытына кері бағытта өтеді.
Жылдамдык тұрақты болғандықтан, оның графигі түзу болып табылады. Сондықтан үшбұрышты (үлкен немесе кіші) қалай таңдап
 алсақ та,
  қатынасы тек бір ғана мәнді қабылдайды.
 қатынасы тек бір ғана мәнді қабылдайды.
ТҮЗУСЫЗЫҚТЫ ТЕҢҮДЕМЕЛІ ҚОЗҒАЛЫС. ҮДЕУ
Табиғатта да, күнделікті өмірде де денелердің жылдамдығы күрделі түрде өзгеретін қозғалыстар жиі кездеседі. Бірінші жағдайда жылдамдық күрт артуы немесе кемуі, екінші жағдайда біршама уақыт бойы тұрақты болып қалуы мүмкін. Біз жылдамдығы бірқалыпты өзгеріп отыратын ең қарапайым қозғалысты - түзусызықты теңүдемелі қозғалысты, яғни үдеуі тұрақты қозғалысты қарастырамыз. Мысалы, дене ауырлық күшінің өрекетінен қозғалғанда, еркін күлап түскенде немесе көлбеу үстел бетімен домалағанда, олардың үдеуі шамамен тұрақты болады. Автомобиль орнынан қозғалғанда немесе тежелгенде, шамамен тұрақты үдеумен қозғалады.
Үдеу деп нені айтатынын есімізге түсірейік.
Үдеу - жылдамдықтың өзгеру шапшаңдығын сипаттайтын векторлық шама.
Күнделікті өмірде үдету немесе шапшаңдату деп қолданылатын сѳздерге қарағанда, физикадағы "үдеу" ұғымының едәуір кең мағынасы бар екенін ескерте кетейік. Ол жылдамдықтың тек артуын ғана емес, оның баяулауын да білдіреді.
 уақыт аралығында дене жылдамдығы
 
  а
 
 шамасына ѳзгерді деп айтудың орнына, біз кысқаша түрде дене үдеуі
 
  а
 
 -ға тең деп айтамыз.
 уақыт аралығында дене жылдамдығы
 
  а
 
 шамасына ѳзгерді деп айтудың орнына, біз кысқаша түрде дене үдеуі
 
  а
 
 -ға тең деп айтамыз.
 Тұрақты үдеумен түзусызықты қозғалыс кезінде жылдамдьщ векторы кез келген бірдей
  уақыт аралығында бірдей
 уақыт аралығында бірдей
  шамаға өзгереді. Сондықтан кез келген уақыт аралығы үшін дене жылдамдығының өзгерісінің уақыт аралығына қатынасы бірдей болады, яғни үдеу тұрақты шама болып қалады:
 шамаға өзгереді. Сондықтан кез келген уақыт аралығы үшін дене жылдамдығының өзгерісінің уақыт аралығына қатынасы бірдей болады, яғни үдеу тұрақты шама болып қалады:
 (4. 1)
 (4. 1)
Бірдей уақыт аралығында үдеуі тұрақты болатын қозғалыс теңүдемелі қозғалыс деп аталады.
 векторынын бағыты
 векторынын бағыты
  векторының бағытымен сәйкес келеді. Жылдамдыктың артуы жөне кемуі жағдайындағы
 
  а
 
 векторының (шанамен сырғанап келе жатқан бала мысалыида) бағытын анықтайық.
 векторының бағытымен сәйкес келеді. Жылдамдыктың артуы жөне кемуі жағдайындағы
 
  а
 
 векторының (шанамен сырғанап келе жатқан бала мысалыида) бағытын анықтайық.
 Бірінші жағдайда
  және
 және
  үдеу векторынын бағыты қозғалыс бағытымен сәйкес келеді, екінші жағдайда
 
  v
  
   4
  
  <v
  
   3
  
 болғандықтан
 үдеу векторынын бағыты қозғалыс бағытымен сәйкес келеді, екінші жағдайда
 
  v
  
   4
  
  <v
  
   3
  
 болғандықтан
  горизонталь жазықтықта үйкеліс есебінен шананың жылдамдығы азаяды), үдеу векторы қозғалыс бағытына қарама-қарсы бағытталады.
 горизонталь жазықтықта үйкеліс есебінен шананың жылдамдығы азаяды), үдеу векторы қозғалыс бағытына қарама-қарсы бағытталады.
- Іс жүргізу
- Автоматтандыру, Техника
- Алғашқы әскери дайындық
- Астрономия
- Ауыл шаруашылығы
- Банк ісі
- Бизнесті бағалау
- Биология
- Бухгалтерлік іс
- Валеология
- Ветеринария
- География
- Геология, Геофизика, Геодезия
- Дін
- Ет, сүт, шарап өнімдері
- Жалпы тарих
- Жер кадастрі, Жылжымайтын мүлік
- Журналистика
- Информатика
- Кеден ісі
- Маркетинг
- Математика, Геометрия
- Медицина
- Мемлекеттік басқару
- Менеджмент
- Мұнай, Газ
- Мұрағат ісі
- Мәдениеттану
- ОБЖ (Основы безопасности жизнедеятельности)
- Педагогика
- Полиграфия
- Психология
- Салық
- Саясаттану
- Сақтандыру
- Сертификаттау, стандарттау
- Социология, Демография
- Спорт
- Статистика
- Тілтану, Филология
- Тарихи тұлғалар
- Тау-кен ісі
- Транспорт
- Туризм
- Физика
- Философия
- Халықаралық қатынастар
- Химия
- Экология, Қоршаған ортаны қорғау
- Экономика
- Экономикалық география
- Электротехника
- Қазақстан тарихы
- Қаржы
- Құрылыс
- Құқық, Криминалистика
- Әдебиет
- Өнер, музыка
- Өнеркәсіп, Өндіріс
Қазақ тілінде жазылған рефераттар, курстық жұмыстар, дипломдық жұмыстар бойынша біздің қор #1 болып табылады.
 
            
                Ақпарат
Қосымша
Email: info@stud.kz