Картогарафиялық өнімдердің сапасын бағалау


Жұмыс түрі: Материал
Тегін: Антиплагиат
Көлемі: 4 бет
Таңдаулыға:
Картогарафиялық өнімдердің сапасын бағалау
Аннотация
Карта ақпараттық өнім, географиялық кеңістіктіктіктегі нысандар тобы туралы ақпараттар ағыны. Картаны құрастыруда, сапасын анықтауда ( картаның математикалық негізі, оның толық мазмұны, геометриялық дәлдігі, заманауи карта, безендіру сапасы, ғылыми және әлеуметтік құндылығы, ) ақпараттылығы, векторлық-иерархиялық сапасын бағалау картографиялық туындының.
Сапа- топографиялық және геодезиялық өнімдер оларды геодезиялық сертификаттау жүйесі, сертификаттау ережелері, принциптері, құрылымы, қасиеттер жиынтығынан тұрады.
Картаның сапасын құраушылар:
Математикалық негізі, толық мазмұны, геометриялық дәлдігі, құндылық, безендіру сапасы, Заманауилығы, Нақтылығы
Негізгі сертификаттау жүйесінің бығыты:
Құрастырылған өнімді талапқа сай тексеру және сәйкестендіру
Жоғары сапалы өнімді тұтынушылардың таңдау көмегі
Басекеге қабілетті өнімді арттыру
Сәйкестік белгісі бар, сатылған өнімдерге сенімді арттыру және өндіруші абыройын қолдау
Профессор К. А. Салищев өзінің жұмысында картаға бағалау және анализ жұмыстарын жүргізді, ( ғылыми және әлеуметтік құндылық, безендіру сапасы, заманауилық, толық мазмұны, картаның математикалық негізі ) . Осындай жүйелік кешен картаның сапасын бағалаумен және негізгі анализді құрастыруда қолданылады.
Иерархиялық үлгі.
Картаның сапасының ауқымдылығы мен тереңдігі
Иерархиялық құрылымның векторлық көрсетілімі
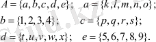
Бұл векторды анықтауда, n- нөмірлі тізбегі,
n - өлшемді вектор деп аталады,
Вектор түсінігі, өзіне кейбір компоненттер санын қосады. Әрбір вектор бірнеше вектор компоненттеріне тұрады.
А -векторы карта сапасының жүйелік векторы
Векторлық иерархиялық үлгі, сапалы карта жүйесінің құрылымын визуализациялауға мүмкіндік береді, сонымен қатар картаның толықтығын, нақты дәлдік мәндерін қарастырады.
Картаның математикалық негізі
Картаның математикалық негізіне анализ жасауда, көптеген жағдайларда әсіресе картаның қабылданған масштабының орындылығы оның масштабына, проекциясымен координаталық торына, компановкасына топографиялық картаның координата жүйесімен геодезиялық жүйесі қарастырылады.
Ақпараттың көлемін бағалау, карта мазмұнын толық бағалау және анализ жасау
Картаның толық мазмұнын бағалауда, картаға қойылатын талаптарды тұжырымдау, оны қолдану ерекшеліктерін түсіндіру, карта масштабы мен географиялық шарттарына талдау жүргізу. Картадағы эленттер (номенклатура) мазмұны, осы элементтердің әрқайсысын классификациялауға белгілерін таңдау, әдіснаманы және логиканы жіктеу талаптарын сақтау, жіктеу бөліну дәрежесін, ақпараттың далпы көлемі. Картаны аудан бойынша қолдану оның толықтық дәрежесін анықтайды.
Картаның нақталығын талдау
Қолданбалы картағның генерализациялау сапасын қарастырады. Картаны аудан бойынша қолдану, картаның дәлдігін талап етеді.
Картаның геометриялық дәлдігі
Заманауи карта
Адмзат қоғамында табиғат және қоршаған орта үздіксіз өзгерісте болады, сол себепті ертерек жаслынған ескі карталар өзінің дұрыстығын жоғалтады. Жаңа нысандар пайда болып, ескілері өз мағынасын жоғалтады немесе жаңа атауға йе болады. Карта бойынша шешілетін міндеттер, картаның талап ету дәрежесіне байланысты.
Безендіру және карта сапасын анықтау
Қолданбалы картадағы бейнелеу құралдары, картаның оқылуын білуге бағытталады, картаны оқу барысында жеңіл және жылдам эстетикалық қасиеттерді және ресурстарды үнемді пайдалануды анықтайды.
Картаның ғылыми және әлеуметтік құндылығын талдау
Картаның әлеуметтік-саяси артықшылықтары саяси-әлеуметтік карталарды анықтаумен бағалаудан тұрады. Карта елеулі ескертулерлерді себеп етпейді геометриялық дәлдікте, заманауилық және басқа критерийлерде, бірақ ғылыми және әлеуметтік аспектте қолайсыз болуы мүмкін. Картаның талап ету құндылығы шешілетін мақсатын анықтайды.
Картаның ақпараттылығы оның сапасын құрастырушы
Карта ақпараттық өнім болып табылады, геогафиялық ортадағы ақпаратты тасымалдаушы, кеңістіктік ортадағы георафиялық деректерді көрсетеді, сонымен қатар атрибуттық ақпарат ұсынады.
Картаны өндіруші картаның өндіру сапасын, оның техникалық ережелерінің сәйкестігін, мәліметтерді ұзақ мерзімді пайдалану үшін жарамды қолдануды қамтамасыз етеді. Қолда бар ақпарат белгілі бір тапсырманы шешуге мүмкіндік береді, ол ақпараттылық болып табылады. Бұл ақпарат сыйымдылығының ақпараттан айырмашылығы. Пайдаланушы тапсырманы шеше алады ондағы ақпарат үлесі арқылы және картаның ақпараттылығы анықталады. Векторға қойылатын картаның сапа міндеттірі вектордың проекциясы ақпараттық картада анықталады.
Қорытынды
Векторлық - графикалық тәсіл картаны визуализациялау және карта сапасын, ақпарат мазмұнын бағалауға мүмкіндік береді.
Пайдаланылған әдебиеттер:
1. http://www. to73. rosreestr. ru/kartogr/nor_tech_doc/ -интернет желісі Росреестра.
2. Топографиялық және картографиялық өнімдердің, геодезиялық сертификаттау жүйесі, 2000 ж.
3. http://www. gisa. ru/certification. html - геоинформацион-ный портал ГИСА
4. Салищев к. а. Картоведение. М. : Изд-во МГУ, 1982. ‒408 с.
6. Лонский и. и. Информационная оптимизация видеосистем//Изв. вузов «Геодезия и аэрофотосъемка», 1993. ‒№ 4.
‒С. 149‒152.
7. Лонский и. и. Сравнительная оценка возможностей ин-формационных систем Изв. вузов. «Геодезия и аэрофотосъем-ка». ‒2013. ‒№ 4. ‒С. 97‒99.
8. Барбаумов в. е., Ермаков в. и., кривенцова н. н. и др.
Справочник по математике для экономистов. М. : Высшая шко-ла, 1987. - 336 с.
... жалғасы- Іс жүргізу
- Автоматтандыру, Техника
- Алғашқы әскери дайындық
- Астрономия
- Ауыл шаруашылығы
- Банк ісі
- Бизнесті бағалау
- Биология
- Бухгалтерлік іс
- Валеология
- Ветеринария
- География
- Геология, Геофизика, Геодезия
- Дін
- Ет, сүт, шарап өнімдері
- Жалпы тарих
- Жер кадастрі, Жылжымайтын мүлік
- Журналистика
- Информатика
- Кеден ісі
- Маркетинг
- Математика, Геометрия
- Медицина
- Мемлекеттік басқару
- Менеджмент
- Мұнай, Газ
- Мұрағат ісі
- Мәдениеттану
- ОБЖ (Основы безопасности жизнедеятельности)
- Педагогика
- Полиграфия
- Психология
- Салық
- Саясаттану
- Сақтандыру
- Сертификаттау, стандарттау
- Социология, Демография
- Спорт
- Статистика
- Тілтану, Филология
- Тарихи тұлғалар
- Тау-кен ісі
- Транспорт
- Туризм
- Физика
- Философия
- Халықаралық қатынастар
- Химия
- Экология, Қоршаған ортаны қорғау
- Экономика
- Экономикалық география
- Электротехника
- Қазақстан тарихы
- Қаржы
- Құрылыс
- Құқық, Криминалистика
- Әдебиет
- Өнер, музыка
- Өнеркәсіп, Өндіріс
Қазақ тілінде жазылған рефераттар, курстық жұмыстар, дипломдық жұмыстар бойынша біздің қор #1 болып табылады.

Ақпарат
Қосымша
Email: info@stud.kz