Орта мектепте электростатика бөлімін демонстрациялық көрсетулер көмегімен оқыту


ҚАЗАҚСТАН РЕСПУБЛИКАСЫ ҒЫЛЫМ ЖӘНЕ БІЛІМ МИНИСТРЛІГІ
ФИЗИКА, МАТЕМАТИКА, ТЕХНИКА ЖӘНЕ АҚПАРАТТЫҚ
ТЕХНОЛОГИЯ ФАКУЛТЕТІ
Физика кафедрасы
БІТІРУ ЖҰМЫСЫ
Тақырыбы: Орта мектепте электростатика бөлімін демонстрациялық көрсетулер көмегімен оқыту
МАЗМҰНЫ
КІРІСПЕ . . . 3
1. ДЕМОНСТРАЦИЯЛЫҚ КӨРСЕТУЛЕРДІҢ ТҮРЛЕРІ . . . 5
1. 1 Демонстрациялық тәжірибелер. Демонстрацияны өткізу техникасы . . . 5
1. 2 Зертханалық жұмыстар және оларды ұйымдастыру . . . 11
1. 3 Сыныптан тыс тәжірибелер мен бақылаулар . . . 15
1. 4 Эксперименттік есептер . . . 17
1. 5 Фронтальды тәжірибелер . . . 29
1. 6 Экрандық-дыбыстық құралдар . . . 31
2. ЭЛЕКТРОСТАТИКА . . . 35
2. 1 Электростатика бөлімінде демонстрацияны көрсету әдістері . . . 40
2. 2 Кулон заңын оқыту әдісі . . . 47
2. 3 Электр өрісінің энргетикалық сипаттамасы. Өріс потенциалы. ұғымын енгізу әдісі . . . 52
2. 1. 9 Электрсыйымдылық . Конденсатор. түрлері және оларды жалғауды оқыту әдістемесі . . . 64
Қорытынды . . .
Әдебиеттер . . .
Қосымша А . . .
Қосымша Б . . .
Қосымша В . . .
Қосымша С . . .
Қосымша Д . . .
КІРІСПЕ
Менің бітіру жұмысымның тақырыбы «Орта мектепте электростатика бөлімін демонстрациялық көрсетулер көмегімен оқыту». Бітіру жұмысымдағы демонстрациялық көрсетулердің тиімділігін және қажеттігін көрсету. Электростатика бөліміндегі белгілі бір сабақтық құрал жоқ жағдайда демонстрацияны ұйымдастыру арқылы сабақ өткізу. Сондай-ақ 3 курста жасалған виртуальдық зертханалық жұмыстың әдістемелік нұсқауын жасау.
Электростатика - бұл қозғалмайтын заряд тудыратын өрісті оқытады.
Физикалық эксперимент тәжірибиелік жолмен оқылып отырған құбылыстар мен процестердің табиғатын ашып көрсетеді. Физикалық эксперименттің түрлері: демонстрациялық тәжірбиелер, фронтальды зертханалық жұмыстар, көркемдік құралдар.
Демонстрациялық эксперимент- құбылыстарды және заңдарды оқып-үйрену үстінде тыңдаушының ой-өрісіне мұғалімнің басшылығы керек болған жағдайда және жаңа тақырыпты түсіндіргенде қажет.
1) Демонстрациялық көрсету әдістемелік тұрғыдан кез келген құбылысты тыңдаушыға ұғынықты етеді;
2) Физикалық эксперимент жасау - оқушылардың қызығушылығын арттырып, олардың белсенді ойлауына, ғылыми көзқарасының қалыптасуына, физикалық заңдылықтарды неғұрлым тереңірек меңгеруге үлкен әсерін тигізеді;
3) Тәжірибе алдында қойылған проблемалық ситуацияны шешуге ықпал етеді. Физика пәні үшін осы 3 фактор практикалық қажет.
Өзектілігі сол : Тәжірибе кезінде байқалған физикалық құбылыстар оқушының шығармашылық ойын қозғайды, тұйыққа тіреген қиындықтарға, туындаған сұрақтарға ол өз бетінше және белсенді түрде жауап іздеуге көмектессе, демонстрациялар оқушылардың түсінігіне жеңіл және өтілетін сабақтың оқу материалымен жүйелі байланысуын қамтамасыз етеді. Тәжірибиені көрсету қарқыны материалды ауызша баяндау қарқынына және ол тыңдаушының қабылдау жылдамдығына сәйкес болуы тиіс.
Маңыздылығы : Өткен ұрпақ үшін кітаптың маңызы қандай болса, компьютер де оқушы үшін қоршаған әлемді танудың табиғи құралы. Олай болса барлық сабақтарды, соның ішінде физика сабақтарында компьютерлердің қуаттауымен жүргізуді үйрену бүгінгі күннің кезек күттірмейтін мәселелерінің бірі. Физиканы оқыту құралы ретінде компьютерді қолдану-оқу үрдісін белсендіруге, оқытуды жекешенлендіруге, оқушының өзін-өзі бақылауына мүмкіндік туғызады.
Физикалық процестер мен құбылыстарды модельдеу бағыты оқу процесін дамыту мен жетілдірудің болашағы болып табылады. Әсіресе, оқушылардың шығармашылық белсенділігін арттыруда, зерттеу жұмыстарын дамыта білуде оның ролі ерекше.
Алдағы уақытта ғылымның дамуы үшін-эксперименттік тәжірибені ештемемен алмастрыуға болмайды. Бүгінгі физика пәнінің мұғалімдерінің алға қойған басты мақсаты оқушы бойындағы эксперименттік дағдыны қалыптастыру, пәнге қызығушылығын арттыру болып табылады.
1 ДЕМОНСТРАЦИЯЛЫҚ КӨРСЕТУЛЕРДІҢ ТҮРЛЕРІ
Физикалық эксперимент тәжірбиелік жолмен оқылып отырған құбылыстармен процестердің табиғатын ашып көрсетеді. Физикалық экспе-перименттің түрлері: демонстрациялық тәжірбиелер, фронтальды зертханалық жұмыстар, экспериментальды тапсырмалар мен бақылаулар. Физикалық эксперимент білімнің қайнар көзі болып саналады. Ол оқу тәсілі және оқытудың көркем тәсілі. Тәжірибе заңдылықтарды, құбылыстарды ашу үшін пайдаланылады.
1. 1 Демонстрациялық тәжірибелер. Демонстрация өткізу техникасы.
Демонстрациялық тәжірибелер - құбылыстарды және заңдарды оқып-үйрену кезінде тыңдаушының ой-өрісіне мұғалімнің басшылығы керек болған жағдайда және жаңа тақырыпты түсіндіргенде қажет.
Экспериментальды физика курсында демонстрация курсты оқуға толықтыру емес, оның экспериментальды бөлігі. Демонстрация оқытудың формасы емес, ол экспериментальды курс мазмұнының маңызды бөлігін құрайды. Ереже бойынша дәрістің негізгі құбылыстарын құрайтын зат тәжірибеде демонстрациялануы керек. Шынында кез-келген құбылысты дәріс кезінде демонстрациялауға болмайды. Ондай жағдайда суреттермен не кино көмегімен шектелу қажет.
Тәжірибенің тиімділігіне белгілі бір талаптарды орындағанда ғана жетуге болады. Оларға мазмұндылығы, қысқа уақыттылығы, көруге тиімділігі, көрнекілігі, сенімділігі, эстетикалығы, анықтығы, елестетушілігі, қауіпсіздік техникасын сақтауы кіреді.
Мазмұндылығы құбылысты толығымен ашуға мүмкіндік беретін шарттардың туылуы мен құбылыстардың таңдалуын шамалайды. Мысалы: бірқалыпты үдемелі қозғалысты өткенде арбаның сырғанауын демонстрациялауға болады. Бірақта тең уақыт аралығында жылдамдығы өзгермейтін бұл тәжірибе бірқалыпты үдемелі қозғалыстың негізгі белгісін ашпайды. Сол себепті бұл тәжірибеде мазмұндылық талабы орындалмайды. Егер бірқалыпты қозғалысты анықтау негізіне дененің қозғалысының басталу уақытынан әртүрлі уақыт аралығындағы жолының қатынасын қарастыратын болсақ, онда тәжірибені оңай мазмұнды етуге болады.
Анықтығы дегеніміз - нәтижесі күдік тудырмайтын тәжірибелер қою. Ом заңын демонстрациялағанда теория мен құралдардың практикалық көрсетуі арасында үлкен айырмашылық байқалады. Бұл қосымша кедергі мен кедергі магазинінің қысқышындағы контактінің нашарлығы.
Көруге мүмкіндік - бұл сынып оқушыларына тек құрылғыны ғана емес, сонымен қатар оның кейбір бөлшектерінде көруге мүмкіндік туғызатын шарттарды болжайды. Мұнда 2 аспектіні қарастырамыз. Біріншіден артқы үстелдерде құрылғының көрінуін қамтамассыз ету. Екіншіден, құрылғының бөліктері мен арнайы шкалаларының көрсеткіштері сыныптың барлық жерінен жақсы көрінуі қажет. Көру мүмкіндігінің бұзылуы әртүрлі себептерге байланысты. Солардың бірі демонстрациялық құралдардың конструктивті сапасының толық еместігі.
Көрнекілік - бұл бақыланатын құбылысты шынайы формада ашу талабы. Тәжірибенің негізгі мазмұны мүмкіндігінше қарапайым құралдар мен әдістермен көрсетілуі қажет, ал зерттелетін обьектінің күйін сипаттайтын өзгерістер жақсы бақылануы керек. Көрнекілікті полюс және токтың бағытын көрсететін түрлі-түсті сымдар қолданып күшейтуге болады.
Сенімділік - бұл дұрыс емес қорытындыға келтірмейтін демонстрациялық тәжірибелерге қойлатын талап. Тәжірибе қорытындысы бойынша да, фрагменттері бойынша да күдік туғызбайтындай «таза» орындалуы қажет. Мысал ретінде Архимед күшін демонстрациялаудың 2 нұсқасын қарастырайық.
Бірінші жағдайда метал стаканға батырылған динометрге ілінген денеге әсер ететін күшті қарастырайық. Бұл жағдайда оқушыларды дененің суға толық батуына және түбіне тимейтіндігіне сендіру өте қиын. Метал стаканды шыны стаканмен ауыстыру бұл қиындықты жояды, тәжірибе сенімдірек болады. Екінші мысалда эфир буын пайдаланып газдағы Архимед күшін демонстрациялауды қарастырамыз. Егер эфир буының ауадан ауыр екендігін көрсетпесек, тәжірибе толығымен сенімді болмайды. Мұндай жағдайда көлеңкеленген проекцияны қолданып демонстрациялау керек.
Тәжірибенің қысқауақыттылығы тиянақты әрі көп қайтара мұғалімнің дайындығы арқылы іске асырылады.
Тәжірибенің эмоциональдығы демонстрациялық тәжірибенің оқушы психикасына әсер ету нәтижесінен көрінеді. Тәжірибе оқушының қызығушылығын туғызуы қажет. Оларға теріс эмоциональды әсер ететін тәжірибелерді қоймаған жөн.
Эстетикалығы құрылғының әдемі, нақышты дайындалуын және тәжірибенің тиімді орындалуын қарастырады. Нақышты дайындауға белгілі бір логикаға бағынатын тиімді таңдау мен құрылғылардың орналасу жолы, әртүрлі құралдарды қолдану жолымен қол жетеді. Эстетикалық талап егер құрылғыда ұштықсыз сымдар қолданылса, бір құрал екіншісінің үстіне қойылса, құралдар ретсіз орналасса бұзылады.
Тәжірибенің дәйектілігі демонстрация кезіндегі оның табыстылығын болжайды. Дәйектілік алдын-ала тиянақты дайындықпен қамтамассыз етіледі. Дәйектілік талабының бұзылуы көбінесе құрылғы элементтернің нашар дайындығымен, құралдардың бұзылуымен байланысты.
Тәжірибенің жаңғыртылуы міндетті түрде бірнеше рет тәжірибені қайталауды білдіреді. Мұнда 2 аспектіні ажырату қажет. Біріншісі - тәжірибені сол қалпында жаңғырту, екіншісі-бұл тәжірибені сәл өзгертілген түрде қайталау.
Демонстрация сапалық сипатта болуы қажет. Тәжірибе негізінде алынған сандық есептеулер тыңдаушының назарын аударып, көп уақытын алады және олар дәрісте емес зертханалық жұмыстатда қолданылуы керек. Демонстрация кезінде құралдардың көрсетулері бүтін санмен берілуі қажет. Барлық құралдар мен жабдықтар қарапайым және көрсетуге қолайлы болуы тиіс. Тыңдаушының назарын аударатын қосалқы бөлшектер көрінбеуі керек. Егер құрылғы күрделі болса, онда тақтада оның схемасын келтіру қажет.
Қандай болмасын оқушылар көрсетілетін тәжірибелерге дайын болуы керек. Демонстрация оқушыларға түсіндіру нәтижесінде қызығушылық тудырады. Әрбір көрсетілетін тәжірибе нәтижесі табиғатта болған құбылысқа жауап береді, сондықтан тәжірибе аяғына дейін жеткізілуі керек, сонда ғана оқушылар мақсатты ұғады. Демонстрациялық жұмыс мақсатсыз-тиімсіз. Тәжірибе алдында мұғалім тақтада суретін сызып, оның тағайындалуын және оған жететін жолды көрсетеді. Мұғалім тәжірибенің ойын және демонстрациялық құрылғының схемасын түсіндіргеннен кейін барып оны құрастыруға кіріседі.
Демонстрациялық көрсету қарқыны оқушылардың қабылдау қарқынымен сәйкес келуі керек. Көптеген демонстрациялық көрсетулер аз уақытта көрсетіліп бітеді, сондықтан оқушылардың түсінуі қиынға түседі. Осыған байланысты қайта көрсетуге тура келеді, яғни баяу қарқынмен түсіндірген жөн. Сонымен қатар демонстрацияны ұзақ созу оқушылардың қызығушылығын төмендетіп, сабақты жоғалтуға әкеп соғады. Демонстрацияға дайындалу кезінде құралдарды жинау қанша уақыт алатынын анықтау керек. .
Үлкенірек обьектілер шам не фонардың жарықталыну көмегімен демонстрацияланады. Құралдарды қай жағынан жарықтау сұрағы әр жағдайда әртүрлі. Ұсақ бөлшектер экранда проекциялау арқылы демонстрацияланады. Мұғалім сыныпқа қарап өзінің оңы мен солының тыңдаушының оңы солымен сәйкес еместігін ескеру қажет. Сонда ол сыныпқа қарап оң жағын сол, сол жағын оң деп айтуды әдетке айналдыруы қажет.
Демонстрацияға арналған құралдар дәріс алдында демонстрациялық үстел үстінде орналасуы тиіс. Ең алдымен демонстрациялық үстелде артық нәрсе болмауы керек. Құралдар бірін-бірі жаппай, әрқайсысы сыныпқа көрінерліктей тұруы тиіс. Құралдарды демонстратор үстелдің алдында емес, артында тұрып барлық әрекеттерді жасай алатындай және оларды жаппайтындай орналастыруы керек. Құралдарды орналастырғанда үстелдің бір жағына құралдарды үйіп тастамай біркелкілікті сақтау қажет.
Есте сақтау керек !
Құралдарды дұрыс орналастырғанан кейін дәрістен бұрын барлық демонстрацияларды қайталап жасау керек. Құралдардың дұрыс істейтіндігіне сеніп қалмау қажет. Себебі, кейбір кезде күтпеген кемшіліктер болады. Жаттығу кезінде қандай да бір демонстрация дұрыс көрсетілмесе, онда мұндайды дәріс кезінде көрсетпеген дұрыс, өйткені сәтсіздік сыныпта жағымсыз әсер тудырады. Уақыт пен жұмысты үнемдеу үшін демонстрацияны қайталауды дәріс кезіндегімен салыстырғанда кері тәртіппен жүргізу қажет. Сонда құралдағы олардың орналасуындағы өзгерістерді дәріс барысында қайталаудан кейін өзгертпей-ақ қоюға болады. Демонстрация жекелеген жағдайларды есте сақтауды қиындататындай кең көлемді болмауы керек. Дәріс арасында көрсетілуі тиіс нәрселерді артқа қалдырмай дәріс барысында демонстрациялануы керек.
Қарама-қарсы фонды қолдану демонстрацияның көрсетілуін және мәнерлігін жақсартады. Осыған орай ақ және қара экрандар қолданылады. Ақ фон қондырғылар мен құралдар қара не қою түсті, ал қара фон ақшыл, жарық тондармен боялған құралдарға пайдаланған қолайлы. Демонстрациялық жұмыстың жақсы көрінуі үшін кей кездерде түтін қолданылады және сұйықтарды люминесцирленген қоспалармен бояғанда. Жарықты күшейту үшін софит қолданылады. Олар демонстрациялық үстелге бекітілген не ауыспалы рефлекторлы шамдарда болады.
Кейбір құбылыстарды бақылағанда құралдар күрделі келеді, ал оның ішкі бөлшектері әрең көрінеді немесе көрінбейді, сондықтан бұндай жағдайда көркемдік құралдар қолданған қажет. Көркемдік құралдарға:
1. көлемдік құралдар (моделдер, коллекция, макеттер)
2. графиктік көлемдік құралдар (кестелер, диаграммалар, плакаттар, графиктер)
жатады. Көркемдік құралдар тыңдаушыға құбылыстың қызықты түрін ұсынады. Оқып жатқан текстке қызығушылық тудырады, оқу процесін жаңа материалдармен жаңаландырады.
Моделдер. Құралдар мен құрылғыларды көрсете алмасақ, онда олардың көлемдік моделін көрсетуге болады. Барлық моделдер көрінетіндей болып құралған болу керек. Егер де молекуланың ішкі құрылысын немесе бөлшектердің өзара жұмысын көрсету керек болса, онда моделдік қима қолданылады.
Коллекция. Физиканың кейбір курыстарында әртүрлі материалдардың коллекциялары қолданылады. Мысалы: ”жылу түрлері”, ”кристалдар”, ”өткізгіштер мен изоляторлар”. Кабинеттерде ілінетін демонстрациялық мақсаттағы коллекциялар панельдерде бейнеленеді. Коллекцияның бағалылығы олар қолдан жасалған, шын обьекті.
Графиктік көркемдік құралдар. Таблицалар мен плакаттар құрылымы қиын құралдармен таныстырады. Олар қабырғаларға ілінетін және бөлшекті болады. Плакат түрінде құрылысы қиын оқып жатқан обьектіні оңай түсіндіруге мүмкіндік береді.
Диаграммалар. Физика мұғалімі салыстыру диаграммалары мен сызықтық диаграммаларды қолданады. Салыстыру диаграммалары салыстыру арқылы жылудың әртүрлігін, механизмдердің және машинаның п. ә. к. сипаттайды. Сызықтық диаграммалар графикті сараптауда және шамалар арасындағы функционалды тәуелділікті көрсетуде қолданылады.
Сызықтық диаграмманың сараптық логикалық ауысуы графиктік функция ретінде кескіндеуге болады.
Суреттер мен сұлбалар. Суреттер мен сұлбалар физикада маңызды рол
атқарады. Бұлар мұғалім сабақ түсіндіргенде, есеп шығарғанда, тыңдаушы - ның сұрағына жауап бергенде қолданылады. Схемалық суреттер мен сызбалар сабақты оңай ұғынуға көмектеседі. Суреттер қарапайым схема түрінде болу керек.
Мұғалім тәжірибе жасар алдында мыналарды ескеруі керек:
1. Әр элементтің тұратын орнын.
2. Жарықтылықты және фонды.
3. Индикаторларды.
Көрсетілген демонстрацияны бекіту үшін және оның тиімділігі тәуелді «шеберлікті» ұмытпас үшін демонстрация картотекасын бастап отыру керек. Осы мақсатта әрбір демонстрацияға карточка бастап, оның беткі жағына келесі мәліметтерді көрсетеді: сыныбы, қарастырылатын тақырып, сабақ тақырыбы, демонстрацияның аты, құрылғының схемасы, Кері жағына құралдар тізімі, олардың артықшылығы, жұмыс режимі жазылады.
Демонстрациялық тәжірибенің сапасы мұғалімнің экспериментальды өнеріне байланысты. Демонстрацияны табысты орындау арнайы білім мен дағдыны керек етеді. Кез-келген демонстрация, тіпті қарапайым болса да, мұғалімнен құрылғының жұмыс істеу принципін және тәжірибеде қолданылатын құралдардың мүмкіншілігін анық білуін талап етеді.
1. 2 Физика бойынша зертханалық жұмыс және зертханалық-практикалық жұмысты ұйымдастыру.
Зертханалық жұмыстар өткенді қайталау және бекіту, оқушылардың инициативасын және өз бетімен жұмыс істеуін дамыту мақсатында белгілі бір курсты өткеннен кейін не оқу жылының соңында өткізіледі. Тақырып бойынша практикум жұмыстары фронтальды зертханалық жұмыстарды жарыса қайталамай толықтыруы қажет. Қорытынды практикумдар тек 8-10-шы сыныптарда міндетті. Дидактикалық міндеттері бойынша практикумдардың тақырыптары: 9 сыныпта оқушылардың кинематика және динамика бойынша білімдерін жалпылауға көмектесетін жұмыстар (кинематика заңдарын оқу, еркін түсу үдеуін анықтау, горизонталь, вертикаль және горизонтқа бұрыш жасай лақтырылған дененің қозғалысын зерттеу т. б) ; 10 сыныпта оқушыларды молекулалық құбылыстарды зерттейтін тәсілдермен таныстыратын жұмыстар ( броундық қозғалысты бақылау, метал кедергісінің термикалық коэффициентін анықтау т. б) . Кейбір жұмыс бөлімдері оқушылардың политехникалық білімдері мен дағдысының қалыптасуына қажет ( 8-ші сыныпта электрдвигателінің оның орамдар санына тәуелдігін зерттеу, 9-шы сыныпта жартылай өткізгішті диодтың вольт-амперлік сипаттамасын алу, вакуумдық триодты зерттеу. 10-шы сыныптағы жұмыстардың елеулі бөлігі әртекті тербелістерді ( дыбыс толқынының ұзындығын анықтау, дыбыс жылдамдығын, ультрадыбыстың жылдамдығын, жарық толқынының ұзындығын анықтау), оптикадағы зерттеу тәсілдеріне ( спектроскопты градуирлеу және жарық толқын ұзындығын, фототоктың жарықтануға тәуелділігін анықтау), атомдық ядро физикасына арналған. Бұл жерде политехникалық сипаттағы жұмыстарда бар (радиоқабылдағыштың моделін құру, фотоға түсіру, трансформатордың құрылысы мен жұмыс істеу принципін зерттеу) . Қажетті құралдардың болуы, оларды рациональды және қауіпсіз пайдалану практикумдарды ұйымдастыруда шешуші роль атқарады.
Жұмыс барысында оқушылар кем дегенде 2 адамнан тұратын түйін болып жұмыс істеуі керек, 35 адамы бар сыныпта 17 жұмыс орны, ал 8-ші сыныптар үшін 5 практикалық жұмыс, 9-шы сыныптар үшін 7, 10-шы сыныптар үшін 10 жұмыс қарастыратындықтан 8-ші сыныпта әрбір жұмыс үшін 3-4 комплект құрылғы, 9-шы сыныпта 2-3 комплект, 10-шы сыныпта 1-2 комплект болуы керек.
Практикум жұмыстарын тиімді түрде орындау үшін қажетті құрылғыларды таңдап қана қоймай, оларды рациональды түрде зертханалық сыныпта қажетіне қарай орналастыру керек. Электродвигателдің шуылы басқа оқушыларға кедергі келтірмес үшін электродвигателдің қуатын анықтайтын тапсырма үшін жұмыс орнын басқалардан тысқары жерде ұйымдастырып, газ күйін теңестіруге арналған құралдарды су көзіне жақын орналастыру керек. Броундық қозғалысты бақылауды терезе маңында орындаған дұрыс. Әрбір тапсырманы орындауға 2 сағат беріледі.
Белгілі бір тақырыпты өткенде сыныпта қарастырылатын есептердің арасында шешуде кейбір қажетті шамаларды жоғары дәлдікпен тікелей өлшеуге болатын экспериментальды есептерде болуы қажет. Сонда оқушылар қателіктерді есептеуге мұғалімнің басқаруымен жаттықса, кейін өз беттерімен орындайтын болады.
Оқушылардың оқу іскерлігіне тиімді және мақсатты жетекшілік етуді қамтамасыз ету үшін алдын ала әрбір жұмысқа инструкция құрап, оларды белгілі бір мөлшерде шығарып, оларға схемалар мен суреттер енгізіп, көмекші және анықтамалық әдебиеттер таңдау қажет. Әдетте инструкцияға:
1. ізделінді шаманы анықтайтын әдістің мазмұны, сұрақ бойынша қысқаша теориялық мәлімет
2. оқушыларға таныс емес құралдардың сипаты мен тізімі
3. жұмыс барысы
4. өлшеу нәтижелерінің реті мен қателіктерді есептеу амалдары, сонымен қатар бақылау сұрақтары, қосымша экспериментальды тапсырмалар мен жаттығулар кіреді. Әрбір жағдайда инструкцияның көлемі қарастырылып отырған жұмыстың мазмұнына байланысты. Мысал ретінде Ом заңын зерттеуге арналған жұмыстың инструкциясын қарастырайық. (қосымша А)
Өлшеу барысында туындайтын статистикалық заңдылықтар. Кез-келген өлшеу өлшенген шаманың шындық мәнінен сәл ауытқушылығы бар нәтиже береді. Барлық өлшеу қателіктерін сипаты бойынша 3 түрге бөлуге болады:
а) дөрекі қателіктер
ә) жүйелік қателіктер
б) кездейсоқ қателіктер
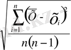
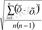
Кездейсоқ қателіктері бар жағдайдағы өлшеу нәтижелерін өңдеу әдістері. Бірдей жағдайда n өлшеу жүргізілсін және і-ші өлшеудің нәтижесі х і . Өлшенген шаманың ең ықтимал мәні - бұл оның орташа мәні (арифметикалық)
(1)
Жеке нәтиженің орташа квадраттық қателігі деп
S
n
=
Equation. 3 (2)
шамасын айтамыз.
Орташа арифметикалықтың орташа квадраттық қателігі деп келесі шаманы айтамыз.
S
nx
=
=
(3)
Өлшеудің қорытынды нәтижесі келесі түрде жазылады
(4)
Тура өлшеу жағдайында нәтижені өңдеу төмендегідей.
1) Әрбір өлшеу нәтижелері арнайы кестеге жазылады.
2) N өлшеудің орташа мәні есептеледі
(5)
3) Жеке өлшеудің қателігі анықталады
Equation. 3 . (6)
4) Жеке өлшеу қателігінің квадраты есептеледі
(7)
5) Орташа арифметикалықтың орташа квадраттық қателігі анықталады.
(8)
6) Сенімділік мәні α беріледі.
7) Кесте бойыншаберілген сенімділікпен α өлшеу саны бойынша t αń Стьюдент коэффициенті анықталады.
8) Сенімді интервал табылады
Equation. 3 . (9)
9) Егер ∆х шамасы құралдың қателігімен δ сай болса, онда сенімді аралық шекарасы ретінде келесі шаманы алуға болады
∆
= t
αń
ΔS
х
+δ (10)
10) Қорытынды нәтижесі келесі түрде жазылады
=
(11)
11) Салыстырмалы қателік келесі түрде болады
έ=
%. (12)
- Сыныптан тыс тәжірибелер мен бақылаулар
Сыныптан тыс тәжірибелер мен бақылаулар мектептегі экспериментке толықтыру ретінде өте маңызды және тиімді. Олар теорияның практикамен байланысын кеңейтіп, оқушылардың өз бетімен зерттеу жұмысына үйреніп, олардың физика және техникаға деген қызығушылығын дамытып, физикалық құбылыстарды тек қана арнайы құралдардың көмегімен бақылауға болады деген қате түсініктерін жоюға мүмкіндік береді.
Сыныптан тыс тәжірибелер мен бақылауларға мұғалімнің бақылауынсыз (күнделікті өмірде, табиғатта, өндірісте) оқушылардың үйде орындайтын қарапайым тәжірибелері жатады. Тәжірибе және жұмыс үшін оқушылар тұрмыс заттарын, ойыншық жиынтығын, қолдан жасалған құралдарды қолданады.
Үй жағдайындағы тәжірибелер мен бақылауларды революцияға дейінгі уақытта А. В. Цингер, кейіннен П. А. Знаменский мен С. Ф. Покровскийлер насихаттады. Бірақта бұл оқытудың әдісі практикада кеңінен таралмады.
6-7 сыныптардағы тәжірибелер өте маңызды. Мазмұны бойынша қарапайым, қол жетерлік және осы жастағы оқушыларға қызықты. Сыныптан тыс тәжірибелер мен бақылаулар белгілі бір жүйе құрап, мектептегі физикалық эксперименттің басқада түрлерімен тығыз байланыста болуы шарт. Олар орындау барысында оқушылар тұрмыстық техникалар мен машиналар: тоңазтқыш, кір жуғыш, шаң сорғыш, электр қыздырғыш құралдармен танысуы тиімді.
... жалғасы- Іс жүргізу
- Автоматтандыру, Техника
- Алғашқы әскери дайындық
- Астрономия
- Ауыл шаруашылығы
- Банк ісі
- Бизнесті бағалау
- Биология
- Бухгалтерлік іс
- Валеология
- Ветеринария
- География
- Геология, Геофизика, Геодезия
- Дін
- Ет, сүт, шарап өнімдері
- Жалпы тарих
- Жер кадастрі, Жылжымайтын мүлік
- Журналистика
- Информатика
- Кеден ісі
- Маркетинг
- Математика, Геометрия
- Медицина
- Мемлекеттік басқару
- Менеджмент
- Мұнай, Газ
- Мұрағат ісі
- Мәдениеттану
- ОБЖ (Основы безопасности жизнедеятельности)
- Педагогика
- Полиграфия
- Психология
- Салық
- Саясаттану
- Сақтандыру
- Сертификаттау, стандарттау
- Социология, Демография
- Спорт
- Статистика
- Тілтану, Филология
- Тарихи тұлғалар
- Тау-кен ісі
- Транспорт
- Туризм
- Физика
- Философия
- Халықаралық қатынастар
- Химия
- Экология, Қоршаған ортаны қорғау
- Экономика
- Экономикалық география
- Электротехника
- Қазақстан тарихы
- Қаржы
- Құрылыс
- Құқық, Криминалистика
- Әдебиет
- Өнер, музыка
- Өнеркәсіп, Өндіріс
Қазақ тілінде жазылған рефераттар, курстық жұмыстар, дипломдық жұмыстар бойынша біздің қор #1 болып табылады.

Ақпарат
Қосымша
Email: info@stud.kz