Сұйықтар мен газдардың негізгі қасиеттері


Тұтқырлық - сұйықтар мен газдардың негізгі қасиеттерінің бірі. Мысалы, машиналарды майлау үшін жанармайды алдын ала тұтқырлығына қарап таңдап алады. Сұйық тұтқырлығының температураға байланыстылығы өте күшті болады. Себебі сұйықтың температурасы жоғарылап кризистік температураға жеткенде (мысалы, суды алсақ ол 100с°-та қайнап буға айналады) басқа фазаға өтеді. Әсіресе майлар тұтқырлығының тәуелділігі күшті, мысалы, температурасы 180 С°-тан 400 С°-қа дейін көтерілгенде кастор майының тұтқырлығы төрт еседей кемиді. Барлық нақты сұйықтардың бір қабаты екінші қабатымен салыстырғанда орын ауыстырса, онда азды-көпті үйкеліс күші пайда болады. Шапшаңырақ қозғалатын қабат тарапынан жай қозғалатын қабатқа үдетуші күш әсер етеді. Керісінше, жай қозғалатын қабат тарапынан шапшаң қозғалатын қабатқа бөгеуші күш әсер етеді. Бұл күштер ішкі үйкеліс күштері деп аталады, олар қабаттардың бетіне жүргізілген жанама бойымен бағытталады. Ішкі үйкеліс күшінің шамасы сұйық ағысының v жылдамдығы бір қабаттан екінші қабатқа көшкенде қаншалықты шапшаң өзгеретіндігіне тәуелді және қарастырылып отырған сұйық қабаты бетінің S ауданы неғұрлым үлкен болса, соғұрлым зор болады. Мысалы, бірінен-бірі Δh қашықтықтағы сұйықтың екі қабаты v1 және v2 жылдамдықпен ақсын (v1- v2=Δv) делік. Қабаттардың Δh арақашықтығын өлшегенде бағыт сол қабаттардың ағыс жылдамдығына перпендикуляр болсын. Сонда Δv/Δh шамасы бір қабаттан екінші қабатқа көшкенде жылдамдықтың қаншалықты шапшаң өзгеретіндігін көрсетеді, оны жылдамдық градиенті деп атайды. Ньютон алғаш рет сұйықтың екі қабатының арасындағы үйкеліс күші жылдамдықтар айырымы мен жанасып тұрған сұйық қабаттары бетінің ауданына тура пропорционал және сол қабаттардың ара қашықтығына кері пропорционал екендігін дәлелдеді. Тұтқырлық коэффициенті неғұрлым үлкен болған сайын сұйықтың идеал сұйықтан айырмашылығы мен үйкеліс күші соғұрлым үлкен болады. Тұтқырлық коэффициенттің өлшемділігі: η=ML-1T-1 Тұтқырлық динамикалық коэффициенті \frac{H/c}{m^2} -пен өлшенеді, яғни жылдамдық градиенті - 1\frac{H/c}{m^2}. Бетінің ауданы 1 м2 сұйық қабаттарының әсерлесу кезіндегі тұтқырлық күші 1 Н болады. Әдетте η коэффициентін тұтқырлықтың абсолюттік коэффициенті деп атайды. Ал осы коэффициенттің берілген сұйықтың тығыздығына (ρ) қатынасы тұтқырлықтың кинетикалық коэффициенті делінеді Бұл тұтқырлық коэффициентіне кері шама, яғни 1/η - аққыштық коэффициенті деп аталады. Тұтқырлықтың СИ системасындағы өлшем бірлігі1 Па*с, СГС системасындағы тұтқырлық өлшем бірлігі пуаз деп аталады: 1 пуаз = 1 дин*с/см2 =0, 1 Н*с/м2 = 0, 1 Па*с. Мазмұны 1 Заттың тұтқырлығы 2 Судың тұтқырлығы 3 Газ тұтқырлығы 4 Сұйықтың тұтқырлығы 5 Динамиқалық тұтқырлық 6 Қойнауқаттық су тұтқырлығы 7 Қойнауқаттық мұнай тұтқырлығы 8 Сұрыпталған мұнайдың тұтқырлығы 9 Кинематиқалық тұтқырлық 10 Екпінді тұтқырлық 11 Дереккөздер 12 Дереккөздер 13 Тағы қараңыз Заттың тұтқырлығы Сұйық немесе газ түріндегі заттың ығыстыру деформациясына қарсылық көрсету қабілеті. Судың тұтқырлығы Судың қозғалысы барысында оның үйкеліс күшін туындату қабілеті. Осы құбылыс ағыс жылдамдығы жоғарырақ судың аталған жылдамдық мөлшері төменірек суға әсер етуін қамтамасыз етеді. Судың тұтқырлығы температура мен сулы ерітіндінің үйірімділігіне тәуелді, оның мөлшері тұтқырлық коэффициентімен бағаланады. Газ тұтқырлығы Бір-бірімен жарыса, бірақ әр түрлі жылдамдықтармен жылжыған газ қабаттары аралығында пайда болатын олардың ішкі үйкеліс күші (тұтқырлығы) . Сұйықтың тұтқырлығы Сұйықтың қозғалысы барысында оның өз өңірінде үйкеліс күшін тудыру қабілеті. Сұйықтың тұтқырлығы қатты жылдамдықпен қозғалған сұйық қабаттарының қозғалысын азырақ жылдамдықпен қозғалған сұйық қабаттарына беруге қабілетті. Сұйықтың тұтқырлығының мөлшері температура көрсеткішіне және ерітіндінің үйірімділігіне тәуелді. Физикалық тұрғыдан сұйықтың тұтқырлығы тұтқырлық коэффицентімен бағаланады. Динамиқалық тұтқырлық Динамиқалық тұтқырлық - газ немесе сұйықтықтың бір қабаттының екінші қабатына қатысты жылжу кедергісінің сандық сипаттамасы. Сұйықтың динамикалық түтқырлығы. Ауданы 1 см2 сұйық (су) қабатының 1 см/с жылдамдықпен 1 см қашықтыққа қозғалуына қарсылық көрсету күші. Қойнауқаттық су тұтқырлығы Мөлшері температура мен ерітінді үйірімділігіне тәуелді болып келетін, судың қозғалысы барысында үйкеліс күшін тудыру қабілеті. Қойнауқаттық мұнай тұтқырлығы Мұнайдың қойнауқаттық жағдайлардағы қозғалмалық дәрежесін анықтайтын, сөйтіп мұнай жатынын игеріп алудың өнімділігі мен тиімділігіне айтарлықтай әсер ететін сол мұнайдың өзіндік қабілеті. Бұл қабілеттің мәнін қысым мөлшерлерінде айырмашылықтар бар аралықтарда қойнауқаттық мұнай тамшыларының қозғалуына жасалатын кедергі деп түсіну керек. Бұл көрсеткіш әдетте динамикалық тұтқырлық бірлігімен өлшенеді. Сұрыпталған мұнайдың тұтқырлығы Белгілі бір күш әсер еткенде газдан арылған қалыпты жағдайдағы мұнай тамшыларының қозғалыстарына жасалатын кедергі; кинаматикалық (см2/сек) немесе динамикалық тұтқырлықтар түрінде есепке алына отырып, әр түрлі мұнай жатындары үшін МПа. сек бірлігінің ондаған бөлігінен жүздеген, тіпті мыңдаған бөлігіне дейінгі аралықтарда өзгереді. Кинематиқалық тұтқырлық Кинематиқалық тұтқырлық - газ немесе сұйықтықтын тығыздығына динамиқалық тұткырлықтың қатынасы. Екпінді тұтқырлық Екпінді тұтқырлық - екпінді жүктеме әсерінен бұзылу үрдісі нәтижесінде қатты денелердің механиқалық энергияны сіңіруі.
Тұтас орта механикасы
Газдар мен сұйықтардың тепе-теңдiгiн және қозғалысын зерттегенде оларды үздiксiз тұтас орта түрiнде қарастырады.
Сұйықтардың тепе-теңдiгiн қарастыратын механиканың бөлiмiн - гидростатика деп атайды.
Сұйықтар мен газдардың серпiмдi қасиетi мынадан байқалады: олардың жеке бөлiктерi бiр-бiрiне немесе олармен жанасатын денеге сұйық пен газдардың сығылу дәрежесiне тәуелдi болатын күшпен әсер етедi. Мұндай әсер қысыммен сипатталады.
Сөйтiп, сұйықтар мен газдарды сипаттайтын ең негiзгi шамалардың бiрi - қысым.
Қысым деп бетке түсетiн күштiң осы беттiң ауданына қатынасына тең шаманы айтады. Өлшем бірлігі
.
.
Паскаль заңы.
Сұйық ішіне түсiрілген қысым барлық бағытқа бiрдей берiледi.
Сұйық iшiндегi қысым:
.
Бұл қысымды кейде гидростатикалық қысым деп атайды.
Сұйықтардың қозғалысын зерттейтiн механиканың бөлiмiн - гидродинамика деп атайды.
Сұйық бөлшектерiнiң қозғалысын зерттеудiң екі тәсiлi бар.
1. Лагранж тәсiлi
Бұл тәсiлде әрбiр жеке сұйық бөлшегiнiң кеңiстiктегi қозғалыс заңдылығы зерттеледi.
2. Эйлер тәсiлi
Бұл тәсiлде кеңiстiктiң белгiлi бiр нүктесiнен өтетiн сұйық бөлшектерiнiң жылдамдығы қарастырылады.
Сұйық бөлшектерiнiң қозғалысы - ағыс , ал сұйықтың қозғалысы- ағын деп аталады.
Кез келген нүктесiнде жүргiзiлген жанама сол нүктедегi сұйық бөлшегiнiң жылдамдықтарымен сәйкес келетiн сызықтарды ағын сызықтары деп атайды. Ағын сызықтарының жиiлiгi сол жерде сұйықтың жылдамдығын көрсетедi (сурет) .
Мысалы суреттегi А нүктесiндегi сұйықтың жылдамдығы В нүктесiндегi сұйықтың жылдамдығынан үлкен болады. Ағын сызықтарымен шектелген сұйық бөлiгiн ағын сорғысы деп атайды.
Кез келген нүктесiндегi сұйықтың жылдамдығының шамасы мен бағыты өзгермейтiн ағысты стационар ағыс деп атайды.
Ағыс сипатына байланысты екіге бөлiнедi.
Егер сұйық қабаттары бiр-бiрiмен араласпай, бiр-бiрiне параллель қозғалатын болса, мұндай ағыс - ламинар (қабатты) ағыс деп аталады.
Егер сұйық қабаттары бiр-бiрiмен араласып иiрiлiп қозғалатын болса, мұндай ағыс - турбуленттi (иiрiмдi) деп аталады. Сығылмайтын тұтқыр емес сұйықты идеал сұйық деп, ал сығылатын тұтқыр сұйық реал сұйық деп аталады.
Ағынның үздiксiздiк теңдеуi





төменгi ыдыс толсын. Сұйық сығылмайды және үзiлмейдi деп есептесек, онда жоғарғы ыдыстан ағып кеткен сұйық көлемi мен төменгi ыдысқа құйылған сұйық көлемi тең болады:
,
мұндағы:
- жоғарғы ыдыстың көлденең қимасы,
- төменгi ыдыстың көлденең қимасы, бұл формуланың екi жағын
-¹а бөлсек:
немесе
,
мұндағы
- жоғарғы ыдыстағы сұйық ағысының жылдамдығы,
- төменгi ыдыстағы сұйық ағысының жылдамдығы. Сонда
.
Осы өрнектi ағынның үздiксiздiк теңдеуi деп атайды. Ыдыстың көлденең қимасының сұйық ағысының жылдамдығына көбейтiндiсi тұрақты шама болады .
Сұйық ағысының жылдамдығы ыдыстың көлденең қимасына керi пропорционал.
Бернулли теңдеуi
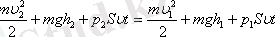
Идеал сұйықтың қозғалысын (ағысын) сипаттайтын өрнектi 1738 жылы Д. Бернулли (1700-1782) тұжырымдады. Бернулли энергияның сақталу заңын пайдалана отырып, сұйық қысымының жылдамдыққа тәуелдiлiгiн анықтады. Бұл формуланы қорытып шығару үшiн көлденең қимасы әр түрлi түтiкшедегi идеал сұйықтың қозғалысын қарастырайық (сурет) .
1
және
2
қималардың арасындағы сұйық массасының қозғалуын бақылайық.
1-
ден кейiн,
2
қиманың алдында ағын болмаса да екi қима арасындағы сұйықмассасы өз салмағы әсерiнен қозғала бастайды. Алайда, екi қима арасындағы сұйық өз массасымен ғана қозғалып қоймай, ол
айырмасының әсерiнен деқозғалысқа келетiнiн айта кеткен жөн. Сонымен сыртқы күш
жұмыс iстейдi. Мұндағы
-
1
қимада iстелетiн жұмыс.
-
2
қимада iстелетiн жұмыс
. Энергияның сақталу заңы бойынша қималар энергияларының айырымы сұйықты қозғалысқа келтiру үшiн iстелетiн жұмыстардың айырымына тең болады:
немесе
,
мұндағы:
,
-
1
мен
2
қималардағы сұйықтардың толық энергиялары.
Толық энергия кинетикалық және потенциалдық энергиялардың қосындысына тең:
,
,
.
,
және
-ның мәндерiн алғашқы формулаға апарып қойсақ, табатынымыз
.
Ағыстың үздiксiздiк теңдеуiнен
екенiн бiлемiз, олай болса:
.
Екiншi жағынан,
,
бұл өрнектiң екi жағын да көлемге
бөлсек:
.
Ал
сұйықтың тығыздығы екенiн ескерсек:
Жалпы түрде алғанда
.
Бұл теңдеу Бернулли теңдеуi деп аталады.
мұндағы:
- динамикалық қысым,
-гидравликалық қысым,
р - статикалық қысым.
Статикалық қысым (р) сұйықтың қозғалысына тәуелсiз, ал динамикалық қысым сұйық қозғалысына тәуелдi болады. Ол сұйық тежелгенде айқын бiлiнедi. Гидравликалық қысым салмақсыздық кезiнде жойылады да, асқын салмақ кезiнде өсе түседi.
Горизанталь құбыр үшiн Бернулли теңдеуi:
.
Сұйықтың жылдамдығы артқанда қысымы кемидi.
Торричелли формуласы
Бернулли теңдеуiн кiшкене саңлауы бар үлкен ыдыстан сұйықтың ағысына қолдануға болады.
.
- бұл өрнек Торричелли формуласы деп аталады.
Пуазейль формуласы
1841 жылы француз физигi Пуазейль ламинарлық ағыстың жылдамдығын анықтайтын заңды ашты:
түтiкпен ағып жатқан сұйықтың ламинарлық ағысыныңорташа жылдамдығы
сұйықтың қысым градиентiне, түтiк радиусының квадратына тура, ал сұйық тұтқырлығына керi пропорционал болады:
.
Құбырдағы ламинар ағысында жылдамдық параболалық заңмен өзгередi.
Құбырдың көлденең қимасынан ағатын сұйық ағынын қарастырамыз.
Сұйық ағыны деп бiрлiк уақытта құбырдың көлденең қимасынан өтетiн сұйықтың көлемiн айтады.
- Пуазейль теңдеуi.
Түтiкпен ағып жатқан сұйықтың ағыны сұйықтың қысым градиентiне, түтiк радиусының төртiншi дәрежесiне тура, ал сұйық тұтқырлығына керi пропорционал болады.
Ішкi үйкелiс күшi
Сұйық қабаттары бiр-бiрiне қатысты қозғалғанда қабаттар арасында үйкелiс күшi пайда болады. Бұл iшкi үйкелiс күшi деп аталады. Ішкi үйкелiс күшiн анықтайтын формуланы Ньютон ашты. Сондықтан бұл формула iшкi үйкелiс күшi үшiн Ньютон формуласы деп аталады.
,
... жалғасы
- Іс жүргізу
- Автоматтандыру, Техника
- Алғашқы әскери дайындық
- Астрономия
- Ауыл шаруашылығы
- Банк ісі
- Бизнесті бағалау
- Биология
- Бухгалтерлік іс
- Валеология
- Ветеринария
- География
- Геология, Геофизика, Геодезия
- Дін
- Ет, сүт, шарап өнімдері
- Жалпы тарих
- Жер кадастрі, Жылжымайтын мүлік
- Журналистика
- Информатика
- Кеден ісі
- Маркетинг
- Математика, Геометрия
- Медицина
- Мемлекеттік басқару
- Менеджмент
- Мұнай, Газ
- Мұрағат ісі
- Мәдениеттану
- ОБЖ (Основы безопасности жизнедеятельности)
- Педагогика
- Полиграфия
- Психология
- Салық
- Саясаттану
- Сақтандыру
- Сертификаттау, стандарттау
- Социология, Демография
- Спорт
- Статистика
- Тілтану, Филология
- Тарихи тұлғалар
- Тау-кен ісі
- Транспорт
- Туризм
- Физика
- Философия
- Халықаралық қатынастар
- Химия
- Экология, Қоршаған ортаны қорғау
- Экономика
- Экономикалық география
- Электротехника
- Қазақстан тарихы
- Қаржы
- Құрылыс
- Құқық, Криминалистика
- Әдебиет
- Өнер, музыка
- Өнеркәсіп, Өндіріс
Қазақ тілінде жазылған рефераттар, курстық жұмыстар, дипломдық жұмыстар бойынша біздің қор #1 болып табылады.

Ақпарат
Қосымша
Email: info@stud.kz