Түзу өсті сырықтардың иілуі. Жазық иілу


Дәріс -8. Түзу өсті сырықтардың иілуі. Жазық иілу
1. Негізгі түсініктер. Көлденең күш пен июші моменттер
Бойлық ось арқылы өтетін жазықтықтарда (ось жазықтықтарында) жатқан көлденең күштер мен моменттердің (қос күштердің) әсерінен бруста пайда болған деформацияны
иілу
деп атайды.
Иіліп деформацияланған брустар
арқалық
делінеді. Арқалықтың бойлық осі мен көлденең қималарының басты инерция осьтері арқылы басты екі жазықтык (V, Н) жүргізуге болады (1, а-сурет) . Июші күштер басты жазықтықтардың бірінде жатса, онда иілу
көлденең жазық иілу
деп аталады. Көлденең жазық иілу кезінде арқалықтың майысқан бойлық осі күш жазықтығында жатады. Сыртқы күштер бас жазықтықтардан басқа кез келген ось жазықтықтарында жатса, онда иілу
қиғаш иілу
деп аталады. Арқалық қиғаш иілгенде, оның майысқан бойлық осі мен әсер етуші күштері әр түрлі жазықтықтарда жатады. Жазық иілген арқалықтың көлденең қималарында ішкі күштер -
көлденең күш пен ию моменті
пайда болады.
Егер иілген арқалықтың көлденең қималарында ию моментінен басқа ішкі күштер жоқ болса, яғни жанама күш нөлге тең болса, ондай иілу таза иілу деп аталады. Таза иілу кезінде арқалық шеңбер доғасы бойымен майысады.
2. Көлденең күш пен ию моменті
Қос тіректі иілген арқалықтың көлденен қималарындағы ішкі күштерді анықтайық (4-cypeт) . Кез келген m-m қимасындағы ішкі күштерді табу үшін қию әдісі бойынша, сол қима арқылы арқалықты екіге бөліп, бір бөлігін алып тастаймыз. Алып тасталынған бөліктің қалған бөлікке әсерін көлденең күш пен ию моментімен алмастырамыз (4, б-сурет) . Қалған бөлік сыртқы күштер мен ішкі күштердің әсерінен тепе-теңдік күйде болуы тиіс.
Статиканың бірінші теңдеуі
осыдан
яғни кез келген m-m қимасындағы көлденең күш Q(z) сол қиманың бір жағында әсер етуші сыртқы күштердің Ү осіне түсірілген проекцияларының алгебралық қосындысына тең.
Статиканың екінші теңдеуі
осыдан
яғни кез келген m-m қимасыңдағы ию моменті M(z) сол қиманың бір жағында жатқан сыртқы күштердің С нүктесіне қарағандағы моменттерінің алгебралық қосындысына тең (С нүктесі m-m қимасының ауырлық центрі) .
Бір қалыпты таралған күштерді Ү осіне проекциялау үшін немесе С нүктесіне қарағаңдағы моментін анықтау үшін, 4-суретте оларды биіктігі q- ға, ұзындығы z-ке тең, тік төртбұрыштың ауырлық центрі арқылы өтетін қорытынды R q = qz күшімен алмастырған.
Көлденең күш пен ию моментінің таңбалары туралы келесі ережелер қабылданады. Көлденең m-m қимасының сол жағында әсер етіп тұрган сыртқы күштердің қорытынды күші (R) төменнен жоғары қарай, ал оң жақтағы сыртқы күштердің қорытынды күші (R) жоғарыдан төмен қарай бағытталған болса, ол қимадагы жанама күш Q(z) оң таңбалы болып саналады. Кері жағдайда жанама күш теріс таңбалы (5, б-сурет) .
Көлденең m-m қимасының сол жағындағы әсер етуші сыртқы күштердің осы қиманың ауырлық центріне қарағандағы қорытынды моменті (М) сағат тілінің бағытымен бағыттас, ал оң жағындағы күштердің корытынды моменті сағат тілінің бағытына қарама-қарсы бағытта болса, ол қимадағы ию моменті оң таңбалы деп саналады (6, а-сурет) . Кері жағдайда ию моменті М(z) теріс таңбалы (6, б-сурет) болады.
3. Таралған күштің қарқындылығы, жанама күш, ию моменті араларындағы дифференциалдық байланыс
Жазық күштер жүйесі әсер ететін арқалықты қарастырайық (7-сурет) . Арқалықтан бөлінген ұзындығы өте кішкентай
қарапайым элемент қарқындылығы
таралған күштің және
,
көлденең күштер мен
ию моменттерінің әсерінен тепе-теңдік күйде болады.
Бөлінген элементтің тепе-теңдік теңдеулері келесі түрде жазылады:
Бірінші теңдеуден
(1. 7)
Көлденең күштің абсцисса бойынша бірінші туындысы таралған күштің қарқындылығына тең.
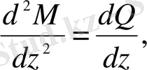
Екінші теңдеуден екінші ретті аз шамаларды ескермесек,
немесе
(2. 7)
Ию моментінің абсцисса бойынша бірінші туындысы көлденең күшке тең.
(2. 7) екі жағынан да
бойынша туынды алсақ,
немесе
(3. 7)
(3. 7) формуласы Журавский теоремасы деп аталады.
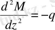
Ию моментінің қиманың абсциссасы бойынша екінші туындысы таралған күштің қарқындылығына тең.
Егер
төмен бағытталса (3. 7) :
және
Алынған (4, 7, 8) теңдіктер жанама күш, ию моменті, таралған күштің қарқындылығы араларындағы дифференциалдық байланыстарды сипаттайды.
(2. 7), (3. 7) формулаларынан
( 2. 7′)
( 3. 7′)
Мұндағы Q (0), M (0) тұрақтылары - аралық басындағы қадалған күш пен ию моменті.
(2. 7) өрнегінен таралған күш қарқындылығы
q
= 0 қимада көлденең күш
немесе
, себебі
.
Q
эпюрасына жүргізілген жанама - арқалық өсіне параллель. Осы сияқты (3. 7) -ден
Q
=
dM
/
dz
= 0 қимасында ию моменті ең үлкен немесе ең кіші мәніне ие болады.
Жоғарыдағы дифференциалдық байланыстардың негізінде маңызды қорытындыларға келуге болады:
1. Ию моментін шектейтін қисыққа жүргізілген жанама мен эпюра өсінің арасындағы бұрыштың тангенсі көлденең күшке тең.
... жалғасы- Іс жүргізу
- Автоматтандыру, Техника
- Алғашқы әскери дайындық
- Астрономия
- Ауыл шаруашылығы
- Банк ісі
- Бизнесті бағалау
- Биология
- Бухгалтерлік іс
- Валеология
- Ветеринария
- География
- Геология, Геофизика, Геодезия
- Дін
- Ет, сүт, шарап өнімдері
- Жалпы тарих
- Жер кадастрі, Жылжымайтын мүлік
- Журналистика
- Информатика
- Кеден ісі
- Маркетинг
- Математика, Геометрия
- Медицина
- Мемлекеттік басқару
- Менеджмент
- Мұнай, Газ
- Мұрағат ісі
- Мәдениеттану
- ОБЖ (Основы безопасности жизнедеятельности)
- Педагогика
- Полиграфия
- Психология
- Салық
- Саясаттану
- Сақтандыру
- Сертификаттау, стандарттау
- Социология, Демография
- Спорт
- Статистика
- Тілтану, Филология
- Тарихи тұлғалар
- Тау-кен ісі
- Транспорт
- Туризм
- Физика
- Философия
- Халықаралық қатынастар
- Химия
- Экология, Қоршаған ортаны қорғау
- Экономика
- Экономикалық география
- Электротехника
- Қазақстан тарихы
- Қаржы
- Құрылыс
- Құқық, Криминалистика
- Әдебиет
- Өнер, музыка
- Өнеркәсіп, Өндіріс
Қазақ тілінде жазылған рефераттар, курстық жұмыстар, дипломдық жұмыстар бойынша біздің қор #1 болып табылады.

Ақпарат
Қосымша
Email: info@stud.kz