Нүктедегі кернеулі күй теориясы


Дәріс 11. Нүктедегі кернеулі күй теориясы
1. Нүктедегі кернеулі күй және оның түрлері.
Қималарға тарала әсер ететін ішкі күштер қарқындылығын сипаттайтын шама, яғни бірлік ауданға әсер ететін күш - кернеу деп аталады. В нүктесінің маңынан ΔF шағын ауданшасын бөліп алайық (1-сурет) . ΔR осы ауданшаға әсер ететін ішкі күштердің тең әсерлі күші болсын. Сонда қарастырып отырған қиманың ΔF бірлік ауданшасына түсетін ішкі күштердің орташа мәні төмендегідей формуламен анықталады:
(1)
p m шамасы орташа кернеу деп аталады. Ол
ішкі күштердің орташа қарқындылығын сипаттайды. Ауданшаның өлшемін шексіз кішірейте отырып, яғни аудан нольге ұмтылғанда

өрнегін аламыз. p қарастырып отырған қиманың берілген нүктесіндегі кернеуді сипаттайды
Кернеулердің өлшем бірлігі - паскаль, 1 Па = 1 Н/м 2 . Кернеулердің нақты мәні өте үлкен сандармен сипатталатын болғандықтан еселік өлшем бірліктер, мысалы МПа (мегапаскаль) 1 МПа= 10 6 Н/м 2 жиі қолданылады.
Күштер сияқты кернеулер де векторлық шамалар. Дене қимасының әрбір нүктесіндегі толық кернеуді екі құраушыға: нормаль және жанама кернеулерге жіктеуге болады (2-сурет) . Қима жазықтығына нормаль бойымен бағытталатын құраушы
нормаль кернеу
деп аталып,
σ
таңбасымен белгіленеді. Ал қима жазықтығында жататын құраушы жанама кернеу деп аталып
τ
әрпімен белгіленеді. Әсер етуші күштерге байланысты жанама кернеулер қима жазықтығындағы кез келген бағытқа бағытталуы мүмкін. Ыңғайлы болу үшін жанама кернеуді координат осьтерінің бағыттарына сәйкес екі құраушыға жіктейді. Қабылданған белгілеулер 3-суретте келтірілген.
нормаль кернеулердің индекстері олардың қандай оське параллель екенін көрсетеді. Ал
жанама кернеулер индекстерінің біріншісі - осы кернеу әсер ететін ауданшаның нормалі қандай оське параллель екенін, ал екіншісі жанама кернеудің өзі қандай оске параллель екенін көрсетеді. Толық кернеуді нормаль және жанама кернеулерге жіктеудің белгілі бір физикалық мәні бар. Нормал кернеу материал бөлшектері бір-бірінен бөлінуге не бір-біріне жақындасуға ұмтылған кезде пайда болады. Жанама кернеулер материал бөлшектері қима жазықтығында бір-біріне қарағанда ығысқан кезде пайда болады.
Егер дененің кез келген нүктесінің маңынан ойша шексіз кіші куб тәріздес элемент бөліп алсақ, онда оның жақтарына жалпы жағдайда 3-суретте көрсетілгендей кернеулер әсер етеді. Дененің кез келген бір нүктесі арқылы өтетін барлық элементар ауданшаларға әсер ететін кернеулер жиынтығы
нүктедегі кернеулі күй
деп аталады.
Кернеулердің таңбалары туралы мынадай ережелер қабылданған:
Созушы нормаль кернеу оң , ал сығушы нормаль кернеу теріс таңбалы деп қарастырылады.
Ал жанама кернеулер таңбасы координат осьтерінің бағыттарына байланысты: егер жанама кернеу жатқан беттегі сыртқы нормаль координата осьінің оң бағытымен сәйкес келсе, онда координата остерінің оң бағыттарымен сәйкес жанама кернеулер оң, ал қалғандары теріс; ал сыртқы нормаль координата осьінің теріс бағытымен сәйкес келсе, онда координата остерінің теріс бағыттарымен сәйкес жанама кернеулер оң да, қалғандары теріс болып саналады. Бұл ережені қысқаша сыртқы нормаль ережесі деп атайды.
Жүктелген дененің кез келген нүктесінің жанынан өзара перпендикуляр үш беттеріндегі жанама кернеулері нольге тең болатын элементар параллелепипед бөліп алуға болады.
Жанама кернеулері нольге тең болатын ауданшалар бас ауданшалар, ал сол ауданшаларға әсер ететін тік кернеулер бас кернеулер деп аталады.
Бас кернеулер берілген дененің кернеулі күйін сипаттайтын тұрақты шамалар. Олар шамалары мен таңбаларына байланысты
белгіленеді.
Элементар параллелепипед тиісінше бір оське немесе екі не үш оське қатысты созылып (сығылып ) тұрғанына қарай кернеулі күй - сызықты, жазық және көлемдік кернеулі күй болып ажыратылады.
- Сызықты кернеулі күйде.
- Жазық кернеулі күй
- Көлемдік кернеулі күй
2. Жазық кернеулі күйдегі көлбеу беттегі кернеулер
Жазық есепте көлбеу ауданшалардың тек бір түрін, атап айтқанда параллелепипедтің күш түсірілмеген жақтарына перпендикуляр ауданшаларды қарастырамыз. 4-суретте бейнеленген параллелепипедті
жазықтығына перпендикуляр көлбеу қимамен қиып үшбұрышты призма алайық. Көлбеу қиманың орынын және оған қатысты
осьтерін
бұрышымен анықтаймыз.
Жазық есептерде біз тек күш түсірілмеген беттерге перпендикуляр көлбеу беттерді қарастырамыз. Жазық кернеулі күйдегі денеден қалыңдығы бірге тең үшбұрышты призманы бөліп аламыз (5-сурет) . Көлбеу беттің және сонымен байланыстағы
осьтерінің орнын
бұрышымен анықтаймыз. Өзара перпендикуляр
ауданшаларға тік және жанама кернеулер әсер етеді. Нормалі
ауданшадағы кернеулер
; нормалі
y
ауданшадағы кернеулер
, ал көлбеу жазықтықтағы кернеулер
.
мәндері белгілі, көлбеу жазықтықтағы кернеулерді анықтау керек (5а-сурет) .
Призмадан кесіп алған өлшемдері
dz
,
dy
қалыңдығы бірге тең қарапайым элементті қарастырамыз (5б-сурет) . Элементтің өлшемдері өте аз болғандықтан, оның қарама-қарсы беттеріндегі кернеулер бірдей.
Көлбеу беттегі кернеулерді үшбұрышты призманың тепе-теңдік теңдеулерінен табамыз. Үшбұрышты призманың тепе-теңдігін қарастырамыз (5а-сурет) .
Көлбеу беттің ауданы
, сонда өзара перпендикуляр беттердің аудандары
. (5)
Көлбеу беттегі кернеулерді үшбұрышты призманың тепе-теңдік теңдеулерінен табамыз. Ол үшін призманың қырларына түсірілген барлық күштерді
осьтеріне проекциялаймыз:
Бұл тепе-теңдіктерде призманың әрбір қырына әсер ететін күштер тиісті кернеулердің призма қырларының аудандарына көбейтіндісі түрінде алынған. (2) өрнектерді және тригонометрияның
өрнектерін ескере отырып қарапайым түрлендірулерден соң, барлық қосылғыштарды
-ға қысқартсақ:
(6)
(7)
(6) формуладағы
,
-ны қос бұрыштардың косинустары -
арқылы өрнектеп, төмендегідей жазуға болады:
(8)
(6), (7), (8) формулалары кез келген көлбеу жазықтықтағы тік және жанама кернеулерді анықтауға мүмкіндік береді.
6-суретте бастапқы бетпен бірге сол нүктедегі
осьтеріне бұрылған шексіз кіші элемент көрсетілген. Енді сол элементтің қабырғаларындағы кернеулерді анықтайық.
Бұрылған беттегі тік кернеу
(8) формуладан
деп алғанда анықталады. Ал
анықтау үшін (8) формуладағы
-ның орнына
деп аламыз. Сонда
(9)
және
беттерінде жанама кернеулердің жұптастық заңынан
.
(8) бен (9) формулаларды қоссақ, кернеулі күйдің ерекше қасиетін анықтаймыз,
, (10)
яғни, өзара перпендикуляр беттердегі тік кернеулердің қосындысы тұрақты шама.
3. Бас кернеулер
Егер біз
өстерi мен тiк бұрышты элементті
бұрышын өзгерте ойша бұратын болсақ, (5-сурет) белгілі бір
бұрышында
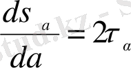
тiк кернеуі осы нүктедегі ең жоғары мәнiнe жетедi. Олай болса, (10) формула бойынша осы бетке перпендикуляр бетте тік кернеу өзінің ең кіші мәніне ие болады. Енді осы беттерді және олардағы экстремаль кернеулерді табу үшін
туындысын нөлге теңестіреміз. Бұл үшiн (8) өрнектi
аргумент бойынша дифференциалдаймыз
. (10)
Жақшадағы өрнектi (7) формуламен салыстырып,
. (11)
екенін көреміз. Өpнектi нөлге теңестiрiп, әрi iзделiп отырған ауданша нормалiнiң көлбеу бұрышын
арқылы белгiлеп,
болатынын анықтаймыз. Бұдан көлбеу ауданшадағы нүктеге экстремаль тiк кернеу әсер еткенде, жанама кернеулер нөлге тең екенiн көруге болады. Демек, жоғарыда айтып өткеніміздей, оларды
бас ауданшалар
, ал оларға әсер ететін тiк кернеулердi нүктедегi
бас кернеулер
деп атайды.
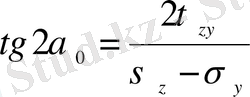
(10) формуланың жақшадағы өрнегiн нөлге тeңecтipiп, бас ауданшалар нормалiнiң көлбеулiгiн анықтайтын екі еселенген бұрыштың тангенсiн табамыз:
(12)
(12) өрнегi бас кернеулер әсер ететiн өзара перпендикуляр, көлбеу бұрыштары
және
болатын екi бағытты бередi. Онда
бас кернеулері әсер етедi. Бас кернеулердiң әсер ету сызықтарына сәйкес өстердi (
)
бас өстер
деп атайды. Бас кернеулердiң шамасын анықтау үшiн (8) формуладан
деп алып,
жақша сыртына шығарсақ:
. (а)
Тригонометриядан бeлгiлi формула бойынша (12) өрнегiн пайдаланып,
, (б)
екенiн табамыз.
«
» таңбаларының қойылу ceбeбi,
пен
бұрыштарының косинустары қарама-қарсы таңбалы болады. (12) және (б) өрнектерiн (а) -ға қойып, жақшадағы өрнектердi ортақ бөлiмге келтiрiп және қысқартып,
-дiң eкi мәнiн:
және
табамыз:
. (13)
Формуладағы плюс таңбасы ең үлкен бас кернеуге
,
ал минус - ең кіші бас кернеуге
сәйкес.
Келтiрiлген қорытындыдан кез келген
бастапқы кернеулер әсер ететін берiлген нүктеде жақтарына тек тiк кернеулер әсер ететiн параллелепипед тұрғызуға болатыны шығады. Басқаша айтқанда, нүктедегі жазық кернеулі күйдi өстердi бұру жолымен өзара перпендикуляр бағыттарда
және
кернеулерiмен созылу-сығылу түрінде бейнелеуге болады.
(12) формуланы қарастырайық. Ол бағыттарды бiлдiргенiмен,
,
қайсы бағытта әсер ететiнiн көрсетпейдi. Бұл мәселенi математика жолымен шешу үшiн
және
кезiнде
екiншi туындының таңбасын анықтау қажет.
Алайда басқа жолмен де
екi бағыттың қайсысымен әсер ететiндiгiн анықтауға болады. (12) формуладан:
кезiнде
болатындығы шығады. Демек,
үлкейсе,
артады. Ол 6-суретте көрсетiлген.
Осылайша
жағдайын қарастырып жалпы қорытындыға келемiз: ауданшаны жанама кернеу векторының бағытымен бұрғанда ондағы тiк кернеу алгебралық түрде өседi. Мысалы,
бағытымен вертикаль ауданшаларды бұру кезiнде оның тiк кернеулерi үлкейедi, демек, бұрудың осы бағытында жақын жатқан бас ауданшамен үйлескен кезiнде 6-суретте көрсетiлгендей
-ға жетедi. Бұл суреттерден мынадай ереженi тұжырымдауға болады:
бағыты үнемi координат өстерiнiң
мен
бағыттары сәйкес келетiн екi ширегi арқылы өтедi.
4. Экстремаль жанама кернеулер
... жалғасы- Іс жүргізу
- Автоматтандыру, Техника
- Алғашқы әскери дайындық
- Астрономия
- Ауыл шаруашылығы
- Банк ісі
- Бизнесті бағалау
- Биология
- Бухгалтерлік іс
- Валеология
- Ветеринария
- География
- Геология, Геофизика, Геодезия
- Дін
- Ет, сүт, шарап өнімдері
- Жалпы тарих
- Жер кадастрі, Жылжымайтын мүлік
- Журналистика
- Информатика
- Кеден ісі
- Маркетинг
- Математика, Геометрия
- Медицина
- Мемлекеттік басқару
- Менеджмент
- Мұнай, Газ
- Мұрағат ісі
- Мәдениеттану
- ОБЖ (Основы безопасности жизнедеятельности)
- Педагогика
- Полиграфия
- Психология
- Салық
- Саясаттану
- Сақтандыру
- Сертификаттау, стандарттау
- Социология, Демография
- Спорт
- Статистика
- Тілтану, Филология
- Тарихи тұлғалар
- Тау-кен ісі
- Транспорт
- Туризм
- Физика
- Философия
- Халықаралық қатынастар
- Химия
- Экология, Қоршаған ортаны қорғау
- Экономика
- Экономикалық география
- Электротехника
- Қазақстан тарихы
- Қаржы
- Құрылыс
- Құқық, Криминалистика
- Әдебиет
- Өнер, музыка
- Өнеркәсіп, Өндіріс
Қазақ тілінде жазылған рефераттар, курстық жұмыстар, дипломдық жұмыстар бойынша біздің қор #1 болып табылады.

Ақпарат
Қосымша
Email: info@stud.kz