Нүктедегі деформацияланған күй теориясы


Дәріс 12. Нүктедегі деформацияланған күй теориясы
1. Бас деформациялар. Кез келген бағыттағы ұзару
Жазық кернеулi күйде материал деформациясының ерекшелiгiн қарастырайық.
Қабырғаларының ұзындығы
Equation. 3 әне
Equation. 3
шексiз аз тiк бұрышты элементтi таңдап алсақ, жазық кернеулi күйдiң жалпы жағдайында оған тiк кернеулер
Equation. 3 және жанама кернеулер
Equation. 3 әсер етедi (8,
Equation. 3 -сурет) . Бұл кернеулер элементтiң деформациялануынан туындайды. Аталған кернеулер жазықтығында болатын элемент деформациясын қарастырамыз.
Изотропты материал үшiн элемент қабырғаларының ұзаруы тiк кернеулер әсерiнен болады. Оларды
Equation. 3 және
Equation. 3 арқылы белгiлеймiз (8,
Equation. 3 -сурет) . Нүктедегi сызықтық деформациялар бағыттарға сәйкес салыстырмалы ұзару шамасымен өрнектеледi.
. (20)
Жанама кернеулермен бұрышты деформация немесе ығысу деформациясы байланысты. Ол алғашында тiк бұрыштың ығысу бұрышы деп аталатын
бұрышына өзгеруiмен анықталады (8,
-сурет) .
Қарастырылып отырған нүкте арқылы
және
өстерiнiң бағытында ұзындығы
және
екi өзара перпендикуляр кесiндiлер өтсiн делiк. Деформация нәтижесiнде кесiндiлер (20) формулаларына сәйкес салыстырмалы ұзарады, әрi олардың арасындағы тiк бұрыш
ығысу бұрышына өзгередi.
Егер
және
өстерiн қиылысу нүктесiнiң төңiрегiнде әр түрлi кесiндiлермен рет бойынша үйлесетiндей ойша бұрсақ, онда
өстерiнiң әр қалпына
ұзаруы және
ығысу бұрышы сәйкес келедi.
және
өстерiнiң мүмкiн қалыптарына келетiн салыстырмалы ұзару мен ығысу бұрыштарының жиынтығы нүктенiң деформациялық күйiн сипаттайды.
Кез келген жазық кернеулi күй
және
бас кернеулермен екi өзара перпендикуляр бағытта созылады (сығылады) . 8-суретте ол үзiк сызықпен көрсетiлген. Бас аудандарда жанама кернеулер нөлге тең болғандықтан,
және
бағытында тiк бұрышты элемент тек қана ұзарып, ығысу бұрышы нөлге тең болады (8,
-сурет) .
Мұнан берiлген нүкте арқылы өтетiн екi өзара перпендикуляр бағытты көрсете отырып, кесiндiлердiң тек
және
шамаларға ұзаратындығын, ал арасындағы тiк бұрыш өзгepicсiз қалатындығын тұжырымдауға болады. Көрсетiлген
және
салыстырмалы ұзаруларды берiлген нүктедегi бас деформация деп атайды. Серпiмдi және изотропты денелердегi нүктелерде бас кернеулер мен бас деформациялар дәл келедi. Бас деформация атауы
және
ұзарулары берiлген нүктеден тарайтын кез келген бағытты ұзарулармен салыстырғанда бас кернеудiң әсерiне ұқсас экстремаль мәнге ие болатындығына байланысты.
2. Жазық және көлемдік кернеулі күйдегі Гук заңы
Осыған дейiн нүктедегi кернеулi және деформациялық күйлердiң формулаларымен нeгiзгi ережелерi дененiң серпiмдi қасиеттерiне байланысты болмайтындықтан, оларды серпiмдi және серпiмдi емес (немесе серпiмдi - пластикалыј) деформацияларға қолдануға болады. Кернеулер мен деформациялардың сандық қатынастарын тағайындағанда, бiз изотропты денелердiң тек серпiмдi деформацияларын қарастыратын боламыз.
Центрлiк созылған стерженьнен бөлiп алынған элементтi қарастырайық. Мұндай элемент бойлық және көлденең деформацияға ұшырайды. Ол
кернеуiмен мына формулалар бойынша:
(21)
(22)
байланысты.
Мұнда
-
серпiмдiлiк модулi, ал μ - Пуассон коэффициентi. Ұзару деформациясы оң, қысқару - терiс делiнедi. (21) формуласы сызықты кернеулi күйдегi Гук заңын өрнектейдi. Көлемдiк кернеулi күйде тiк кернеулер мен ұзарудың ұқсас қатынасын тағайындаймыз. Өйткенi кiшi деформация кезiнде жанама кернеулер тiк бұрышты элемент жақтарының ұзындығын өзгертпей, тек ығысуды тудырады. Мұнда элементтiң тек сызықты деформациялары қарастырылады. Ығысу деформациясына IV тарауда тоқталамыз.
және
деформацияларды
және
арқылы өрнектеп табамыз. Ол үшiн күштер әсерiнiң тәуелсiздiк принципiн және (21) және (22) формулаларындағы қатынастарды пайдаланамыз
кернеуi бағытымен
салыстырмалы ұзарудың косындысын үш қосылғышпен өрнектеуге болады:
,
мұнда
- тек
кернеудiң әсерiнен болатын деформация, оны (21) формуласымен анықтайды. Өйткенi ол
карағанда бойлық болып табылады.
кернеуден пайда болған ұзару,
қарағанда бойлық деформация болады да (22) формуласымен анықталады.
кернеу тудыратын деформация.
Сонымен
.
және
анықтауға ұқсас пайымдауларды пайдаланып көлемдiк кернеулi күйдегi Гук заңының формуласын (Гуктың жалпылама заңын) аламыз:
(23)
Бұл формулаларда созу кернеулерi «плюс», ал сығылу - «минус» таңбаларымен белгiленедi.
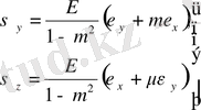
(23) формуласындағы бip кернеудi нөлге тең деп ұйғарып жазық кернеулi күй үшiн Гук заңын аламыз
деп:
(24)
кернеу нөлге тең болғанда
нөлге тең деген түсiнiк тумауы керек. Шынында,
болғанда
. (25)
Мысалы, пластинканы өз жазықтығында созғанда (44 форму-ласы бойынша), созу салдарынан пластинка қалыңдығының азайғандығын анықтауға болады. Белгiлi
және
кернеулерде (43) формулалар мен
және
деформациясын анықтайды. Бiрақ кейбiр жағдайда керi тәуелдiлiктi қарастырған тиiмдi. (25) формуласының екiншi жағын
-ға көбейтiп және бiрiншiмен қоссақ:
.
және
кернеулердi табамыз:
(26)
Үшiн формуланы
формуласындағы индекстердi алмастыру жолымен аламыз. (26) формуласындағы тәуелдiлiктер бeлгiлi
және
деформациялары (мысалы, тәжiрибеден)
тiк кернеулерiн анықтауға мүкiндiк бередi.
3. Деформация кезінде материал көлемінің өзгеруі
Деформацияға дейiн элементтер параллелепипед жақтарының өлшемiн
және
арқылы белгiлеймiз (9-сурет) . Деформациялаудан кейiн бұл өлшемдер
,
,
болсын.
Параллелепипедтiң бастапқы көлемiн
,
ал деформациядан кейiн
деп белгiлеймiз Параллелепипед көлемiнiң абсолют өзгepyiн табамыз:
(a)
(а) өрнегiндегi жақшада салыстырмалы ұзару көрсетiлген
.
(а) өрнегiн ықшамдасақ:
.
Нақты құрылыс материалдарында салыстырмалы ұзару әдетте, мыңдық, он мыңдық үлестермен өлшенедi. Сондықтан, олардың көбейтiндiлерiн ескермеуге болады. Ығысу деформациясы көлем өзгеруiн тудырады. Ол
ығысу бұрышының квадратына, тiптi одан жоғары дәрежесiне пропорционал. Сондықтан кiшi деформацияларда көлемнiң мұндай өзгерiсiн де елемеуге болады.
Сонымен
.
Көлемнiң салыстырмалы өзгеруiн, немесе салыстырмалы кө-лемдiк деформациясын мына формуламен анықтайды:
. (27)
- Іс жүргізу
- Автоматтандыру, Техника
- Алғашқы әскери дайындық
- Астрономия
- Ауыл шаруашылығы
- Банк ісі
- Бизнесті бағалау
- Биология
- Бухгалтерлік іс
- Валеология
- Ветеринария
- География
- Геология, Геофизика, Геодезия
- Дін
- Ет, сүт, шарап өнімдері
- Жалпы тарих
- Жер кадастрі, Жылжымайтын мүлік
- Журналистика
- Информатика
- Кеден ісі
- Маркетинг
- Математика, Геометрия
- Медицина
- Мемлекеттік басқару
- Менеджмент
- Мұнай, Газ
- Мұрағат ісі
- Мәдениеттану
- ОБЖ (Основы безопасности жизнедеятельности)
- Педагогика
- Полиграфия
- Психология
- Салық
- Саясаттану
- Сақтандыру
- Сертификаттау, стандарттау
- Социология, Демография
- Спорт
- Статистика
- Тілтану, Филология
- Тарихи тұлғалар
- Тау-кен ісі
- Транспорт
- Туризм
- Физика
- Философия
- Халықаралық қатынастар
- Химия
- Экология, Қоршаған ортаны қорғау
- Экономика
- Экономикалық география
- Электротехника
- Қазақстан тарихы
- Қаржы
- Құрылыс
- Құқық, Криминалистика
- Әдебиет
- Өнер, музыка
- Өнеркәсіп, Өндіріс
Қазақ тілінде жазылған рефераттар, курстық жұмыстар, дипломдық жұмыстар бойынша біздің қор #1 болып табылады.

Ақпарат
Қосымша
Email: info@stud.kz