Деформацияланатын серпімді жүйелердің тепе-теңдік күйінің орнықтылығы


Дәріс-14. Деформацияланатын серпімді жүйелердің тепе-теңдік күйінің орнықтылығы
1 Бойлық иілу. Дағдарыс күші. Эйлер формуласы
Конструкция элементтері беріктікке, қатаңдыққа есептелгенде, оған әсер етуші сыртқы күштер мен оның көлденең қималарындағы ішкі күштер өзара орнықты тепе-тендік күйде деп қарастырылады. Негізінде, кез келген серпімді жүйенің тепе-тендік күйі орнықты бола бермейді. Мұндай құбылыстар туралы толық түсінік беру үшін физика курсынан мәлім, келесі мысалдарды еске түсірейік.
1. Ойыс беттің ең төменгі нүктесіңде жатқан шарды шамалы қозғап еркіне жіберсек, ол өзінің бастапқы орнына қайта оралады (1, а-сурет) . Дененің мұндай күйі орнықты тепе-тендік күй деп аталады.
2. Горизонталь жазықтық бетінде жатқан шарды шамалы қозғап еркіне жіберсек, ол бастапқы орнына қайтып келмей, қозғалысын тоқтатады (1, б-сурет) . Мұндай құбылыс дененің талғаусыз тепе-теңдік күйі деп аталады.
3. Дөңес беттің ең жоғарғы нүктесіндегі жатқан шарды шамалы қозғап еркіне жіберсек, ол қозғалысын онан әрі шексіз жалғастыра береді (1, в-сурет) . Мұндай құбылыс дененің орнықсыз тепе-теңдік күйі деп аталады.
Осыңдай құбылыстарды күш әсер еткен серпімді жүйелерде де байқауға болады.
Мысалы, шамасы аз бойлық күшпен сығылған сырық иіліп, өзінің түзу сызықты пішінін шамалы өзгерткенімен, орнықты тепе-тендік күйін жоғалтпайды (1, г-сурет) . Сығушы күш аз шамаға өссе, деформация да аз шамаға өседі. Сыртқы күш әсері жойылса, деформация да жойылып, сырық өзінің бастапқы түзу сызықты орнықты тепе-тендік күйіне қайтып оралады. Сыртқы күш шамасы кризистік күштен аз ғана артса, сығылған сырықнің түзу сызықты тепе-теңдік күйі орнықсыз тепе-теңдік күйге айналып, орнықты қисық сызықты тепе-тендік күйге ауысар еді (1, д-сурет) . Сығылған сырықты түзу сызықты тепе-теңдік күйінен ажырататын ең кіші сыртқы күш дағдарыс күші деп аталады.
Тәжірибелік зерттеулерге қарағанда сығушы күштің шамасы аумалы күштің шамасынан аз болса, стерженнің иілу мөлшері де аз, ал сығушы күштің шамасы дағдарыс күшінің шамасына жуықтаған кезде сығылған сырықтың иілу мөлшері едәуір өсіп кетеді (1, е-сурет) . Сондықтан, бұл құбылыс инженерлік практикада өте қауіпті болып табылады.
Конструкция элементі орнықтылығын жоғалтпай қызметін сенімді атқаруы үшін сығушы күштің шамасы қауіпсіз күштен бір шама кіші болуы тиіс:
Р ≤ [Р],
мұндағы
[P]
- қауіпсіз күш,
Р
д
- дағдарыс күші,
n
a
- орнықтылыққа қауіпсіздік еселігі.
Орнықтылыққа қауіпсіздік еселігі сырықтың көлденең қимасының пішініне, материалының қасиеттеріне, жұмыс істеу шарттарына, тағы басқа факторларға байланысты қабылданады. Мысалы, құрылыс конструкцияларында қолданылатын көміртекті болаттар үшін n 0 = 1, 8 . . . 3, 0 ; шойын үшін n 0 = 5 . . . 6; ағаш үшін n 0 = 3 . . . 4, ал мәшине жасау өнеркәсібінде пайдаланылатын болаттар үшін n 0 - 4 . . . 5 ; шойын үшін n 0 = 8 . . . 10 т. с. с, Орнықтылыққа қауіпсіздік еселігі беріктікке қауіпсіздік еселігінен әдетте біршама үлкен.
Конструкция элементтерінің орнықтылық мәселесі иілгенде, бұралғанда, сондай-ақ күрделі деформацияланғанда да орын алуы мүмкін. Ал бұл жерде біз орнықтылық теориясының ең қарапайым түрі - тек сығылған сырықтардың орнықтылығын қарастырамыз.
2. Дағдарыс күші. Эйлер формуласы.
Бойлық өс бойымен сығылған қос топсалы арқалықты қарастырайық. Сығушы күштің шамасы дағдарыс күшіне теңелгенде арқалық орнықтылығын жоғалтпай, шамалы иіліп, бейтарап тепе-тендік күйде болады (2, а-сурет) .
Июші моменттің таңбалары туралы ереже бойынша иілген арқалықтың дөңес жағы жоғары жатса, оның қималарындағы июші моменттер теріс, иілу мөлшерлері оң танбалы, ал дөңес жағы төмен жатса, июші момент оң, иілу мөлшері теріс таңбалы болады.
Олай болса координаты z-ке тең арқалықтың қимасындағы июші момент
(1)
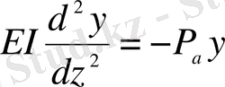
Арқалық серпімді деформацияланады деп, серпімді сызығының дифференциалдық тендеуін құрайық
немесе
. (2)
Енді
(3)
деп белгілейік. Сонда (2) теңдеуін келесі түрде жазуға болады
(4)
Бұл сызықты дифференциалдық тендеудің шешуі
Мұндағы А және В шеттік шарттардан анықталатын интегралдау тұрақтылары.
Бірінші шарт бойьнша A = 0, өйткені cos
Equation. 3 =1, sin
Equation. 3 = 0. Олай болса
Equation. 3 (5)
Екінші шарт бойынша В sin
Equation. 3 = 0. Erep B = 0 болса, онда арқалықтың кез келген қимасындағы иілу мөлшері нөлге тең болғаны. Бұл шешім есептің бастапқы шартына қайшы, сондықтан В
0, sin
Equation. 3 = 0, яғни
Equation. 3 = 0,
, осыдан
Equation. 3 (6)
Алынған (3, 6) теңдіктерін салыстырып
екенін көреміз.
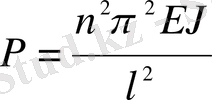
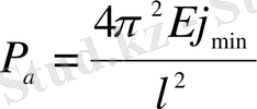
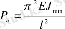
Сығылған арқалық орнықтылығын ең кіші қатаңдық жазықтығында жоғалтады, олай болса J=J min яғни
, (7)
Енді сырықтың орнықты тепе-теңдік күйінен ауытқуына сәйкес, дағдарыс күшінің ең кіші мәнін табайық
Бұл шешім есептің бастапқы шартына қайшы, демек, дағдарыс күші n = 1 болғанда өзінің ең кіші мәніне ие болады
(8)
Бұл формуланы 1744 жылы Петербург академиясының академигі Л. Эйлер ұсынғаңдықтан, Эйлер формуласы деп атайды.
Erep (5, 6) теңдеулерін бірге қарастырсақ, сығылған арқалықтың серпімді сызығы келесі теңдеумен өрнектеледі:
(9)
Соңғы теңдеуден z бойынша туынды алып, нөлге теңестірейік:
мұңдағы
Косинустың ең кіші мәніне сәйкес аргумент
/2 болғандықтан,
(10)
n = 1
болғаңда
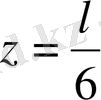
. Демек, талғаусыз күйдегі кос тіректі арқалықтың серпімді сызығы синусоиданың жарты толқынына сәйкес келеді, ал ең үлкен иілу мөлшері синусоиданың ортасында жатады (2, а-сурет) .
n = 2
болса,
, ал
n = 3
болса,
. Яғни, тірек аралығындағы синусоидалық жарты толқындардың саны
n
-ге тең (2 б, в-сурет) .
3. Тұғыр түрлерінің дағдарыс күшінің шамасына әсері
Бейтарап күйдегі топсалы қос тұғырлы арқалықтың серпімді сызығы синусоиданың жарты толқынымен сәйкес келеді (3, а-сурет) . Еңді, басқа тұғырларға бекітілген арқалықтарды қарастырайық.
Бір ұшы қатаң бекітілген арқалықтың екінші ұшында, шамасы дағдарыс күшіне тең бойлык күш әсер етсін. Бұл арқалыктың серпімді сызығы, бейтарап күйдегі топсалы қос тұғырлы, ұзындығы 2 l -ге тең арқалықтың серпімді сызығының жартысына сәйкес келеді (3а, б-сурет) . Олай болса, қарастырылған арқалықтың дағдарыс күші ұзындығы 2 1 -ге тең, топсалы қос тұғырлы арқалықтың дағдарыс күшіне тең
(11)
Енді екі ұшы катаң бекітілген бейтарап күйдегі арқалықты қарастырайық. Арқалықтың серпімді сызығы синусоиданың екі жарты толқынына сәйкес келеді (3, в-сурет) . Талғаусыз күйдегі қос тұғырлы арқалықтың серпімді сызығымен салыстырып,
(12)
екенін көреміз (3 а, в-сурет) .
Дәл осылай бір ұшы қатаң, ал екінші ұшы топсалы тірекпен талғаусыз күйдегі арқалықтың аумалы күшін табамыз. (3, а, г-сурет)
(13)
Бейтарап күйдегі, тіректері әр түрлі сырықтардың дағдарыс күштерін анықтайтын Эйлер формуласын жалпы түрге келтіруге болады
(14)
Мұндағы
l
- сырықнің ұзындығы;
- тұғырлардың түрлеріне байланысты кабылданатын, ұзындықты келтіру еселігі
;
Келтірілген ұзындық деп, дағдарыс күші берілген сырықтың дағдарыс күшіне тең топсалы қос тұғырлы сырықтың ұзындығын айтады.
4. Кернеулері пропорционалдық шектен үлкен сырықтардың орнықтылығын жоғалтуы туралы түсінік
Бейтарап тепе-теңдік арқалықтың көлденең қимасындағы тік кернеу келесі формуламен анықталады
Мұндағы
- сырықтың икемділігі деп аталып, сырық өлшемдері мен тірек түрлерінің дағдарыс күші шамасына әсерін сипаттайтын өлшемсіз шама. Сонымен, дағдарыс кернеуі
(15)
Осы формула бойынша,
мен
араларындағы тәуелділікті график түрінде көрсетуге болады. Бұл график Эйлер гиперболасы деп аталады. Серпімділік модулі Е = 2 10
5
МПа, пропорционалдық шегі
200 МПа болаттан жасалған сырықтың осыңдай графигі 4-суретте көрсетілген. Графиктен сырық икемділігі өскен сайын дағдарыс кернеуі нөлге, ал сырық икемділігі кеміген сайын дағдарыс кернеуі шексіздікке ұмтылатындығын байқауға болады. Эйлердің формуласын қорытьп шығарғанда серпімді сызықтың дифференциалдық (4) теңдеуі пайдаланылған. Бұл теңдеу, сырық серпімді деформацияланғанда ғана күшін сақтайды. Сондықтан, Эйлер формуласын сығылған сырықтардағы тік кернеу пропорционалдық шектен аспағанда ғана пайдалануға болады
бұдан Эйлер формуласының қолдану шарты
(16)
Демек,
болғанда Эйлер формуласын пайдалануға болмайды. Болаттан (
200 МПа ) жасалған сырық үшін
Бұл шаманы, 4-суреттегі графиктен де көруге болады. Ол үшін пропорционалдық шегін ордината өсіне өлшеп салып, алынган A нүктесі арқылы абсцисса осіне параллель түзу жүргізеді. Түзудің Эйлер гиперболасымен қиылысқан нүктесі
шамасын анықтайды (4-сурет) .
Тік кернеулері пропорционалдық шектерінен үлкен, сығылған сырықтар үшін дағдарыс күшін анықтау күрделі мәселелердің бірі. Көптеген тәжірибелік зерттеулердің нәтижелеріне сүйеніп Ф. С. Ясинский икемділігі кіші (
) сырықтардың дағдарыс кернеулерін анықтауға келесі формуланы ұсынған
Equation. 3 (17)
Мұндағы a, b материалдарға байланысты қабылданатын еселіктер. Қарастырылған болат үшін a = 310 МПа, b= 1, 14 МПа. Икемділігі
100 болат сырықтардың дағдарыс кернеулері Ясинский формуласымен анықталып, 4-суретіндегі DC көлбеу сызығына сәйкес келеді. Икемділігі
Equation. 3 < 40 сырықтар орнықты деп қарастырылып, тек беріктікке есептеледі. Кейбір материалдар үшін
а, b
еселіктері 1-кестеде берілген.
Сығылған сырықтар беріктік қасиетін немесе орнықтылығын жоғалтса, жүк көтергіштік қабілетінен айырылады. Икемділігі үлкен сырықтар үшін қауіпті - дағдарыс кернеуі, ал икемділігі кіші сырықтар үшін қауіпті - серпімділік немесе беріктік шегі (материалдың қасиетіне байланысты) . Иикемділігі үлкен сырықтардың қауіпті дағдарыс күші серпімділік немесе беріктік шегінен айтарлықтай кіші болуы мүмкін. Сондықтан, сығылған сырықтар беріктікке есептелумен қатар, міндетті түрде орнықтылыққа да тексеріледі.
1-кесте
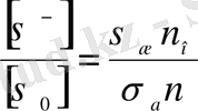
Орнықтылық шарты келесі түрде жазылады
Equation. 3
мұндагы
-орнықтылыққа қауіпсіз кернеу; n
0
орнықтылық қауіпсіздік еселігі.
Орнықтылықтың қауіпсіз кернеуін сығылу кезіндегі негізгі қауіпсіз кернеумен
- салыстырайық
Бұдан
Негізгі мүмкіндік кернеудің коэффициентін
арқылы белгілеп,
қауіпсіз кернеулерінің арасындағы байланысты мына түрде жазуға болады
Equation. 3 (19)
Mұңдағы
-негізгі қауіпсіз кернеуді кеміту еселігі.
Негізгі қауіпсіз кернеудің
коэффициентін сырықтың кез келген икемділігі (
) үшін есептеп шығаруға болады.
Негізгі икемділігі кернеудің
коэффициентін пайдаланып сығылған сырықтың орнықтылығын тексеру тәртібі мынадай болады:
- Өлшемдері мен пішіні белгілі қиманың ең кіші инерция радиусы мен сырықтың икемділігі анықталады
- Іс жүргізу
- Автоматтандыру, Техника
- Алғашқы әскери дайындық
- Астрономия
- Ауыл шаруашылығы
- Банк ісі
- Бизнесті бағалау
- Биология
- Бухгалтерлік іс
- Валеология
- Ветеринария
- География
- Геология, Геофизика, Геодезия
- Дін
- Ет, сүт, шарап өнімдері
- Жалпы тарих
- Жер кадастрі, Жылжымайтын мүлік
- Журналистика
- Информатика
- Кеден ісі
- Маркетинг
- Математика, Геометрия
- Медицина
- Мемлекеттік басқару
- Менеджмент
- Мұнай, Газ
- Мұрағат ісі
- Мәдениеттану
- ОБЖ (Основы безопасности жизнедеятельности)
- Педагогика
- Полиграфия
- Психология
- Салық
- Саясаттану
- Сақтандыру
- Сертификаттау, стандарттау
- Социология, Демография
- Спорт
- Статистика
- Тілтану, Филология
- Тарихи тұлғалар
- Тау-кен ісі
- Транспорт
- Туризм
- Физика
- Философия
- Халықаралық қатынастар
- Химия
- Экология, Қоршаған ортаны қорғау
- Экономика
- Экономикалық география
- Электротехника
- Қазақстан тарихы
- Қаржы
- Құрылыс
- Құқық, Криминалистика
- Әдебиет
- Өнер, музыка
- Өнеркәсіп, Өндіріс
Қазақ тілінде жазылған рефераттар, курстық жұмыстар, дипломдық жұмыстар бойынша біздің қор #1 болып табылады.

Ақпарат
Қосымша
Email: info@stud.kz