Автомобиль жолдарын табиғаты күрделі ауданда жобалау


ҚАЗАҚСТАН РЕСПУБЛИКАСЫНЫҢ БІЛІМ ЖӘНЕ ҒЫЛЫМ МИНИСТРЛІГІ
КУРСТЫҚ ЖОБА
Тақырыбы : Автомобиль жолдарын табиғаты күрделі ауданда жобалау
Мазмұны
Кіріспе . . .
Тапсырма . . .
- Жобаланатын ауданының табиғи климаттық
жаҒдайы . . .
- Климаты . . .
- Жер бедері . . .
- Гидрологиясы менгидрографиясы . . .
- Өсімдіктері мен жануарлары . . .
- Техникалық нормативтерді есептеу . . .
- автомобиль Жолының трасс жоспарын жобалау . . . Трасс жоспарының варианттарын жобалау . . . Трасс жоспарының варианттарын салыстыру . . .
- автомобиль Жолының бойлық бейнесін жобалау . . . Гидрогеологиялық шарттарға байланысты қармен басылмау жағдайын есептеу . . . Шаблон әдісін қолданып, жер төсемесінің бровкасын жобалау . . .
- автомобиль Жолының кӨлденең қимАсын жобалАу . . .
- Жер тӨсемесінің конструкциясын жасап, оны есептеу . . . Жол төсемесінің конструкциясын жобалау . . . Негіздің серпімділік модулін есептеу . . . Иілу моменттін есептеу . . . Жалпы кернеуді есептеу . . .
- Жоба деталін Жобалау . . .
8. Қолданылған әдебиеттер . . .
Кіріспе
Автомобиль жолдары- республиканың транспорттық жуйесінің негізгі бөлімі. Жол торларының дамуы және техникалық жағдайы аудандардың дамуына тікелей әсерін тигізеді. Ол өндірістің және еңбектің өнімділігін көтереді. Жол шаруашылықтары өте күрделі экономикалық жағдайда тұр. Заманның өзгеріп келе жатқанынан жолдағы жеңіл және ауыр көліктердің саны көбейіп, жолдағы өткізу қабілетінің өсуінен қатты жамылғысы бар жоғарғы категориялы жолдарды қажет етеміз.
Берілген курстық жобада автомобиль жолдарын табиғаты күрделі аудандарда жобалауды қарастырамыз. Курстық жобаны жазу барысында ауданның атын, топырағының құрамын, топырақ асты суларын, топографиялық картасын қарастырамыз.
Топографиялық карта масштабы 1:1000, горизонтальдары әр 1м сайын орналасқан. Жобаланатын аудандағы трасты екі нұсқа бойынша есептейміз және жол жамылғысын таңдап, оның шамаларын есептейміз.
Осы есептеулерді жүргізгеннен кейін өзімізге қолайлы жобаны аламыз. Жоба бөлшегінде - автомобиль жолдарын жыралы аудандарында жобалауды қарастырамыз. Ондағы болған апаттарды қарастырамыз.
Тапсырма
Автомобиль жолдарының жобалау негіздері
Негізгі деректер
Топографикалық карта - М 1:1
Автомобиль жолын жобалау ауданы -Зайсан ауданы
Жол категориясы - II
Жобалау ауданындағы топырақ құрамы
Кесте 1
Жолдағы автомобильдердің құрамы мен жиілігі
Кесте 2
1. Жобаланатын ауданының табиғи климаттық
жаҒдайы
- Климаты
Зайсан ауданының климаты тым континенттік, қысы суық, жазы ыстық. Ауданның таулы бөлігінің жазы қоңырқай салқын, ылғалды, қыста қар қалың, аязды күндер аз. Ауданда қаңтардың орташа температурасы -17Стан -20Сқа дейін. Ал шілдеде +23; 21Сқа дейін. Ең ыстық температура +40С, ең суық температура -49Сқа дейін барады. Жауын-шашын мөлшері Зайсан қазаншұңқырларында 150-250мм аралығында болса, таулы бөлікте 400-500мм-ге жетеді.
1. 2 Жер бедері;
Зайсан ауданының жер бедері өте күрделі болып келеді. Оның оңтүстігінде Маңырақ жотасы мен Сауыр жотасы, солтүстік жағын Зайсан қазаншұңқырының шығыс бөлігі, ал шығыс жағы Қытаймен шектеседі. Қазаншұңқырдың солт-шығыс бөлігінде Айғырқұм құмы орналасқан. Аудан жерінде күлгін, қызыл қоңыр, боз қызыл, қоңыр сортаң және құмды топырақтар тараған.
1. 3 Гидрологиясы мен гидрографиясы
Жер беті сулары Зайсан көлінің оңт-шығыс бөлігі мен оған құятын Қара Ертіс, Ақсу, Кендірлік, Теректі, Темірсу, Жеменей, Үйдене өзендерінен және Айғырқұмдағы Сарыкөл, Сарманақ, Тұздыкөл және т. б кішігірім көлдерден тұрады.
1. 4 Өсімдіктері мен жануарлары;
Мұнда тек қана ағаш пен бұтаның 26түрі өседі. Тау беткейлері мен өзен бойларында тал, тобылғы, итмұрын, одан биіктеу жерде қайың, көктерек, одан жоғары бөлікте қылқан жапырақты ормандар өседі.
Жабайы жануарлардан арқар, марал, елік, жабайы шошқа, қасқыр, түлкі, қарсақ, сасықкүзен, ақтышқан, қоян, суыр, сарышұнақ. Құстардан бүркіт, үкі, байғыз, кезқұйрық, құр, кекілік. Көл мен өзендерде аққу, қаз, үйрек, көкқұтан т. б мекендейді. Зайсан көлі мен Қара Ертісте шортан, алабұға, сазан, бекіре, ақбалық бар.
Ауа температурасы
Кесте 3
Жел раушаны
Қаңтар Кесте 4
2. жолдың Техникалық нормативтерді есептеу
Автомобиль жолының категориясына сәйкес техникалық нормативтерді анықтау.
Курстық жобаның тапсырмасы бойынша жолдың техникалық категориясы - II. Соған сәйкес СНиП РК 3. 03-09-2003 « Автомобиль жолдары » бойынша нормативтермен көлік жиілігін аламыз. Оны 5-кесте түрінде келтіреміз.
Техникалық нормативтер
Кесте 5
3. автомобиль Жолының трасс жоспарын жобалау
3. 1 Трасс жоспарының варианттарын жобалау.
Масштабы 1:1 топографиялық картадағы трасс жоспарының екі вариантында бұрылу бұрышының радиусы жолдың категориясына сәйкес R=800 м. Трасс жоспарының I-вариантын тангенс әдісі арқылы өтпе қисығын қолдана отырып жобалаймыз. Берілген радиусқа (800 м) сәйкес Митин Н. А. 1-кестесінен қисықтың элементтерін анықтап аламыз. Ал өтпе қисығының элементтерін 5-таблицадан мәндерді қолдана отырып анықтаймыз.
1) Бірінші бұрылу бұрышының мәні
. Соған сәйкес өтпе қисығының элементтерін анықтау. Өтпе қисығының тангенсі:
, Т
ПК1
=(800+0, 75) ·0, 28675+59, 99=289, 6 м.
Қисықтың ұзындығы:
, К
ПК1
=0, 01745*800*32+120=566, 72 м.
Биссектрисаны анықтау:
, Б
ПК1
=800, 75*1, 0403-800=33, 02 м.
Домерді анықтау:
, Д
ПК1
=2*289, 6-566, 72=12, 48.
Өтпе қисығының негізгі нүктелерінің пикетажын анықтау. Бұрылыс бастауының пикеті: ҚБ 1 =№1БО-Т=555-289, 6=265, 4м.
Бұрылу қисығының басталу пикеті: БҚБ 1 = ҚБ 1 +l=265, 4+120=385, 4м
Бұрылыстың соңының пикеті: ҚС 1 = ҚБ 1 +Т=265, 4+566, 72=832, 12м.
Бұрылу қисығының соңының пикеті: БҚС 1 = ҚС 1 -l=
=832, 12-120=712, 12м.
Бұрылу қисығының ұзындығы: L БҚ1 = ДҚС 1 - ДҚБ 1 =
=712, 12-385, 4=326, 72м.
Тексеру: ҚС 1 =№1БО+ Т ПК1 - Д ПК1 =555+289, 6-12, 48=832, 12
Өтпе қисығының элементтері төмендегі 3-ші суретте көрсетілген.
Екінші бұрылу бұрышының мәні:
. Соған сәйкес өтпе қисығының элементтерін анықтау. Өтпе қисығының тангенсі:
, Т
ПК2
=800, 75*0, 56577+59, 99=513, 03м.
Қисықтың ұзындығы:
, К
ПК2
=0, 01745*800*59+120=943, 64м.
Биссектрисаны анықтау:
, Б
ПК2
=800, 75*1, 14896-800=120, 029м.
Домерді анықтау:
, Д
ПК2
=2*513, 03-943, 64=82, 42м.
Өтпе қисығының негізгі нүктелерінің пикетажын анықтау. Бұрылыс бастауының пикеті: ҚБ 2 =№2БО-Т=1455-513, 03=941, 97м.
Бұрылу қисығының басталу пикеті: БҚБ 2 = =ҚБ 2 +l=941, 97+120=1061, 97 м
Бұрылыстың соңының пикеті: ҚС 2 = =ҚБ 2 +Т=941, 97+943, 64=1885, 61м
Бұрылу қисығының соңының пикеті: БҚС 2 = ҚС 2 - l = 1885, 61-120=1765, 61 м.
Бұрылу қисығының ұзындығы: L БҚ2 = ДҚC 2 - ДҚБ 2 =1765, 61-1061, 97=703, 64 м.
Тексеру: ҚС 2 =№1БО+ Т ПК2 - Д ПК2 =1455+513, 03-82, 42=1885, 61м
Есептеулерді түзулер мен қисықтар және бұрылу бұрышы ведомостінде енгіземіз (7-кесте) .
3-сурет. Өтпе қисығының негізгі элементтері.
2) Трасс жоспарының II-вариантын клотоид (шаблон) әдісін қолданып жобалау. II-категориялы жолға сәйкес II-варианттың бұрылу бұрыштарындағы қисық радиустарын R
1
=125 м, бұрылу орындарының ара қашықтығы BD=970 м, бірінші бұрылу бұрышының мәні
және екінші бұрылу бұрышының мәні
деп аламыз. Соған сәйкес түйіндес биклотоид элементтерін анықтаймыз.
1) Бірінші биклотоидтың элементтерін анықтаймыз. Бұл үшін I-кестеден
болған кездегі биклотоидтың барлық элементтерін жазып аламыз. (4-суретке қара)
Т 1 =138, 1909*1, 25=172, 7386
K 1 =249, 5821*1, 25=301, 99
Д 1 =26, 7998*1, 25=33, 499
Б 1 =31, 1023*1, 25=38, 877
L 1 =124, 7910*1, 25=155, 988
A 1 =111, 7099*1, 25=139, 637
2) Т
2
=895-
=625-172, 7386=452, 26
3) I-кесте бойынша
болғандағы кестелік мәнін аламыз.
қатынасын табамыз.
Бұл қатынасқа дөңгелектенген барлық элементтерді көбейтіп, екінші биклотоид элементтерін табамыз:
R 2 =100*2, 77=277, 05
K 2 =284, 4886*2, 77=788, 03
Д 2 =41, 9906*2, 77=116, 313
Б 2 =42, 9315*2, 77=118, 92
L 2 =142, 2443*2, 77=394, 016
A 2 =119, 2662*2, 77=330, 367
Сурет 4. Клотоид қисығының негізгі элементтері
3. 2 Трасс жоспарының варианттарын салыстыру
Трасс жоспарының варианттарын салыстыруды кесте түрінде көрсетеміз. Содан кейін қолайлы вариантты таңдап аламыз.
Трасс жоспарының вариантын салыстыру кестесі.
Кесте 6
Ұзару коэффициентін табу үшін қисықтарды енгізгеннен кейін шыққан трасс ұзындығын қисықты енгізбегенге дейінгі ұзындығына бөлеміз:
, мұндағы,
- қисықты енгізгенне кейінгі трасс ұзындығы;
- қисық енгізбегенге дейінгі ұзындық, м.
Трасс қолайсыздығын есептеу:
; мұндағы,
- бұрылыс саны,
- трасс ұзындығы.
Салыстыру нәтижесі бойынша трасса жобалаудың варианты неғұрлым тиімді. Сондықтан есептеулер мен жобалауларды осы вариант негізінде жүргіземіз.
L
155, 988
394, 016
Клотоид қисығымен өтпе қисығының бұрылу орындарының ведомосі 7-кесте
А
Р
139, 637
330, 367
БҚС
П
712, 12
1765, 61
БҚБ
385, 4
1061, 97
Пикет бойынша
Орналасуы
ҚС
+
32, 12
85, 61
ПК
8
18
ҚБ
+
654
41, 97
ПК
2
9
Қисықтың
Элементтері
Д, м
12, 48
82, 42
33, 499
116, 313
К, м
566, 72
943, 64
301, 99
788, 03
Б, м
33, 02
120, 029
38, 877
118, 92
Т, м
289, 6
513, 03
172, 7386
452, 26
R, м
800
800
125
125
Бұрыштың мәні
оңға
. . .
81 0
солға
32 0
59 0
71 0
Бұрыштың орны
+
55
55
ПК
5
14
Км
0, 55 5
1, 455
Бұрыш-тың
нөмірі
№1 БО
№2 БО
№1 БО
№2 БО
4. автомобиль Жолының бойлық бейнесін жобалау
4. 1 Гидрогеологиялық және климаттық жағдайларға тәуелді қармен басылмау шарттары бойынша есептеу
Бойлық қимадағы ең аласа үйіндіні болашақта пайдалану кезінде қауіпті болмау үшін күні бұрын оның биіктігін есептеп бекітеді. Болашақта ол аласа үйінді қармен немесе сумен басылмау үшін келесі түрдегі тексерулерді жасаймыз.
- Сумен басылмау жағдайын есептеу: Нmin1= hmin-вж. б·іж. б-aж. ш·іж. ш, м
в ж. б =3, 75 м - жүру бөлігінің ені;
i ж. б =15‰ - жүру бөлігінің еңістігі;
a ж. ш =3, 75 м - жол шетінің ені;
i ж. ш =35‰ - жол шетінің еңістігі;
h min = мм - құрылыс ауданындағы жауын-шашын мөлшері;
Н min1 = 0, 0 -3, 75·0, 015-3, 75·0, 035=-0. м.
- Қармен басылмау жағдайы: Нmin2= Δh+hs; м.
h s = мм - жобалау аудандағы бақылау арқылы алынған қардың биіктігі.
Δh=0, 7 м - жолдың категориясына байланысты алынатын қардың өсімшесі.
Н min2 =0, 7+0, 0 =0, 773 м.
Қорытынды: қармен басылмау биіктігі үлкен болғандықтан, үйіндінің ең кішкене биіктігі 1, 8 м болу керек.
4. 2 Шаблон әдісін пайдаланып жер төсемесінің бровкасын жобалау
Шаблон әдісімен I-вариантта бойлық қиманы жобалаймыз, сонымен қатар қармен басылмау шартын ескереміз.
5. автомобиль Жолының кӨлденең қимАсын жобалАу
Көлденең қималарды жобалау үшін оларды екі топқа бөлеміз: қазындының көлденең қимасы және үйіндінің көлденең қимасы.
Үйіндінің көлденең қимасын жобалау:
I тип
, бұған ПК12+00, ПК13+00, ПК13+00, ПК17+00 және ПК18+00; ПК19+00
II тип
, бұған ПК1+00, ПК4+00, ПК5+00ПК7+00, ПК9+00, ПК11+00; ПК14+00; ПК15+00; ПК16+00; ПК19+60.
III тип
, бұған ПК0+00; ПК6+00; ПК10+00,
Қазындының көлденең қимасы
тип, бұған ПК2+00; ПК3+00; ПК8+00.
Жол шетінің биіктігін есептеу:
, м; мұндағы,
- жол бровкасының белгісі (бойлық бейнеден аламыз), м.
=35% - жол шетінің еңістігі;
3, 75 - жол шетінің ені, м.
Жол төсемесі осіндегі биіктігін есептеу:
, м; мұндағы,
- жол шетінің биіктігі, м;
=15% - жүру жолағының еңістігі;
3, 75 - жүру жолағының ені, м.
Жолдың көлденең қималары келесі суреттерде көрсетілген.
6. Жер тӨсемесінің конструкциясын жасап, оны есептеу
6. 1 Жол төсемесінің конструкциясын жобалау
Есептік жылдағы автомобиль жолындағы есептік қозғалу жиілігі авт/тәул құрайды. Осыдан келе бетонның иілуге және созылуға беріктігін R=5 МПа. Жол төсемесін жобалаудың ортақ ережелері бойынша оның конструкциясын қабылдаймыз (10-сурет ) .
10-сурет. Жол төсемесінің конструкциясы
1-цементбетонды төсеме
2-битуммен өңделген тегістегіш құм қабаты, 6 см
3-6% цементпен өңделген қиыршықтастан тұратын негіз қабаты
4-орта дәнді құмнан тұратын төсеме қабаты
Транспорт шегіндегі ең жоғары оське түсетін жүктемеге ие МАЗ-500 (100кН) автомобилі. Бұл жүктемені есептік ретінде аламыз, және де бұл жүктемеден төсемеге түсетін қысым 0, 6 МПа тең, доңғалақ ізінің есептік диаметрі D=33 см.
6. 2 Негіздің серпімділік модулін есептеу
V жол-климаттық зонадағы ылғалдану шарты бойынша 1-ші типтегі құм үшін есептік ылғалдылық СНРК 303-19-2003 «Қатаң жол төсемесін жобалау» бойынша анықталады. Ол
тең. Бұл есептік ылғалдылыққа топырақтың келесі сипаттамалары сәйкес келеді: серпімділік модулі Е
0
=53 МПа, ішкі үйкеліс бұрышы ϕ=21°, ілінісу с=0, 024МПа.
Материалдардың серпімділік модульдері: орта дәнді құм үшін Е 1 =120 МПа; 6% цементпен өңделген қиыршықтас үшін Е 2 =600МПа (11сурет) .
11-сурет. Негіз серпімділігінің эквиваленттік есептік модулінің схемасы
Ары қарай есептеу үшін бетон төсеменің үш қалыңдығына h 1 =23 см, h 2 =24 см, h 3 =26 см есептеулер жүргіземіз. Әр қалыңдық үшін серпімділік модулін анықтаймыз.
а) h 1 =23 см үшін есептеуді келесі реттілікпен жүргіземіз:
автомобиль доңғалағы ізінің ауданына тең доңғалақтың есептік диметрін табамыз: D нег =D 0 +h 1 =33+23=56 см.
«топырақ үйіндісі+төсеме қабаты» жүйесінің эквиваленттік серпімділік модулін анықтаймыз:
,
, бұл мәндер арқылы номограммадағы келесі мәнді анықтаймыз
бұдан
.
Негіздің серпімділік модулін анықтау:
,
.
б) h 2 =26см бетон үшін есептеу жүргіземіз:
D нег =D 0 +h 1 =33+24=57 см
,
,
,
Негіздің серпімділік модулі:
см;
,
,
,
.
в) h 3 =26 см бетон үшін серпімділік модулін есептеу.
D нег =D 0 +h 1 =33+26=59 см
,
,
,
Негіздің серпімділік модулі:
см;
,
,
,
.
6. 2. 1 Автомобиль салмағынан пайда болған кернеуді есептеу.
Професор М. Н. Горбуков-Посадов бойынша серпімді негізінде жатқан плита қатаңдығы бойынша үш типке бөлінеді. Оны анықтау үшін келесі көрсеткішті есептеу керек:
мұндағы: Е нег - негіздің эквиваленттік серпімділік модулі, мПа;
μ нег - топырақ+төсеме қабат+негіз жүйесінің Пуассон коэффициенті, (μ нег =0, 21) ;
в - плита енінің жартысы, (в=3. 75м) ;
Е б - цементбетонның серпімділік модулі. Қабылданған бетон маркасы үшін егер R PU =5 мПа, Е б =35000 мПа.
μ б - цемент бетонның Пуассон коэффициенті, (μ б =0, 15) ;
1. h 1 =23 см
2. h 1 =24 см
3. h 1 =26 см
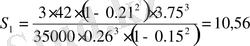
Егер S<0, 5 болса плитаны абсолютті қатаң деп санайды; егер 0, 5≤ S ≤10 болса, плита белгілі бір қатаңдыққа ие; егер S>10 болса жоспарда шексіздікке ие, яғни жүктеме периметрінде, шеттерін бекіту иілу моментіне әсер етпейді. Қабылданған қалыңдықтағы плита қатаңдыққа есептеу, оны жоспарда шексіздікке тең екенін көрсетті.
Радиусы R - ге тең шеңбер бойынша таралған жүктемеден туатын иілу моменті қатаңдық параметрімен (а) сиптталатын плита қатаңдығына байланысты.
Иілу моментін анықтау:
мұндағы: Р - қатар доңғалақтың төсемеге түсірілетін есептік жүктемесі (Р=50 кН) ;
R=Д/2 - доңғалақ ізінің ауданына тең шеңбердің радиусы, см ;
С - а⋅R мәніне байланысты коэффиценті ;
Автомобиль жүктемесінен плитада туатын кернеуді есептеу:
Есептелген мәндерді 8-кестеге енгіземіз.
6. 2. 2 Температура әсерінен бетон төсемеде пайда болатын кернеуді есептеу.
Төсеме бетіндегі температурамен негіздегі температура арасындағы максималды айырмашылығын табу:
мұндағы: А Н - төсеме бетіндегі иаксималды температурамен ауаның орташа тәуліктік температурасынан ауытқу амплитудасы. (табл. 2. 20)
ϕ(h) -
Функциясының мәні, кесте-2. 21 бойынша қабылданады.
Есептеуден шыққан мәндерді кесте 2. 2 енгіземіз. Температуралық кернеуді Уэстергард бойынша есептеу:
мұндағы α - цементбетонның сызықтық кеңеюінің коэффиценті (α=7. 25⋅10 -6 град -1 , 0 0 < t <40 0 болғанда) ;
С х , С у - плитаның жоспарындағы өлшемдері мен қатаңдығына байланысты параметрлер.
С х және С у мәндері сурет 2. 22-де L/l және в/l қатынастарына сәйкес алынады. Lжәне в плитаның пландағы өлшемдері. l - жабынының қатаңдығының сипттамасы:
=72, 877
=76, 56
=82, 94
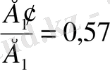
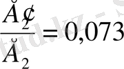
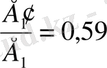
Бетон плитадағы кернеу σ рt доңғалақтан түскен кернеу σ р мен температуралық кернеудің σ t қосынды әсеріне тең: σ рt =σ р +σ t 7 Сонымен қатар температуралық кернеудің жалпы кернеудегі мөлшерін σ t /σ рt анықтап 9-кестеге енгіземіз.
9-кесте
10-кесте

6. 2. 3 Бетон төсемесінің қалыңдығын есептеу.
Цементбетонның майысқанда созылуға қарсы есептік кедергісін анықтау:
R u =k в ⋅k о ⋅k у ⋅R pu ;
мұндағы: k в - уақыт өткен сайын бетон беріктігінің өсететінін көрсететін коэффицент (k в =1. 25) ;
k о - бетонның иілгенде созылуға қарсы беріктігінің біртексіздігін ескеретін коэффицент (k о =0, 8) ;
k у - бетонның шаршауын ескеретін коэффицент, ол қозғалыстың қосынды өлшеміне байланысты.
R pu - бетонның иілгенде созылуға қарсы нормативті беріктігі, МПа;
... жалғасы- Іс жүргізу
- Автоматтандыру, Техника
- Алғашқы әскери дайындық
- Астрономия
- Ауыл шаруашылығы
- Банк ісі
- Бизнесті бағалау
- Биология
- Бухгалтерлік іс
- Валеология
- Ветеринария
- География
- Геология, Геофизика, Геодезия
- Дін
- Ет, сүт, шарап өнімдері
- Жалпы тарих
- Жер кадастрі, Жылжымайтын мүлік
- Журналистика
- Информатика
- Кеден ісі
- Маркетинг
- Математика, Геометрия
- Медицина
- Мемлекеттік басқару
- Менеджмент
- Мұнай, Газ
- Мұрағат ісі
- Мәдениеттану
- ОБЖ (Основы безопасности жизнедеятельности)
- Педагогика
- Полиграфия
- Психология
- Салық
- Саясаттану
- Сақтандыру
- Сертификаттау, стандарттау
- Социология, Демография
- Спорт
- Статистика
- Тілтану, Филология
- Тарихи тұлғалар
- Тау-кен ісі
- Транспорт
- Туризм
- Физика
- Философия
- Халықаралық қатынастар
- Химия
- Экология, Қоршаған ортаны қорғау
- Экономика
- Экономикалық география
- Электротехника
- Қазақстан тарихы
- Қаржы
- Құрылыс
- Құқық, Криминалистика
- Әдебиет
- Өнер, музыка
- Өнеркәсіп, Өндіріс
Қазақ тілінде жазылған рефераттар, курстық жұмыстар, дипломдық жұмыстар бойынша біздің қор #1 болып табылады.

Ақпарат
Қосымша
Email: info@stud.kz